搜索
首页
大数快讯
大数活动
服务超市
文章专题
出海平台
流量密码
出海蓝图
产业赛道
物流仓储
跨境支付
选品策略
实操手册
报告
跨企查
百科
导航
知识体系
工具箱
更多
找货源
跨境招聘
DeepSeek
首页
>
【无机】首例Al-Sm金属键的合成及反应性研究
>
0
0
【无机】首例Al-Sm金属键的合成及反应性研究
X-MOL资讯
2024-03-15
1
导读:本文作者延续此前Al-Sc金属键的工作,成功将铝负离子应用于镧系金属-铝金属键的构筑,合成了首例含Al-Sm金属键的三金属化合物
金属-金属键的研究对于新结构和新反应的揭示具有重要的意义。对比元素周期表其他各区形成金属-金属键的趋势,f区金属参与形成金属-金属键的能力大打折扣,这是因为f轨道易被充满电子的(n+1)s和(n+1)p轨道所屏蔽,造成其成键趋势下降;同时在实验方面,缺乏有效的试剂及合成手段也是造成f区金属-金属键化合物稀少的重要原因之一。
低价的13族化合物可以被用来构筑金属-金属键,例如硼负离子、镓负离子、Cp*Ga、Cp*Al。而对于含有X-型铝配体的镧系化合物,至今尚未见到有关它们的报道(图1)。
图1. 含X-型13族元素配体的镧系和锕系金属化合物
本文作者延续此前Al-Sc金属键的工作,成功
将铝负离子应用于镧系金属-铝金属键的构筑,合成了首例含Al-Sm金属键的三金属化合物
,并通过研究发现Al与Sm均呈现出低价的反应特性,Sm的引入对于双金属协同反应性的产生具有重要意义。
图2. 含Al-Sm金属键化合物的合成及其晶体结构
通过盐消除反应即可实现化合物
2
的合成。单晶X-射线衍射分析表明在该结构中钐金属中心含有两个X-型铝配体(图2),Al-Sm-Al大致呈线性排列(键角为170.03(3)°)。铝-钐键键长分别为3.518(1) Å和3.543(1) Å,暗示这是极化的铝-钐键,铝金属中心仍然保持一价铝的特性。
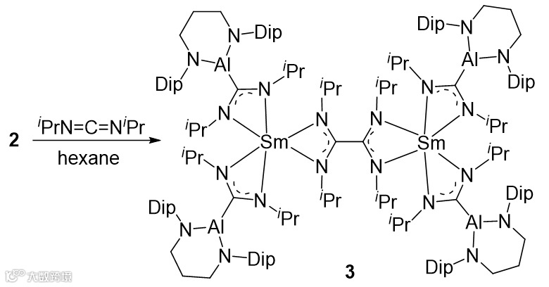
图3. 化合物
2
与碳二亚胺的反应
与碳二亚胺反应是含Al-M金属键化合物的一个常规反应,此反应可用于确定亲核性金属中心和亲电性金属中心。化合物
2
与N,N'-二异丙基碳二亚胺反应时,经过结晶,作者成功分离得到了化合物
3
(图3)。单晶结构分析表明,N,N'-二异丙基碳二亚胺插入到了两个Al-Sm键当中,在此过程Al充当亲核性金属中心;同时,还有两分子N,N'-二异丙基碳二亚胺被偶联成草脒基(oxalamidinate)片段,这是由于Sm(II)充当单电子还原剂的原因。该反应性证实了二价钐扮演亲电中心和单电子还原剂的双重角色,与此前报道的金属与铝键合时仅发挥亲核或亲电单一角色形成了鲜明对比。
图4. 化合物
1
、
2
分别与乙烯的反应
进一步地,作者发现化合物
2
可以快速与乙烯反应,形成铝杂环丙烷
4
(图4)。化合物
4
可以快速从正己烷溶液中原位结晶析出。
4
并不十分稳定,它可以在溶液中迅速转化为二铝杂环己烷化合物
5
,该过程得到了VT-NMR的确认。虽然为顺磁性物种,化合物
5
的核磁数据可以得到完整归属。为了对比,作者尝试了钾离子稳定的铝杂环丙烷的类似转化,最终发现化合物
6
在室温下24小时未发生任何转变,而在加热条件下,得到了核磁无法准确归属的混合物(图4)。
图5. 基于理论计算推测的钐-铝杂环丙烷二聚的机理
最终结合理论计算,作者们推测Sm(II)的存在对于铝杂环丙烷的二聚转化具有重要的影响。首先,其中一个铝杂环丙烷开环,形成Sm-C键(
int8
);随后,Sm-C键进攻另外一个铝杂环丙烷,促使其开环,形成新的Sm-C键及乙基桥连的二铝结构(
int9
);最终,Sm-C进攻三配位的铝中心,形成二铝杂环己烷结构。该过程说明,Sm-Al双金属可以协同活化乙烯。
上述研究成果近日发表于
J. Am. Chem. Soc.
,主要完成者为名古屋大学的
冯根锋
博士和
香港
科技大学的博士生
Ka Lok Chan
(反应机理计算),通讯作者为名古屋大学
山下誠
(Makoto Yamashita)教授和香港科技大学
林振阳
教授。
原文(扫描或长按二维码,识别后直达原文页面):
Alumanyl-Samarium(II): Synthesis, Characterization, and Reactivity Studies
Genfeng Feng, Ka Lok Chan, Zhenyang Lin*, and Makoto Yamashita*
J. Am. Chem. Soc
.,
2024
, DOI: 10.1021/jacs.4c01193
点击“
阅读原文
”,查看
化学 • 材料
领域
所有收录期刊
【声明】内容源于网络
0
0
X-MOL资讯
“X-MOL资讯”隶属于X-MOL学术平台(官网x-mol.com),关注化学、材料、生命科学、医学等领域的学术进展与科研前沿,提供专业与深度的内容。公众号菜单还提供“期刊浏览”等强大功能,覆盖各领域上万种期刊的新近论文,支持个性化浏览。
内容
19833
粉丝
0
关注
在线咨询
X-MOL资讯
“X-MOL资讯”隶属于X-MOL学术平台(官网x-mol.com),关注化学、材料、生命科学、医学等领域的学术进展与科研前沿,提供专业与深度的内容。公众号菜单还提供“期刊浏览”等强大功能,覆盖各领域上万种期刊的新近论文,支持个性化浏览。
总阅读
1.6k
粉丝
0
内容
19.8k
在线咨询
关注