搜索
首页
大数快讯
大数活动
服务超市
文章专题
出海平台
流量密码
出海蓝图
产业赛道
物流仓储
跨境支付
选品策略
实操手册
报告
跨企查
百科
导航
知识体系
工具箱
更多
找货源
跨境招聘
DeepSeek
首页
>
【有机】有机对映选择性催化由Csp²-O键胺化构筑Csp²-N阻转异构体
>
0
0
【有机】有机对映选择性催化由Csp²-O键胺化构筑Csp²-N阻转异构体
X-MOL资讯
2024-02-28
1
导读:南方科技大学李鹏飞课题组与香港科技大学孙建伟课题组合作成功地实现了手性布朗斯特酸催化形式上的Csp2-O键胺化来构建Csp2-N阻转异构体。
阻转异构体是公认最广泛的一类具有轴向手性的化合物,由围绕单键旋转受限的构象组成,这使得它们能够以稳定的形式分离。目前,在构建阻转异构框架方面特别是构筑
C
sp2
-C
sp2
轴双芳烃和苯乙烯领域取得了重大进展。强烈对比之下,尽管C−N轴广泛存在于生物活性化合物(图1A)和手性配体(图1B)结构中,但由于C−N轴旋转能垒低、构象不稳定等特性,不对称催化合成这些阻转异构骨架的报道很少。
图1. 部分含有
C
sp2
-N轴阻转的分子
近日,
南方科技大学李鹏飞
课题组与
香港
科技大学孙建伟
课题组合作成功地实现了
手性布朗斯特酸催化形式上的
C
sp2
-O键胺化来构建
C
sp2
-N阻转异构体
。该项研究成果发表在了
Chemical Science
杂志上。
众所周知,对映选择性直接构建手性
C
sp2
-N轴主要有两种策略:(1)有机不对称催化胺化反应:如偶氮二酸酯/喹啉二亚胺对富电子萘烯的亲电胺化反应和富电子氮杂萘与富电子胺的亲核胺化反应(图2A);(2)金属催化的二级胺与芳基卤化物或重氮化合物的不对称偶联反应(图2B)。这两种策略依然存在某些不足,如底物受限、反应条件苛刻等。林旭锋课题组实现了一种手性磷酸催化的不对称串联反应用于构建轴手性N-芳基吲哚衍生物(图2C),但该反应仍需要在65 ℃下反应。因此,开发在温和条件下高效、高对映选择性直接构筑
C
sp2
-N键的方法具有重要意义。
由于C-O键具有较高的解离能,断开连接在富电子芳环上的
C
sp2
-O键通常很困难。常常需要如镍或钯等过渡金属催化剂来激活
C
sp2
-O键,但尚未实现由
C
sp2
-O键激活直接构建手性
C
sp2
-N轴。此外,不涉及过渡金属的胺化反应通常需要严酷的条件,例如高温和强碱。在前期有关吲哚酮衍生物及α-官能化醇的研究基础之上,李鹏飞课题组与孙建伟课题组合作开发了α-官能化醇与1-甲基-2-萘酚之间的脱水/加成/重排反应用于直接构建
C
sp2
-N阻旋异构体(图2D)。更重要的是,借助于两种手性布朗斯特酸的联合催化,实现了
C
sp2
-N阻旋异构体的对映选择性构筑。
图2. 直接对映选择性构建
C
sp2
-N轴
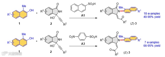
作者首先通过催化剂筛选、反应参数优化确定了最佳反应条件,实现了一系列
C
sp2
-N阻转异构体的高效构筑 (图3)。他们发现催化剂的酸性对产物的构型影响很大,使用弱酸会形成
Z
-式动力学产物,使用强酸则会形成较稳定的
E
-式热力学产物。
图3.
C
sp2
-N阻转异构体的消旋合成
随后,作者评估了一系列手性磷酸和手性磷酰胺对该反应的催化效果。当磷酰胺
C1
与磷酸
B2
组合时,得到了目标产物--动力学产物 (
R, Z
)-
3aa
,ee值为90%;在此基础上进一步优化反应参数、实现了
C
sp2
-N阻转异构体的对映选择性构筑(图4)。
图4.
C
sp2
-N阻转异构体的不对称合成
为了解释反应结果,作者进行了一系列控制实验。首先,在催化剂
A3
的存在下产物(
Z
)-
3aa
顺利转化为(
E
)-
3aa
,证实了前者是动力学产物,后者是热力学产物(图5, A)。其次,在标准条件下,
1a
和烯酮
4
之间没有反应,表明烯酮
4
不是的中间体 (图5, eq 1)。当加入
H
2
18
O
到
A1
介导的反应中时,
18
O
原子被纳入到了产物(
Z
)-
3aa
-
18
O
中(图5, eq 2)。重要的是,在添加4Å分子筛的情况下,形成了联烯的中间体---
IM-up
(弱极性)和
IM-down
(强极性)的非对映异构体的混合物(图5, eq 3)。此外,在手性催化剂
B2
作用下,可以分别得到手性的
IM-up
与
IM-down
。这两种中间体都可以在非手性催化剂
C1
存在的情况下转化为手性产物(
R, Z
)-
3aa
(图5, eq 4)。此外,消旋的联烯中间体也可以在手性酸的存在下可逆地形成它们的前体,并重新生成手性联烯中间体,并最终得到手性产物(
R, Z
)-
3aa
(图5, eq 5)。
图5. 控制实验
为了进一步理解反应机理,作者进行了密度泛函理论(DFT)计算研究。结果表明,这个有趣的过程包括脱水、联烯形成、水加成、环化和开环等5个步骤(图6)。催化剂首先通过氢键活化α-官能团化醇,随后消除水形成中间体
INT3
,其能垒为16.7 kcal/mol。随后,在催化剂作用下发生萘酚的亲核j加成,同时伴随着协同质子转移,生成联烯中间体
INT5
,其能垒为12.4 kcal/mol。在有水的情况下,该联烯可以被酸进一步激活,并发生水加成形成中间体
INT9
。接下来,通过N原子对羰基的亲核加成发生分子内环化反应形成C-N键。进一步的脱水形成亚胺
INT13
。最后,芳香化驱动的开环反应形成最终产物。特别地,从
INT11
中消除水是速率决定步骤,这与控制实验结果一致,表明联烯的形成可能是可逆的。
图6. 密度泛函理论(DFT)计算
该工作由李鹏飞课题组与孙建伟课题组联合培养博士生钱辰骁与李鹏飞课题组硕士生黄婷婷完成实验部分,孙建伟课题组博士生黄靖和
哈尔滨
工业大学(
深圳
)宋利娟完成DFT计算部分,
钱辰骁、黄婷婷、黄靖
三人为共同第一作者,
李鹏飞
和
孙建伟
为论文共同通讯作者。该工作得到了深圳市科学技术创新委员会(20200925151614002)、广东省创新计划(2019BT02Y335)和广东省催化重点实验室(2020B121201002)的资助。感谢南方科技大学检测中心,常晓勇(单晶结构)和于洋(质谱)在样品鉴定、表征中提供的帮助。
原文(扫描或长按二维码,识别后直达原文页面):
Organocatalytic enantioselective synthesis of
C
sp2
–N atropisomers
via
formal
C
sp2
–O bond amination
Chenxiao Qian, Jing Huang, Tingting Huang, Lijuan Song, Jianwei Sun*, Pengfei Li*
Chem. Sci.
,
2024
, DOI: 10.1039/D3SC06707F
导师介绍
李鹏飞
https://www.x-mol.com/university/faculty/242414
孙建伟
https://www.x-mol.com/university/faculty/7073
点击“
阅读原文
”,查看
化学 • 材料
领域
所有收录期刊
【声明】内容源于网络
0
0
X-MOL资讯
“X-MOL资讯”隶属于X-MOL学术平台(官网x-mol.com),关注化学、材料、生命科学、医学等领域的学术进展与科研前沿,提供专业与深度的内容。公众号菜单还提供“期刊浏览”等强大功能,覆盖各领域上万种期刊的新近论文,支持个性化浏览。
内容
19833
粉丝
0
关注
在线咨询
X-MOL资讯
“X-MOL资讯”隶属于X-MOL学术平台(官网x-mol.com),关注化学、材料、生命科学、医学等领域的学术进展与科研前沿,提供专业与深度的内容。公众号菜单还提供“期刊浏览”等强大功能,覆盖各领域上万种期刊的新近论文,支持个性化浏览。
总阅读
8.1k
粉丝
0
内容
19.8k
在线咨询
关注