搜索
首页
大数快讯
大数活动
服务超市
文章专题
出海平台
流量密码
出海蓝图
产业赛道
物流仓储
跨境支付
选品策略
实操手册
报告
跨企查
百科
导航
知识体系
工具箱
更多
找货源
跨境招聘
DeepSeek
首页
>
【有机】南开大学汪清民课题组Angew:脂肪羧酸的自由基脱羧硫亚胺化反应
>
0
0
【有机】南开大学汪清民课题组Angew:脂肪羧酸的自由基脱羧硫亚胺化反应
X-MOL资讯
2024-01-01
0
导读:南开大学汪清民课题组报道了一种光氧化还原、铜与Brønsted碱协同催化的脂肪羧酸的自由基脱羧硫亚胺化反应。
亚砜的偶氮化合物—硫亚胺因在有机合成、手性配体和药物以及农药等领域中的广泛应用而被关注。2009年,Hudson课题组在天然生物分子Ⅳ型胶原蛋白中首次发现S=N键的存在。与亚砜相比,硫亚胺额外提供了一个可修饰的位点。氮原子能络合金属离子和矿物酸形成的盐,使其具有更好的水溶性。通过修饰氮原子的取代基可以调节化合物的酸碱性。根据取代基的类型,硫亚胺既可作氢键的质子供体,又可以做氢键的质子受体。此外,硫亚胺也是合成亚砜酰亚胺和二硫亚胺的关键中间体(图1A)。
在过去的几十年里,关于硫亚胺合成研究主要集中在硫醚的亚胺化反应。
南京
大学赵劲课题组和牛津大学Willis课题组分别利用重排反应和亚磺酰胺试剂(t-Oct-NSO)合成特定类型硫亚胺。最近,南方科技大学贾铁争课题组和耶鲁大学Ellman课题组相继报道了次磺酰亚胺的Chan-Lam偶联和Ullmann偶联类型反应合成
S
-芳基类硫亚胺(图1B)。然而,基于自由基转化合成硫亚胺的方法尚未被报道。
南开大学汪清民
课题组致力于可见光催化有机新方法的研究(
Sci. Adv
.
2019
,
5
, eaax9955;
Nat. Commun
.
2023
,
14
, 2951)。基于课题组前期光氧化还原与铜协同催化合成磺酰胺的工作积累(
ACS Catal.
2023
,
13
, 11580),近日,该课题组报道了一种
光氧化还原、铜与Brønsted碱协同催化的脂肪羧酸的自由基脱羧硫亚胺化反应。
图1. 硫亚胺相关的活性分子和研究背景。
作者在对光催化剂、铜盐和溶剂进行充分筛选后发现,碱的类型和碱的用量对于产物的转化是至关重要的。经过一系列的条件优化后确定了最优的反应条件为
1x
(1.0 equiv),
2a
(1.5 equiv),Ir(dtbbpy)(ppy
)
2
PF
6
(1 mol %),CuCl (10 mol %),DIPEA (10 mol %),以DCE为溶剂(0.1 M),在室温、氩气和蓝光照射下,反应20小时,目标产物的分离收率为82%。
图2. 反应的条件筛选。
在确定最优的反应条件后,作者对羧酸的底物进行拓展。底物范围包含一、二、三级羧酸。反应可以很好的兼容卤素、烯基、炔基、羰基、
N
-Boc胺基等官能团。特别是对一些螺环和桥环羧酸依然适用。此外,该方法适用于天然产物和药物以及农药分子的后期官能团化修饰(如图3)。
图3. 羧酸的底物拓展
次磺酰亚胺底物范围包含
S
-芳基/
S
-烷基次磺酰亚胺。反应可以很好的兼容卤素、噻吩环、萘环、
N
-Boc胺基等官能团(如图4)。
图4. 次磺酰亚胺的底物拓展
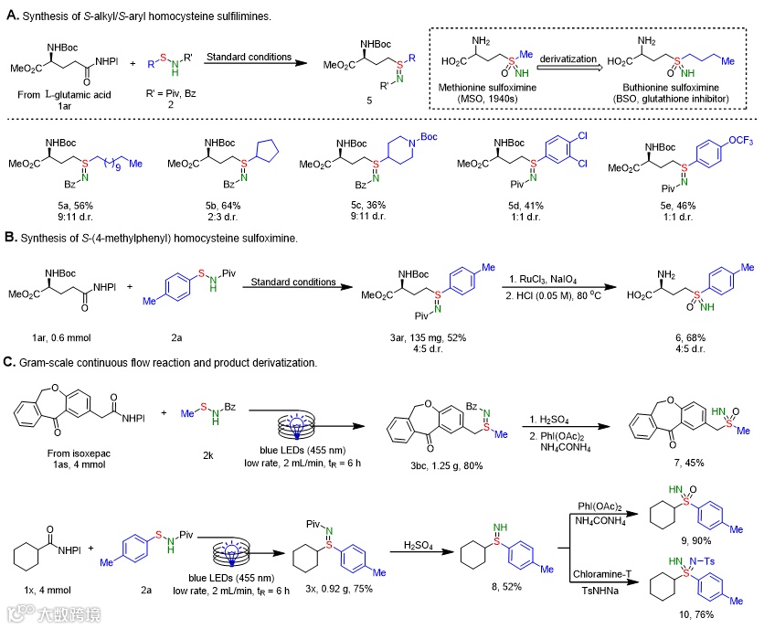
作者使用L-谷氨酸的活化酯为底物,合成一系列硫亚胺类的非天然胺基酸。作者对其中
3ar
进一步氧化,脱保护合成
S
-4-甲基苯基半胱氨酸亚砜酰亚胺(如图5a和5b)。作者通过流体反应装置以克级规格合成硫亚胺
3x
和
3bc
。随后,作者对产物进一步衍生,合成NH硫亚胺、NH亚砜酰亚胺和二硫亚胺(如图5c)。
图5. 反应的应用
作者通过自由基开/关环实验和自由基捕获实验推断反应为自由基过程(如图6a和6b)。荧光淬灭实验显示,CuCl和DIPEA的混合物对光催化的荧光淬灭最为明显。作者设计控制实验,将环己酸活化酯用氯代环己烷代替,排除反应经过氯代中间体的可能(如图6c)。作者在标准条件和2 equiv DIPEA条件下,额外加入0.5 equiv 邻苯二甲酰亚胺后发现:2 equiv DIPEA条件时,反应被完全抑制(如图6d)。这个结果显示,催化量DIPEA之所以关键的原因是:过量的碱会使得从活化酯底物生成的邻苯二甲酰亚胺脱质子,随后,该物质对铜催化剂有毒害作用。在以上机理研究后,作者提出激发态的光催化剂氧化CuCl和DIPEA的混合物,随后与次磺酰亚胺
2
转金属化,生成中间体
C
。低价态的光催化剂还原活化酯
3
,生成烷基自由基和去质子的邻苯二甲酰亚胺。自由基被中间体
C
捕获,生成铜(Ⅲ)中间体
D
。随后,快速还原消除得到硫亚胺产物。另外,去质子的邻苯二甲酰亚胺充当碱中合质子(如图6e)。
图6. 机理研究
总结
综上所述,南开大学汪清民课题组报道了一种自由基脱羧硫亚胺化反应,通过光氧化还原、铜与Brønsted碱协同催化实现了脂肪羧酸到硫亚胺的转化。该方法具有操作简单、反应条件温和、官能团兼容性广等优势,一、二、三级羧酸和
S
-芳基/
S
-烷基次磺酰胺都适用于该反应体系。将该方法应用于复杂分子后期官能团化修饰,可以避免合成的多步反应序列和有机硫化合物不稳定等问题。此外,该反应也为光氧化还原与金属协同催化反应提供了一种新颖的Brønsted碱催化策略。
本篇工作通讯作者为
汪清民
教授。南开大学博士研究生
张铭君
为该论文的第一作者。特别感谢
王兹稳
教授和
刘玉秀
副教授在实验中的指导和帮助。硕士研究生
刘丽霞、谭禹豪
和
荆越
对合成和核磁数据整理做出了贡献。上述研究工作得到了国家自然科学基金(22271166, 22077071)和南开大学有机新物质创造前沿科学中心(63181206)的资助。
原文(扫描或长按二维码,识别后直达原文页面):
Decarboxylative Ra
dical Sulfilimination via Photoredox, Copper, and Brønsted Base Catalysis
Mingjun Zhang, Lixia Liu, Yuhao Tan, Yue Jing, Yuxiu Liu, Ziwen Wang, and Qingmin Wang
Angew. Chem. Int. Ed.
,
2023
, DOI: 10.1002/anie.202318344
导师介绍
汪清民
https://www.x-mol.com/university/faculty/11909
点击“
阅读原文
”,查看
化学 • 材料
领域
所有收录期刊
【声明】内容源于网络
0
0
X-MOL资讯
“X-MOL资讯”隶属于X-MOL学术平台(官网x-mol.com),关注化学、材料、生命科学、医学等领域的学术进展与科研前沿,提供专业与深度的内容。公众号菜单还提供“期刊浏览”等强大功能,覆盖各领域上万种期刊的新近论文,支持个性化浏览。
内容
19833
粉丝
0
关注
在线咨询
X-MOL资讯
“X-MOL资讯”隶属于X-MOL学术平台(官网x-mol.com),关注化学、材料、生命科学、医学等领域的学术进展与科研前沿,提供专业与深度的内容。公众号菜单还提供“期刊浏览”等强大功能,覆盖各领域上万种期刊的新近论文,支持个性化浏览。
总阅读
1.6k
粉丝
0
内容
19.8k
在线咨询
关注