搜索
首页
大数快讯
大数活动
服务超市
文章专题
出海平台
流量密码
出海蓝图
产业赛道
物流仓储
跨境支付
选品策略
实操手册
报告
跨企查
百科
导航
知识体系
工具箱
更多
找货源
跨境招聘
DeepSeek
首页
>
【高分子】北大朱戎JACS:区域规整的炔丙缩聚(CPPE)
>
0
0
【高分子】北大朱戎JACS:区域规整的炔丙缩聚(CPPE)
X-MOL资讯
2024-07-05
2
导读:朱戎课题组报道了铜氢/铜硅物种催化的共轭烯炔类亲电试剂的CPPE聚合,首次得到区域规整(>93%)的“头对尾”型1,4-聚(丁三烯) (poly(2-butyne-1,4-diyl)s, HT-PBD
由于其独特的连续双键结构,累积多烯具有引人关注的电子结构以及反应特性,然而其困难的合成和高度的不稳定性长期限制了人们探索和发展这一物种在合成化学和材料科学中的应用。围绕累积多烯的可控生成和聚合,
北京
大学朱戎
课题组建立了新聚合方法学体系“
炔丙缩聚
(Condensation Polymerization of Propargylic Electrophiles,
CPPE
)”,基于此发展了一系列新型累积多烯基功能高分子 (
JACS
,
2022
,
144
, 4315;
JACS
,
2022
,
144
, 8807;
JACS
,
2023
,
145
, 2045;
Giant
,
2023
,
13
, 100139;
JACS
,
2023
,
145
, 23755)。当中间体累积多烯为非对称取代时,得到的聚合物是区域无规的(“头对头”和“头对尾”)。
在聚合过程中精确控制区域化学对于材料性能有着至关重要的影响。受铜(I)催化烯烃官能团化反应启发,近日
朱戎
课题组报道了
铜氢/铜硅物种催化的共轭烯炔类亲电试剂的CPPE聚合,首次得到区域规整(>93%)的“头对尾”型1,4-聚(丁三烯) (poly(2-butyne-1,4-diyl)s, HT-PBD)
(图1)。此外,本工作还展示了一锅共聚法合成性质可调的含硅炔类高分子,以及通过配体交换实现了一锅聚合/半还原合成含有顺式烯烃片段的聚合物骨架。本文还对铜硼物种特殊的加成选择性进行了初步研究。
图1. Cu-H/Si催化区域规整炔丙缩聚(CPPE)
作者首先对Cu-H CPPE聚合进行了研究。经过条件优化,使用大位阻富电子单膦XPhos作为配体,DMMS作为氢源,可从烯炔单体
M
高效合成目标聚合物(
P1
,
M
n,GPC
= 14.9 kg/mol,
Đ
= 2.1)。通过
1
H /
13
C
NMR、2D NMR等详细表征,并与模型聚合物进行对比,确定了主链高度的区域规整性(图2,> 96% HT)。
图2. 主链结构和区域规整度确定
该方法可以兼容多种官能团,产物均具有良好的区域规整度。聚合物主链碳碳三键在XPhos作为配体的条件下不会被铜氢物种还原;但当往反应体系中加入NHC发生配体交换后,在补充硅烷和质子源的条件下可以实现一锅法半氢化得到含有顺式烯烃片段的聚合物骨架(图3)。
图3. Cu-H CPPE单体示例及一锅法主链半氢化
接着作者成功将反应拓展到Cu-Si CPPE,在相似的条件下合成了含硅基侧链的聚(丁三烯),并且同样具有高度的聚合区域选择性(图4a)。由于Cu-H/Si物种对共轭烯炔加成的相似性,通过一锅共聚法可合成性质可调的含硅炔类高分子(图4b)。
图4. Cu-Si CPPE底物范围和Cu-H/Si CPPE共聚
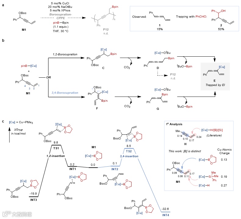
反应可能的机理如图5所示。值得注意的是,当作者尝试使用与Cu-H/Si性质类似的Cu-B物种催化CPPE聚合时,没有得到聚合物,而是检测到了还原异构化的产物,当用苯甲醛做捕获实验时则得到了端烯保留的产物(图6a)。这可能涉及两种途径(图6b)。为了进一步确定Cu-B物种加成的区域选择性,作者对该体系进行了DFT计算(图6c)。结果表明3,4-加成可能具有更低的能垒。单体中炔丙位离去基团的引入,导致三键和双键的f+系数差值显著减小,这可能使得最富电子的Cu-B物种在反应时产生与Cu-H/Si物种不同的选择性。
图5. Cu-H/Si CPPE机理假设
图6. Cu-B加成选择性研究
小结
Cu-H/Si CPPE为区域规整高分子的合成提供了新思路,为含硅聚合物提供了新骨架。该工作发表在
J. Am. Chem. Soc.
上。文章第一作者是北京大学博士研究生
王政林
,通讯作者是
朱戎
研究员。该研究得到国家自然科学基金委原创探索项目的支持。
原文(扫描或长按二维码,识别后直达原文页面):
Regioselective Condensation Polymerization of Propargylic Electrophiles Enabled by Catalytic Element-Cupration
Zheng-Lin Wang and Rong Zhu*
J. Am. Chem. Soc
.,
2024
, DOI: 10.1021/jacs.4c05524
北京大学朱戎研究员团队因科研工作和发展需要,诚聘博士后数名
,研究方向包括:1. 高分子合成;2. 有机合成化学;3. 功能材料;4. 高通量筛选和表征。优秀博士后年薪不低于30万(税前),同时根据工作业绩额外给予绩效奖励。解决博士后期间子女入托、入学问题,提供博士后公寓或租房补贴。有意者请将详细个人简历(包括学习工作经历、研究内容简介、获得成果列表等)发送
邮件
至rongzhu@pku.edu.cn。
朱戎课题组主页:
https://www.chem.pku.edu.cn/rongzhu/index.htm
https://www.x-mol.com/university/faculty/61413
点击“
阅读原文
”,查看
化学 • 材料
领域
所有收录期刊
【声明】内容源于网络
0
0
X-MOL资讯
“X-MOL资讯”隶属于X-MOL学术平台(官网x-mol.com),关注化学、材料、生命科学、医学等领域的学术进展与科研前沿,提供专业与深度的内容。公众号菜单还提供“期刊浏览”等强大功能,覆盖各领域上万种期刊的新近论文,支持个性化浏览。
内容
19833
粉丝
0
关注
在线咨询
X-MOL资讯
“X-MOL资讯”隶属于X-MOL学术平台(官网x-mol.com),关注化学、材料、生命科学、医学等领域的学术进展与科研前沿,提供专业与深度的内容。公众号菜单还提供“期刊浏览”等强大功能,覆盖各领域上万种期刊的新近论文,支持个性化浏览。
总阅读
11.7k
粉丝
0
内容
19.8k
在线咨询
关注