搜索
首页
大数快讯
大数活动
服务超市
文章专题
出海平台
流量密码
出海蓝图
产业赛道
物流仓储
跨境支付
选品策略
实操手册
报告
跨企查
百科
导航
知识体系
工具箱
更多
找货源
跨境招聘
DeepSeek
首页
>
上海科技大学高得伟课题组Angew:基于偕二硼酸酯催化反应模式创新,构建非环状、1,3-立体中心的手性1,2-双硼酸酯
>
0
0
上海科技大学高得伟课题组Angew:基于偕二硼酸酯催化反应模式创新,构建非环状、1,3-立体中心的手性1,2-双硼酸酯
X-MOL资讯
2023-12-19
2
导读:上海科技大学高得伟课题组利用偕二硼酸酯与乙烯基格氏试剂现场形成四配位复合物,随后发生1,2-官能团迁移的策略,实现了非环状、1,3-立体中心的手性双硼酸酯的不对称合成。
1,3-非连续手性中心是药物与天然产物等活性分子中常见的手性单元,但是围绕该类立体中心的直接构建则一直进展缓慢(图1a)。近年来,不对称催化特别是利用协同催化策略在构建1,2-连续手性中心方面取得了长足的进展。该类反应中往往利用有机小分子催化剂或Lewis酸催化剂控制亲核试剂的进攻方向,同时利用过渡金属和手性配体调控亲电试剂的立体选择性,可以高效构建四个立体异构体。但是如果亲核试剂没有与有机小分子催化剂或者Lewis酸作用的位点时,如何通过单一催化剂调控立体选择性特别是非对映选择性往往十分困难。而通过不对称催化策略构建1,3-非连续手性中心则更为挑战,由于亲核试剂远离金属和配体诱导的手性环境,要实现优秀的对映和非对映选择性调控是不对称催化领域亟需解决的问题。
偕二硼酸酯是合成化学中重要的转化砌块,可以通过交叉偶联、氧化、自由基反应等转化为重要的目标官能团,其在不对称催化领域中也得到了广泛应用。迄今为止,偕二硼酸酯在不对称催化反应中有两种经典的反应模式,主要通过两个关键的中间体发生反应:即α-硼烷基和偕二硼烷基阴离子(图1b)。例如,偕二硼酸酯与过渡金属发生转金属化产生α-硼烷基阴离子中间体,随后可被亲电试剂捕获,生成手性有机硼化物。此外,在碱的协助下生成偕二硼烷基阴离子,与亲电试剂进行立体选择性转化,从而构建一系列手性有机硼酸酯。鉴于该类化合物的重要作用,发展偕二硼酸酯新的不对称催化反应模式,将极大地拓展该类化合物在手性化学中的应用。
图1. 1,3-非连续手性中心的重要性及课题设想
上海
科技大学高得伟
课题组聚焦四配位硼化学中迁移反应的立体选择性控制以及多硼化合物精准转化等科学问题(
Angew. Chem. Int. Ed.
2023
,
62
, e202312605;
Angew. Chem. Int. Ed
.
2023
,
62
, e202307447; 综述,请见:
Eur. J. Org. Chem
.
2022
, e202101463.)。最近,他们
利用偕二硼酸酯与乙烯基格氏试剂现场形成四配位复合物,随后发生1,2-官能团迁移的策略,实现了非环状、1,3-立体中心的手性双硼酸酯的不对称合成
。值得注意的是,该反应能选择性地发生迁移偶联,而并不发生脱硼烯丙基化或直接烯丙基化等副反应(图1c)。
在确定反应的最优条件后,作者系统地研究了烯丙基碳酸酯和乙烯基溴化镁的底物普适性(图2),在芳环的邻位、间位或对位带有取代基的烯丙基碳酸酯均能高效地参与迁移偶联(
5b–h
)。无论是卤素基团、拉电子取代基、电中性取代基还是杂环基团,都表现出很好的兼容性(
5i–z
)。α位点被其他烷基取代的乙烯基格氏试剂也能顺利地参与反应,以良好的产率和优异的立体选择性得到具有非连续手性中心对映体纯的产物(
5za–zd
)。
图2. 烯丙基碳酸酯和乙烯基格氏试剂普适性的考察
作者进一步将该迁移偶联反应应用到双烯碳酸酯中,可以观察到高区域选择性和高立体选择性的产物(图3)。在标准反应条件下,偕二硼酸酯与苯基取代的双烯碳酸酯在C–O键的位置发生烯丙基烷基化反应,以82%的分离收率和10:1的非对映选择性得到光学纯的目标产物(
10a
)。随后,作者探索了一系列芳环上含有给电子取代的二烯碳酸酯,以不错的收率和非对映选择性得到高对映体纯度的产物(
10b–e
)。同时,芳环上含有卤素和强拉电子取代基均能兼容(
10f–k
)。其它杂芳基取代的双烯碳酸酯以及不同的乙烯基格氏试剂在标准反应条件下均能取得优秀的反应结果(
10l–t
),进一步证明了该反应优良的容忍性。
图3. 双烯取代的烯丙基碳酸酯普适性的考察
取代的偕二硼酸酯较少应用于不对称催化反应中,特别是双取代的偕二硼烷,由于立体位阻的增大,往往很难和金属作用发生转金属化等基元反应,在体系中易发生脱硼等副反应。令人欣慰的是,如图4所示,多种偕二硼类化合物,包括具有单取代的偕二硼烷可成功地参与该反应(
1b−c
),以良好的产率构建了具有三个链状立体中心的光学纯产物(
5zf−zg
)。与此同时,多种环状偕二硼烷(
1d−h
)在标准反应条件下,也可以顺利地得到含有三到七元环的目标产物。值得注意的是,该方法可以一步构建具有两个四取代和一个三取代中心的手性分子(
4zh−zl、4zn−zo
和
9u−v
)。但是该方法也有一些局限性,比如位阻更大的链状双取代偕二硼(
1i
)、1,n-双硼(
1j−k
)以及硅硼(
1l
)均不能适用,作者希望以后发展更加高效的催化体系解决现有工作的不足。
图4. 单取代和双取代的偕二硼酸酯底物普适性的考察
为了深入了解对映选择性和非对映选择性的来源,作者使用理论计算的方式对该反应的机理进行了研究(图5)。DFT计算结果表明,
Ir
III
(π-烯丙基)中间体和硼酸酯复合物之间经过
TS1
过渡态生成主要的对映体(
S,R
)-
4a
。在生成非对映异构体的八种可能过渡态中,
TS2
是最有利的产生非对映异构体的过渡态。它的
能量
比
TS1
高1.7 kcal/mol。在最有利的顺式加成过渡态
TS1
中,C
H
2
Bpin基团可以避免与Carreira配体产生不利的空间位阻作用,而在
TS2
中,由于与配体萘环之间的空间排斥而变得不稳定,因此该反应可以取得不错的非对映选择性控制。在生成对映异构体(
R,S
)-
4a
的
TS4
中,迁移基团与配体之间的位阻以及烯丙基与Bpin上的甲基之间的位阻导致该过程难以发生,因而该反应可以取得优异的对映选择性控制。
图5. DFT计算揭示对映和非对映选择性的起源问题
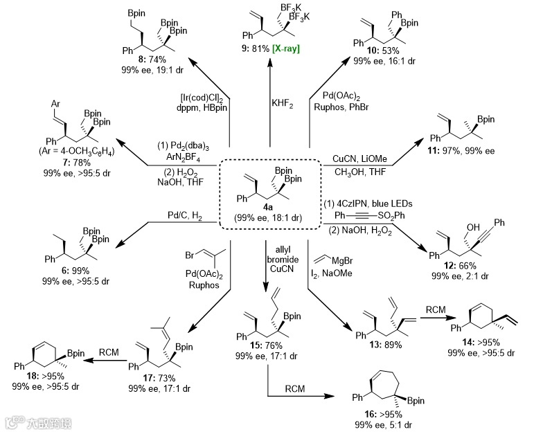
图6. 产物的多样性转化
由于产物中含有一个烯烃和两个硼酸酯单元,为分子的进一步转化提供了多个潜在的反应位点。作者通过研究发现,该目标产物可顺利地进行烯烃及2个相邻碳硼键的多种选择性转化,进一步证明了该方法的实用性(图6)。
综上所述,作者发展了一种高效合成具有高化学、区域、对映和非对映选择性的链状、非连续1,3-立体中心的1,2-双硼酸酯。值得一提的是,该工作解决了亲核试剂远离手性环境时,构建非连续手性中心的难题。发展了偕二硼酸酯新的不对称催化反应模式,避免了两种经典阴离子中间体所导致的副产物的生成。同时进一步拓展了单取代和双取代偕二硼烷在不对称反应中的化学转化空间,DFT计算阐明了高对映和非对映选择性的起源问题。此外,基于1,2-双硼酸酯中烯烃和含硼单元的多样性转化,进一步证明了该类骨架在后期官能团化转化方面的优势。
该研究成果近期发表在
Angew. Chem. Int. Ed.
上。
原文(扫描或长按二维码,识别后直达原文页面):
Asymmetric Synthesis of Chiral 1,2-Bis(Boronic) Esters Featuring Acyclic, Non-Adjacent 1,3-Stereocenters
Xia-Min Jiang, Chong-Lei Ji, Jian-Fei Ge, Jia-Hui Zhao, Xin-Yuan Zhu, De-Wei Gao*
Angew. Chem. Int. Ed
.,
2023
, DOI: 10.1002/anie.202318441
导师简介
高得伟,上海科技大学物质学院研究员、博士生导师。2011年本科毕业于东北林业大学,2016年博士毕业于中国科学院上海有机化学研究所(导师:游书力研究员)。2016年至2020年先后在
美国
斯克利普斯研究所(合作导师:Keary M. Engle教授)和加州大学洛杉矶分校(合作导师:Yi Tang教授)从事博士后研究。自2020年9月加入上海科技大学开展独立研究工作以来,聚焦四配位硼化学中迁移反应的立体选择性控制以及多硼化合物精准转化等科学问题,取得了系列创新成果,以通讯作者发表论文4篇,包括3篇
Angew. Chem. Int. Ed.
,研究工作受到
Angew. Chem. Int. Ed
. “Introducing...”专栏和
Synfacts
等专题介绍。曾获2024年Thieme Chemistry Journals Award,2021年上海市海外领军人才,2020年青年东方学者,2016年中国科学院-
沙特
基础工业公司奖学金,2014年中科院院长奖学金等荣誉。
欢迎具有有机化学背景的博士后和研究生加入本课题组,待遇详见:
https://www.x-mol.com/groups/dwgao/positions
https://www.x-mol.com/groups/dwgao
点击“
阅读原文
”,查看
化学 • 材料
领域
所有收录期刊
【声明】内容源于网络
0
0
X-MOL资讯
“X-MOL资讯”隶属于X-MOL学术平台(官网x-mol.com),关注化学、材料、生命科学、医学等领域的学术进展与科研前沿,提供专业与深度的内容。公众号菜单还提供“期刊浏览”等强大功能,覆盖各领域上万种期刊的新近论文,支持个性化浏览。
内容
19833
粉丝
0
关注
在线咨询
X-MOL资讯
“X-MOL资讯”隶属于X-MOL学术平台(官网x-mol.com),关注化学、材料、生命科学、医学等领域的学术进展与科研前沿,提供专业与深度的内容。公众号菜单还提供“期刊浏览”等强大功能,覆盖各领域上万种期刊的新近论文,支持个性化浏览。
总阅读
1.6k
粉丝
0
内容
19.8k
在线咨询
关注