搜索
首页
大数快讯
大数活动
服务超市
文章专题
出海平台
流量密码
出海蓝图
产业赛道
物流仓储
跨境支付
选品策略
实操手册
报告
跨企查
百科
导航
知识体系
工具箱
更多
找货源
跨境招聘
DeepSeek
首页
>
【有机】天津大学张发光-马军安团队JACS:化学-酶法合成氟代麦考环素
>
0
0
【有机】天津大学张发光-马军安团队JACS:化学-酶法合成氟代麦考环素
X-MOL资讯
2024-07-19
0
导读:天津大学张发光-马军安团队与山东大学刘永军团队采用化学和生物“接力”催化合成路线,构建了系列麦考环素 (Mycocyclosin) 含氟衍生物
在天然产物活性分子中引入氟原子往往可以起到增加生物利用度、增强代谢稳定性、提高药物活性等效果。酶催化的碳-碳氧化偶联反应是合成联芳基化合物重要策略,但是通过该方法合成天然产物含氟衍生物仍是一个具有挑战性的课题。
天津
大学马军安课题组致力于通过化学-酶交叉融合策略解决氟化学中的挑战性课题,前期在酶催化去对称化反应、酶催化动态动力学还原反应等方面取得了良好进展(
Nat. Commun
.
2022
,
13
, 7813;
ACS Catal
.
2024
,
14
, 6358;
Synth. Biol. J
.
2021
,
2
, 674;
Phys. Chem. Chem. Phys
.
2024
,
26
, 12331)。
近日,
天津大学张发光-马军安
团队与
山东大学刘永军
团队
采用化学和生物“接力”催化合成路线,构建了系列麦考环素 (Mycocyclosin) 含氟衍生物
(图1)。该方案从含氟苯酚出发,通过酪氨酸酚裂解酶 (
Cf
TPL) 催化合成系列含氟酪氨酸,并进一步用化学法经双分子缩合合成了系列含氟环二酪氨酸,最后通过结核分枝杆菌细胞色素P450酶 (
Mt
CYP121) 催化含氟环二酪氨酸的分子内碳-碳偶联合成了系列含氟麦考环素衍生物。这一“接力”策略不仅成功克服了纯生物法中依赖环二肽合成酶、氨酰tRNA合成酶形成复杂中间体的困难,还解决了纯化学法中含氟酪氨酸不易获取和引入氟原子导致苯环钝化的难题。该工作关键在于对
Mt
CYP121的定向进化,通过对活性口袋两个重要残基进行突变,获得了具有更高催化活性和稳定性的突变体,并采用理论计算揭示了突变体的催化机制。
图1. 氟代麦考环素的化学-酶法合成
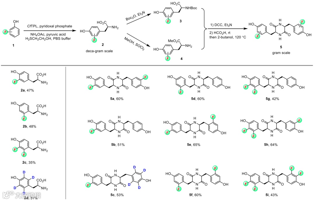
首先,作者从商业可获取的氟代苯酚
1
出发,在酪氨酸酚裂解酶 (
Cf
TPL) 的作用下,以醋酸铵和丙酮酸为原料得到氟代酪氨酸粗产物,并通过Boc基团的保护与脱除纯化,可以10 g级获得4种氟代酪氨酸衍生物。随后,在DCC和NE
t
3
的作用下,Boc保护的酪氨酸
3
和酪氨酸甲酯
4
分子间缩合,并用甲酸脱除Boc保护,合成一系列氟代环二肽
5
。通过上述方法(图2),可以中等收率、克级制备一系列含氟环二酪氨酸
5
。
图2. 氟代酪氨酸与氟代环二肽的合成
接下来,以对称含氟环二酪氨酸
5a
为模式底物,构建分子内C-C键。经过反应条件优化,目标分子内偶联反应在
NaH
CO
3
/Na
2
CO
3
缓冲溶液 (pH = 9.4, 10 % v/v DMSO),底物浓度为3 mM,过氧化氢终浓度为60 mM,分10次加入,此时
5a
转化率为34 %,因此可以对野生型的
Mt
CYP121进行定向进化,以提高其转化率(图3a)。在定向进化前需要构建有效的高通量筛选方法,选定315 nm为高通量筛选波长。这一方法线性关系和拟合度较好,背景干扰较小,可以分析反应的进行程度(图3b)。
图3. 高通量筛选方法的构建、定向进化与筛选
随后经历
Mt
CYP121的三轮定向进化迭代后,发现最优二突变体Q385A/A167M,其催化得分子内芳基氧化偶联反应转化率提升至86%(图3c)。经酶动力学参数测定,二突变体的转化数 (
k
cat
) 为468.3
s
-1
,米氏常数 (
K
m
) 为1.344 mM,而野生型的转化数 (
k
cat
)
为233.8
s
-1
,米氏常数 (
K
m
) 为1.778 mM。
接着,作者探讨了二突变体的底物普适性,多种单氟、二氟与三氟底物均能以中等至优异转化率,得到麦考环素含氟衍生物。其中,2-位氟取代有利于这一反应的进行,而3-位氟取代阻碍这一反应,氘原子对这一反应无明显影响。将模型底物
5a
进行克级放大,将100 mL过氧化氢通过注射泵缓慢注入1 L反应混合物中,观察到底物基本完全转化,经由化学法分离提纯,高纯产物
6a
最终分离收率为251 mg/L。此外,
6a
与4-硝基苄溴反应,以93%产率得到保护的麦考环素含氟衍生物
7
,并对其进行了X射线单晶衍射分析。
图4. CYP121 突变体催化的分子内芳基偶联反应
本研究还通过理论计算揭示了
Mt
CYP121催化二聚酪氨酸进行分子内碳-碳氧化偶联的微观机制。研究表明,分子内碳-碳键的形成遵循双自由基偶联机理,即环二酪氨酸中两个相距较远的酪氨酸需要都形成自由基才能实现偶联。
Mt
CYP121首先通过其活性中心的Cpd I攫取底物近端酪氨酸酚羟基上的氢原子来引发反应(图5),而远端酪氨酸的活化要通过底物的构象调整和分子内的氢原子转移来实现;远端酪氨酸被活化后,Cpd II进一步攫取近端酪氨酸酚羟基上的氢原子对其进行活化;不同氟取代的环二酪氨酸底物和
Mt
CYP121的天然底物(二聚酪氨酸)对应几乎相同的反应能垒。分子对接计算表明,氟取代位置对底物在酶活性中心的结合模式具有显著影响(图6),可能是导致
Mt
CYP121对不同氟取代环二酪氨酸底物具有催化活性的主要原因。
图5. 分子内碳–碳氧化偶联过程的势能剖面图
图6. 不同氟取代环二酪氨酸底物(
5、5a、5f
)与
Mt
CYP121的结合模式
总之,天津大学张发光-马军安团队与山东大学刘永军团队合作实现了化学和生物“接力”催化合成麦考环素含氟衍生物,克服了纯化学法底物难以获取、氟原子难以引入的困难,解决了纯生物法复杂中间体难以形成的难题。其中通过对关键酶
Mt
CYP121活性口袋内两个重要氨基酸残基进行突变,其活性显著提高,理论计算揭示了突变体的催化机制。同时,这一策略顺利实现了环二酪氨酸含氟衍生物的底物谱拓展与克级反应,合成了多种麦考环素含氟衍生物。
该工作近期发表于
J. Am. Chem. Soc
.,文章第一作者为天津大学博士研究生
李烁涵
、山东大学博士研究生
张雪
,通讯作者为山东大学
刘永军
教授、天津大学
马军安
教授、天津大学
张发光
教授。
原文(扫描或长按二维码,识别后直达原文页面):
Chemoenzymatic Synthesis of Fluorinated Mycocyclosin Enabled by the Engineered Cytochrome P450-Catalyzed Biaryl Coupling Reaction
Shuo-Han Li
,
§
Xue Zhang
,
§
Ze-Long Mei, Yongjun Liu,* Jun-An Ma,* and Fa-Guang Zhang*
J. Am. Chem. Soc
.,
2024
, DOI: 10.1021/jacs.4c03499
通讯作者介绍
张发光,天津大学理学院化学系教授,博士生导师。2009年本科毕业于天津大学理学院,2014年博士毕业于天津大学理学院,师从马军安教授。2014年至2017年在以色列理工学院进行博士后研究,合作导师为Ilan Marek 院士。2017年至今在天津大学理学院化学系从事教学科研工作。研究方向为有机氟化学与不对称合成,近年来主要在新型含氟砌块设计合成与反应研究方面取得了系列成果,重点开发了系列二氟烷基重氮试剂及其反应、酶催化合成含氟新分子等,以第一或(共同)通讯作者在
Chem. Rev.、J. Am. Chem. Soc.
(3)、
Angew. Chem., Int. Ed.
(4)、
CCS Chem
. (2)、
ACS Catal
(2)等高水平期刊发表学术论文50余篇。
课题组主页:
http://tjmos.tju.edu.cn/majunan/
X-MOL主页:
https://www.x-mol.com/groups/zhang_faguang
点击“
阅读原文
”,查看
化学 • 材料
领域
所有收录期刊
【声明】内容源于网络
0
0
X-MOL资讯
“X-MOL资讯”隶属于X-MOL学术平台(官网x-mol.com),关注化学、材料、生命科学、医学等领域的学术进展与科研前沿,提供专业与深度的内容。公众号菜单还提供“期刊浏览”等强大功能,覆盖各领域上万种期刊的新近论文,支持个性化浏览。
内容
19833
粉丝
0
关注
在线咨询
X-MOL资讯
“X-MOL资讯”隶属于X-MOL学术平台(官网x-mol.com),关注化学、材料、生命科学、医学等领域的学术进展与科研前沿,提供专业与深度的内容。公众号菜单还提供“期刊浏览”等强大功能,覆盖各领域上万种期刊的新近论文,支持个性化浏览。
总阅读
11.7k
粉丝
0
内容
19.8k
在线咨询
关注