大数跨境
0
0

两篇Science,一个主题——用“折纸”构建晶体

两篇Science,一个主题——用“折纸”构建晶体 X-MOL资讯
2024-05-22
1
导读:同一期的Science 杂志上发表了两篇关于DNA折纸的研究工作,分别利用DNA分子自组装,实现了可编程的多尺度胶体晶体制备。


20世纪80年代,Nadrian C. Seeman首次提出将DNA片段转变为二维纳米级聚合物 [1]这些片段进一步组装成周期性的超结构,开创了DNA纳米技术领域的先河。21世纪初,Paul Rothemund提出了“DNA折纸(DNA origami)”的概念 [2]作为一种自下而上的制备技术,利用碱基对互补的性质,将DNA分子按照特定设计进行排列,构建出多种多样的2D和3D结构。该技术克服了传统胶体粒子尺寸不均匀、多分散性、形状和粒子间相互作用难以控制等限制,可用于药物传递、生物传感、分子机器、纳米机器人等领域。

DNA折纸技术。图片来源:Nat Rev Methods Primers [3]

近日,同一期的Science 杂志上发表了两篇关于DNA折纸的研究工作,分别利用DNA分子自组装,实现了可编程的多尺度胶体晶体制备。其中,德国慕尼黑大学Tim LiedlGregor Posnjak等研究者挑战了非紧密堆积的金刚石立方结构,该晶格的对称性要求每个节点都是正四面体,这在实验中很难实现。而美国亚利桑那州立大学Petr Šulc课题组则开发了一种逆向设计策略(“SAT”组装),将DNA简化成球状颗粒,并利用粒子间的相互作用,构建具有各向同性带隙的晶格结构,避免了组装过程中可能出现的动力学陷阱和晶格缺陷。这两个工作为DNA折纸技术在光学、传感中创造新晶体材料开辟了巨大的工程机会。

基于DNA折纸的胶体晶体。图片来源:Science [4]

金刚石立方晶体

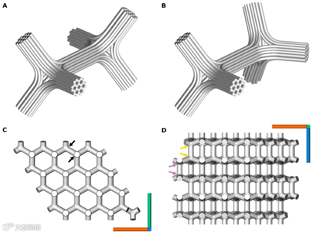
慕尼黑大学的研究者设计了正四面体的DNA折纸结构,节点引出四个等长的“臂”,夹角为109.5°。每个臂长度为35 nm,由24束DNA螺旋组成,直径~15 nm。两个节点相连时,存在两种稳定的构象:错位构象(下图左)和对位构象(下图右),类似有机化学中学的构象异构。而金刚石立方晶格仅由错位构象构成,两种构象同时存在难以分离,会使得最终的结晶变为混合晶格,产生许多缺陷。

两种构象模型。图片来源:Science

为打破这种简并性,研究者以三重对称的模式在每个表面上排列了六个结合序列。这样当两个相邻的节点旋转60°时(错位构象),它们之间的结合最强。单体经过80小时的处理,从52 °C缓慢冷却至20 °C,形成了金刚石立方晶体。随后,晶体经过硅化处理,在表面涂覆了一层薄薄的二氧化硅,以增加其机械稳定性。硅化处理后,节点中心距离仍保持为75 nm,对应于170 nm的晶格周期。最后,在经历多次退火后,金刚石立方单晶呈现出规则的八面体晶形,其二面角为109.5°,大多数晶体的尺寸在5~10 μm之间,少数晶体可大到25 μm。

金刚石立方晶体的设计与生长。图片来源:Science

金刚石晶体表面{111}平面呈现阶梯状,在不同观察角度下具有不同的外观。在少数情况下,还可以观察到孪晶,这是由于刚才提到的对位构象,即节点没有旋转60°而产生的六方金刚石层。不过,这种结构相对不稳定,仅出现在少数晶体中。

硅化处理后,金刚石晶体的微观结构。图片来源:Science

为了在金刚石结构中打开完整的光子带隙(PBG),空气间隙与介电材料之间的折射率之比需要大于2。然而,二氧化硅的折射率约为1.5,不符合这一要求。为了解决这一问题,研究者利用原子层沉积法(ALD),在晶格表面生长了高折射率的二氧化钛(TiO2)材料。ALD技术能够逐层生长材料,TiO2折射率随厚度变化,可调节晶体的光学性质。在较薄的TiO2包覆下,晶体展现出较宽的PBG,随着TiO2厚度的增加,带隙变窄并向长波长方向移动,反射波段红移。这种可调谐现象仅在晶体中观察到,而对于非晶体对照组,改变TiO2厚度并不能调节反射波长,因此难以实现PBG的调控。

DNA折纸光子晶体的光学特性。图片来源:Science

“SAT”组装

亚利桑那州立大学的研究者则侧重于计算模拟,他们开发了“SAT”组装,即基于约束优化的多面体粒子交互设计算法与粗粒化模拟。SAT组装程序的目标是分配一个相互作用矩阵,使目标晶格不出现动力学陷阱或有序结构竞争关系,从而避免了晶格缺陷。粗粒化模拟,将DNA纳米结构简化为球体,每种球体分配一种颜色,由SAT算法计算其自组装方式。如果两种颜色兼容,代表两个球体之间存在短程吸引势,发生相互作用。通过使用24种颜色(即12对互补颜色),就可以模拟出烧绿石晶格结构所需的DNA折纸模型。

使用“SAT”组装的设计计算流程。图片来源:Science

烧绿石晶格结构因其具有全向光子带隙,在光学超材料领域备受期待。然而,由于存在多种竞争结构,其四重堆叠晶格至今尚未成功通过自组装实现。为了克服这一挑战,研究者进行了逆向设计,分别设计了二十面体和八面体形状,并成功地利用DNA折纸纳米结构自组装成烧绿石晶格结构。随后,对DNA表面进行了类似的硅化处理,以提升其机械性能。扫描电子显微镜和小角X射线散射(SAXS)证实了DNA折纸成功地实现了自组装,并制备出预期的晶格结构。

DNA纳米结构设计及晶格自组装。图片来源:Science

“光子晶体具有广泛的应用范围,然而,它们的制造非常麻烦”,慕尼黑大学的Gregor Posnjak博士说,“我们的挑战在于,通过DNA折纸,用更大的模块替换单个碳原子,将金刚石晶体结构扩大了500倍,与紫外可见光的波长相对应”[5]。“我们的工作与Tim Liedl组的优秀工作同期发表,分别利用DNA折纸实现金刚石和烧绿石晶格结构。我们的设计流程为利用生物纳米技术实现复杂3D几何结构的制备,打开了新的可能性”,亚利桑那州立大学Petr Šulc教授说。[6]

原文(扫描或长按二维码,识别后直达原文页面):
Diamond-lattice photonic crystals assembled from DNA origami
Gregor Posnjak, Xin Yin, Paul Butler, Oliver Bienek, Mihir Dass, Seungwoo, Ian D. Sharp, Tim Liedl
Science 2024, 384, 781-785. DOI: 10.1126/science.adl2733

原文(扫描或长按二维码,识别后直达原文页面):
Inverse design of a pyrochlore lattice of DNA origami through model-driven experiments
Hao Liu, Michael Matthies, John Russo, Lorenzo Rovigatti, Raghu Pradeep Narayanan, Thong Diep, Daniel McKeen, Oleg Gang, Nicholas Stephanopoulos, Francesco Sciortino, Hao Yan, Flavio Romano, Petr Šulc
Science 2024, 384, 776-781. DOI: 10.1126/science.adl5549

参考文献:
[1] N. C. Seeman, Nucleic-acid junctions and lattices. J. Theor. Biol. 1982, 99, 237–247. DOI: 10.1016/0022-5193(82)90002-9
[2] P. Rothemund, Folding DNA to create nanoscale shapes and patterns. Nature 2006, 440, 297-302. DOI: 10.1038/nature04586
[3] S. Dey, et al., DNA origami. Nat Rev Methods Primers 2021, 1, 13. DOI: 10.1038/s43586-020-00009-8
[4] Z. Li & C. Mao, Engineering colloidal crystals molecule by molecule. Science 2024, 384, 741-742. DOI: 10.1126/science.adp4370
[5] Diamond glitter: a play of colors with artificial DNA crystals
https://www.lmu.de/en/newsroom/news-overview/news/diamond-glitter-a-play-of-colors-with-artificial-dna-crystals.html
[6] Petr Šulc教授的Twitter主页:
https://twitter.com/petr_sulc/status/1791187913402655154

(本文由小希供稿)


【声明】内容源于网络
0
0
X-MOL资讯
“X-MOL资讯”隶属于X-MOL学术平台(官网x-mol.com),关注化学、材料、生命科学、医学等领域的学术进展与科研前沿,提供专业与深度的内容。公众号菜单还提供“期刊浏览”等强大功能,覆盖各领域上万种期刊的新近论文,支持个性化浏览。
内容 19833
粉丝 0
X-MOL资讯 “X-MOL资讯”隶属于X-MOL学术平台(官网x-mol.com),关注化学、材料、生命科学、医学等领域的学术进展与科研前沿,提供专业与深度的内容。公众号菜单还提供“期刊浏览”等强大功能,覆盖各领域上万种期刊的新近论文,支持个性化浏览。
总阅读11.7k
粉丝0
内容19.8k