搜索
首页
大数快讯
大数活动
服务超市
文章专题
出海平台
流量密码
出海蓝图
产业赛道
物流仓储
跨境支付
选品策略
实操手册
报告
跨企查
百科
导航
知识体系
工具箱
更多
找货源
跨境招聘
DeepSeek
首页
>
JACS:基于铜催化自由基接力的联烯sp2 C-H键高位点选择性氰化反应
>
0
0
JACS:基于铜催化自由基接力的联烯sp2 C-H键高位点选择性氰化反应
X-MOL资讯
2023-12-13
1
导读:中国科学院上海有机化学研究所刘国生课题组与中国科学院上海有机化学研究所麻生明院士、香港科技大学林振阳教授团队合作,首次实现了联烯sp2 C-H键的高位点选择性氰基化反应。
联烯是天然产物和药物活性分子中常见的片段,如治疗十二指肠溃疡的恩前列腺素(Enprostil)是其结构类似物活性的600倍以上(图1A)。联烯也是有机合成中的重要合成单元,可以高效构建各种复杂结构。文献报道的联烯官能化反应往往通过对联烯双键的加成/消除或Heck型烯烃化反应进行,而联烯s
p
2
C-H键的直接官能化反应的例子非常少。2021年Carreira课题组利用吡啶酰胺作为导向基,实现了钯催化联烯s
p
2
C-H键的烯基化反应。近年来,基于自由基历程的氢原子转移(hydrogen atom transfer, HAT)的C-H键转化反应作为后期修饰的强有力
工具
之一,备受关注。在目前的研究中,这类反应主要集中于s
p
3
C-H键上,而s
p
2
C-H键则没有报道(图1B)。由于联烯双键的高活性,通常进行的是自由基加成反应,很难攫取s
p
2
碳氢键。更重要的是,联烯存在多个s
p
2
碳氢键以及高活性的联烯丙位的s
p
3
碳氢键,产生的联烯基自由基可以发生共振异构为炔丙基自由基,其成键选择性控制也非常困难。因此,联烯s
p
2
碳氢键的高选择性氰化反应极具挑战(图1C)。
图1. 天然产物、药物分子以及有机合中的联烯及其s
p
2
选择性官能化。图片来源:
J. Am. Chem. Soc.
中国科学院
上海
有机化学研究所刘国生
课题组前期对发展了铜催化自由基接力的策略,实现了s
p
3
碳氢键的不对称官能化反应(
Science
2016
,
353
, 1014;
Nature
2019
,
574
, 516),在这些反应中,s
p
2
碳氢键往往不会被攫取,这是由于s
p
2
碳氢键的键能较高。近期,他们与
中国科学院上海有机化学研究所麻生明
院士、
香港
科技大学林振阳
教授团队合作,
首次实现了联烯s
p
2
C-H键的高位点选择性氰基化反应。
该反应体系展现出优异的底物普适性。尽管底物中存在各种活泼的s
p
3
C-H,如苄位、烯丙位、O邻位、N邻位等s
p
3
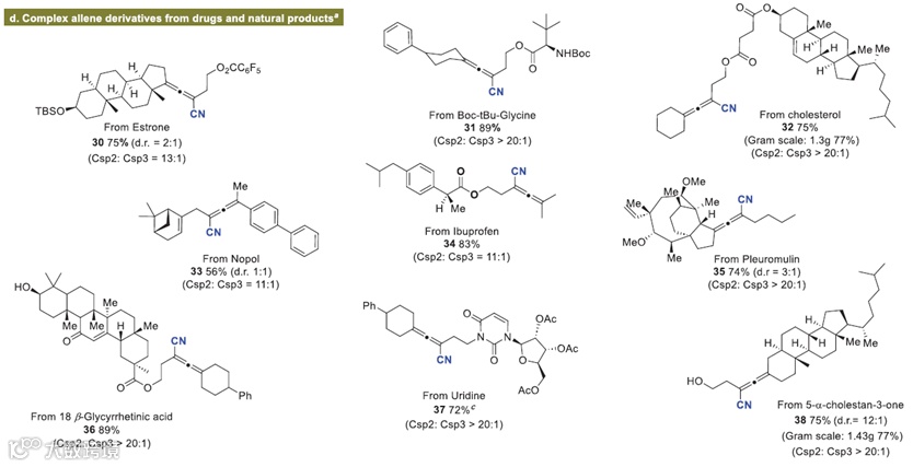
C-H键,反应体系均能获得良好的收率和优异的HAT位点选择性。对于天然产物、药物分子的衍生物,如表雄酮、氨基酸、胆甾烷、诺卜醇、截短侧耳素、甘草次酸、尿嘧啶核苷等存在多个竞争位点的复杂结构,反应都能展现出优秀的后期修饰的能力,这为含有联烯片段的复杂结构的后期修饰提供了很好的方法学支撑。
图2. 对复杂结构衍生物的考察。图片来源:
J. Am. Chem. Soc.
为何能实现在底物丰富的活泼s
p
3
碳氢键中优先攫取联烯s
p
2
碳氢键?研究人员对该反应优异的位点选择性原因展开了研究。通过自由基对照反应显示,游离的大位阻氮自由基攫氢并不存在选择性。进一步通过与香港科技大学的林振阳教授合作,发现这可能是由于铜配位的氮自由基所形成了独特空间,Cu(II)中心中的氟原子与联烯丙位上的氢原子之间形成氢键,显著地扩大了s
p
2
C-H/s
p
3
C-H的HAT能垒的差异,有利于s
p
2
碳氢键发生攫氢反应。
图3. 游离N自由基HAT选择性以及铜配位N自由基对联烯HAT能垒。图片来源:
J. Am. Chem. Soc.
这一成果近期发表在
J. Am. Chm. Soc.
上,文章的第一作者是中国科学院上海有机所博士研究生
成忠明、李灿
以及香港科技大学博士后
杨题隆
。
原文(扫描或长按二维码,识别后直达原文页面):
Site-Selective s
p
2
C–H Cyanation of Allenes via Copper-Catalyzed Radical Relay
Zhongming Cheng, Tilong Yang, Can Li, Yunshun Deng, Fangjia Zhang, Pinhong Chen, Zhenyang Lin*, Shengming Ma*, and Guosheng Liu*
J. Am. Chem. Soc.
,
2023
,
145
, 25995–26002, DOI: 10.1021/jacs.3c11368
导师介绍
刘国生,中国科学院上海有机化学研究所研究员,第二期新基石研究员。主要研究领域为过渡金属催化烯烃和烷烃的氧化官能化反应、过渡金属催化氟化反应及其不对称自由基转化反应。项目第一完成人迄今作为通讯作者共发表SCI论文130余篇, 包括
Science、 Nature , Nat. Chem.、Nat. Catal.、Chem、J. Am. Chem. Soc.、Angew. Chem. Int. Ed.、 Acc. Chem. Res.
和
CCS Chem.
等。
https://www.x-mol.com/university/faculty/15593
科研思路分析
Q:这项研究最初是什么目的?或者说想法是怎么产生的?
A:
我们组发展了烯丙位s
p
3
C-H不对称氰化反应体系 (
Nature
2019
,
574
, 516.),考虑到联烯丙位C-H键和烯丙位可能具有类似性质,有望实现联烯丙位s
p
3
C-H不对称氰化反应。通过与麻生明院士课题组进行合作。反应体系除了获得预期的s
p
3
C-H键氰化产物外,还意外得到了疑似s
p
2
C-H键产物。因为文献中普遍都认为s
p
2
C-H键的BDE超过了氮自由基的攫氢能力。由此,我们对这一意外结果开展了深入研究。
Q:研究过程中遇到哪些挑战?
A:
首先是联烯的累积双键非常活泼,容易发生自由基的加成、聚合反应等副反应路径;联烯存在较活泼的s
p
3
C-H键,会发生竞争HAT;产生联烯基自由基会发生共振,形成炔丙位自由基,成键存在位点选择性;反应的选择性控制是该研究的瓶颈。我们通过改造NF试剂结构,对催化剂中配体和金属、以及溶剂等因素的细致考察,实现了自由基的攫氢选择性和成键的化学选择性,对各种联烯具有广谱的底物普适性,获得优秀的收率。
其次,在反应的机理的认知上,存在两个主要的问题在于:
1)为什么联烯s
p
2
C-H能发生HAT,而苯环的s
p
2
C-H很难发生HAT? 这是因为苯环s
p
2
C-H与π电子云平面完全正交,致使形成自由基时无法提供来自共轭体系的共振稳定化作用;联烯的s
p
2
C-H与π电子云平面完全平行,形成自由基时具有最大的轨道重叠带来的共振稳定化作用,故而其键能有所降低。
2)为何铜催化N自由基接力体系可以实现高s
p
2
C-H选择性的HAT历程?通过与林振阳老师合作,DFT计算表明攫取s
p
2
C-H时,氮自由基配位的Cu(II)-F物种与联烯丙位s
p
3
C-H间的距离仅为2.16埃,存在明显的氢键作用,正是氢键的构象锁定协同促进了联烯s
p
2
C-H的高的HAT位点选择性。
图5. s
p
2
C-H键HAT示意图
Q:该研究成果可能有哪些重要的应用?
A:
该研究成果有可能在有机合成、药物研发领域获得重要应用。联烯作为四氢呋喃、二氢呋喃、炔丙基、烯丙基等结构的生物电子等排体,相关药物分子中引入联烯基或许有着独特的药效与活性。通过本方法,可以实现了从联烯到联烯的直接转化,为一些含联烯的生物活性分子和天然产物的后期修饰提供新方法,可以获得结构多样性的活性分子。
点击“
阅读原文
”,查看
化学 • 材料
领域
所有收录期刊
【声明】内容源于网络
0
0
X-MOL资讯
“X-MOL资讯”隶属于X-MOL学术平台(官网x-mol.com),关注化学、材料、生命科学、医学等领域的学术进展与科研前沿,提供专业与深度的内容。公众号菜单还提供“期刊浏览”等强大功能,覆盖各领域上万种期刊的新近论文,支持个性化浏览。
内容
19833
粉丝
0
关注
在线咨询
X-MOL资讯
“X-MOL资讯”隶属于X-MOL学术平台(官网x-mol.com),关注化学、材料、生命科学、医学等领域的学术进展与科研前沿,提供专业与深度的内容。公众号菜单还提供“期刊浏览”等强大功能,覆盖各领域上万种期刊的新近论文,支持个性化浏览。
总阅读
1.6k
粉丝
0
内容
19.8k
在线咨询
关注