搜索
首页
大数快讯
大数活动
服务超市
文章专题
出海平台
流量密码
出海蓝图
产业赛道
物流仓储
跨境支付
选品策略
实操手册
报告
跨企查
百科
导航
知识体系
工具箱
更多
找货源
跨境招聘
DeepSeek
首页
>
【高分子】助力“双碳”目标:羧基协助下晶态聚乙烯的固态形式光降解
>
0
0
【高分子】助力“双碳”目标:羧基协助下晶态聚乙烯的固态形式光降解
X-MOL资讯
2024-07-19
1
导读:日本东京大学的Kyoko Nozaki课题组近日采用含有少量羧基侧链的聚烯烃(PE-COOH),通过在主链引入自由基“trigger”的方式,在温和条件下实现了晶态聚烯烃的固态形式光降解
“白色塑料污染”问题已对全球性的可持续发展带来重大挑战。据联合国环境规划署
报告
显示:截止到2017年,全球废塑料总量约为70亿吨。预计到2040年,全球每年将有约7.1亿吨塑料垃圾被遗弃。其中,废聚烯烃 (主要包括聚乙烯 (PE) 和聚丙烯 (PP)) 占比超过废塑料总量的50%,且其自然降解通常需要数百年
时间
。因而,开发新型的废聚烯烃高效降解和回收利用技术,不仅能够降低环境负荷,而且有望减少对化石资源的依赖。然而,由于聚烯烃
C
(
sp
3
)
–
C(
sp
3
)
骨架稳定、难溶于大部分溶剂和熔点较高的特性,其化学降解极其困难,因而聚烯烃的化学回收工艺通常需要相当苛刻的反应条件(例如热解和气解的反应
温度
均超过300 °C, 图1a-i)。目前,使用一些非均相或均相贵催化剂可在相对温和的条件下降解聚烯烃(图1a-ii),但是反应温度仍需高于聚烯烃的熔点,以便聚合物在无溶剂的情况下更好地与催化剂接触,这也定义了该类反应温度的下限。此外,高粘度在熔融聚烯烃的反应中是一个严重的技术问题。因此,在较温和的条件下,以固态形式来降解聚烯烃是一种十分具有吸引力的替代方案,然而聚烯烃的高结晶度将阻碍C−C键与试剂(例如催化剂)有效接触,给该方案的实现带来另一个巨大挑战。
图1. 聚烯烃中的C–C键断裂策略
受聚烯烃的风化现象启发(图1a-iii),日本
东京
大学
的
Kyoko Nozak
i
课题组近日采用
含有少量羧基侧链的聚烯烃(PE-COOH),通过在主链引入自由基“trigger”的方式,在温和条件下实现了晶态聚烯烃的固态形式光降解
(图1b, c)。值得注意的是,这种羧基化的PE易于合成,并且通常以EAA(乙烯-丙烯酸共聚物)形式出售。更为重要的是,由于结合了PE的结晶性和羧酸之间的氢键作用,相比于简单PE,PE-COOH具有增强的粘附性、机械韧性和强度。作者发现,以铈盐和空气中的氧气分别作为光催化剂和氧化剂,在极性溶剂(乙腈或者水)中60-80 ℃可将PE-COOH(-COOH含量4.8 mol%, 甲基支链1.4/1000 C,
M
n
= 8.3 kg/mol,
Ð
= 2.6)快速光降解为分子量接近蜡(
M
n
= 0.3-0.8 kg/mol)的片段,并且几乎定量地回收了碳原子(总重量回收率为98%),避免了传统氧化降解中因过度氧化而造成大量碳原子损失的问题。接着,控制实验表明,铈盐、蓝光和空气中的氧气在促进降解方面起着至关重要的作用,并且反应涉及自氧化机制。此外,克级规模反应的实现(1.05 g PE-COOH, 反应4天后
M
n
降至0.4 kg/mol,图2a)和可忽略不计的抗氧化剂影响(相对于起始PE-COOH重量的0.05%-1%的抗氧化剂BHT对反应基本无影响)证明了该方法的实用性。需要指出的是,混合体系在反应前后均呈现出非均相状态,因为PE-COOH不溶于乙腈(或水),甚至不会溶胀,这表明该降解反应发生在固态而不是溶胀状态,允许反应在较低温度下进行,从而避免了熔融聚烯烃反应中的高粘度技术问题。
图2. 不同聚烯烃的反应性
该方法对于具有较低-COOH含量的PE-COOH同样有效,比如HDPE类PE-COOH(-COOH含量1.2 mol%,甲基支链1.8/1000 C,图2b)和一种支链更多的LDPE类PE-COOH(-COOH含量1.7 mol%,图2c)。相比之下,在缺少-COOH基团的简单PE(HDPE)的反应中,仅检测到轻微的分子量下降(图2d),这些结果证明了-COOH基团在聚烯烃高效降解中的关键作用。
此外,该方法也适用于PE-COOH和铈盐的物理混合物在无溶剂条件下的降解(图3)。将HDPE类PE-COOH(
M
n
= 8.3 kg/mol,
Ð
= 2.6)和CeC
l
3
∙7H
2
O通过球磨混合1 h,然后在80 ℃无溶剂状态下进行光降解。通过对产物的SEC分析,观察到分子量的显著下降(24 h后降至
M
n
= 1.0 kg/mol; 96 h后降至
M
n
= 0.3 kg/mol)。
图3. (a) 通过球磨制备的PE-COOH和CeC
l
3
∙7H
2
O的混合物。(b) 未分散在溶剂中而以固体状态进行的光降解。
进一步的,该方法的实用性可通过HDPE类PE-COOH薄膜样品(厚度 ~ 0.1 mm)的反应得到证明。与粉末样品相比,膜的表面积较小。因此在延长反应时间至96 h后,可检测到类似的分子量降低(
M
n
= 0.3 kg/mol,图4a)。值得注意的是,在铈盐存在下,聚合物薄膜在照射后变脆并且开裂,而在没有铈盐的情况下,膜外观几乎保持不变(图4b)。进一步的SEM形貌分析表明,在缺少铈盐的情况下,膜表面几乎没有明显变化,而在有铈盐的情况下,薄膜表面出现明显的侵蚀和裂纹,并且观察到了脆性断裂特征的断面。随着反应的进行,裂纹可以增加膜表面的渗透性,使得铈催化剂和氧气能够到达薄膜的更深区域,从而促进反应的进行。
图4. PE-COOH薄膜样品的反应: (a) w/ Ce,96 h. (b) w/o Ce,48 h.
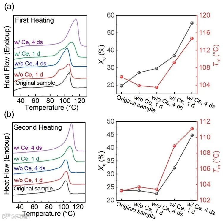
最后,基于该反应的非均相特性,作者通过DSC、WAXD/SAXS研究了反应前后HDPE类PE-COOH薄膜的熔融行为与片晶形貌的变化,以揭示反应对聚集态结构的影响。不同薄膜样品的DSC升温曲线如图5a所示,无论有无铈盐,结晶度 (
χ
c
,
以黑色绘制,图5a,右) 在照射后均增加。同时,熔点 (
T
m
,以红色绘制,图5a,右) 在没有铈盐的情况下发生下降,而在有铈盐的情况下升高。消除热历史后,作者分析了经第二次升温的DSC曲线(图5b),发现在没有铈盐时,反应后样品的
χ
c
和
T
m
值与原始样品相同。反之,在有铈盐的情况下,
χ
c
和
T
m
均升高。
图5. (a) DSC曲线(第一次加热扫描,左)以及
χ
c
和
T
m
变化图(右)。(b) DSC曲线(第二次加热扫描,左)以及
χ
c
和
T
m
变化图(右)。
一方面,在没有铈盐的情况下,
χ
c
的增加和
T
m
的降低归因于热退火过程,其中非晶区域中的链段仅通过加热就可重新排列成更薄的新片晶(顶部,图6)。另一方面,在有铈盐的情况下,
χ
c
和
T
m
的增加可以通过聚合物链的重整来解释,即在损失部分-COOH基团后,聚合物链通过重排形成了更厚的片晶(底部,图6),表现出反应后
χ
c
和
T
m
均升高。
图6. HDPE类PE-COOH片晶形貌的动态变化。
总结与展望
东京大学Kyoko Nozaki教授课题组在温和条件下实现了半结晶态PE类聚合物的固态形式光降解,并且几乎定量地回收碳原子。此外,作者研究了HDPE类PE-COOH的降解过程以及反应前后的结晶结构变化,为聚烯烃的固态降解研究提供了新认识。进一步的,相比于起始聚合物,低分子量产物的粘度和热稳定性大大降低,预示其可能适用于更加高效的聚烯烃催化重整过程,从而制备高附加值的燃料,助力循环经济的发展。
这一成果近期发表在
J. Am. Chem. Soc.
上,第一作者为
卢斌
博士,通讯作者为东京大学的
Kyoko Nozaki
教授和
Kohei Takahashi
博士。东京大学
Naoko Yoshie
教授、
周健
博士、
Shintaro Nakagawa
博士以及
Yuta Yamamoto、Takuya Katashima
博士为本文研究做出了重要贡献。该研究工作得到了日本科学技术振兴机构ERATO项目的支持。
原文(扫描或长按二维码,识别后直达原文页面):
Mild Catalytic Degradation of Crystal
line
Polyethylene Units in Solid State Assisted by Carboxylic Acid Groups
Bin Lu, Kohei Takahashi*, Jian Zhou, Shintaro Nakagawa, Yuta Yamamoto, Takuya Katashima, Naoko Yoshie, and Kyoko Nozaki*
J. Am. Chem. Soc
.,
2024
, DOI: 10.1021/jacs.4c07458
Kyoko Nozaki课题组主页:
http://park.itc.u-tokyo.ac.jp/nozakilab/indexE.html
https://www.x-mol.com/university/faculty/378089
卢斌博士简介
卢斌,江西
赣州
人,有机化学博士,东京大学特任研究员。2013年本科毕业于
上海
大学,获工学学士学位(导师:
万文 教授 & 郝健 教授
)。同年进入上海交通大学,在
张兆国教授
指导下研究钌催化的酮羰基化合物的不对称氢化反应,于2019年获理学博士学位。随后加入中国科学院
上海有机所王晓明研究员
课题组任博士后研究员,开展新颖双核金属络合物的创制与催化反应研究。自2022年起,在日本东京大学的
Kyoko Nozaki教授
课题组担任ERATO项目特任研究员,致力于高分子材料的合成与降解研究。目前已发表SCI论文20篇,且近5年以第一作者(含共一)发表
J. Am. Chem. Soc.
(2 篇)、
ACS Cent. Sci
(1 篇)、
Org. Lett
. (1 篇)、
J. Org. Chem.
(1 篇)。
点击“
阅读原文
”,查看
化学 • 材料
领域
所有收录期刊
【声明】内容源于网络
0
0
X-MOL资讯
“X-MOL资讯”隶属于X-MOL学术平台(官网x-mol.com),关注化学、材料、生命科学、医学等领域的学术进展与科研前沿,提供专业与深度的内容。公众号菜单还提供“期刊浏览”等强大功能,覆盖各领域上万种期刊的新近论文,支持个性化浏览。
内容
19833
粉丝
0
关注
在线咨询
X-MOL资讯
“X-MOL资讯”隶属于X-MOL学术平台(官网x-mol.com),关注化学、材料、生命科学、医学等领域的学术进展与科研前沿,提供专业与深度的内容。公众号菜单还提供“期刊浏览”等强大功能,覆盖各领域上万种期刊的新近论文,支持个性化浏览。
总阅读
8.1k
粉丝
0
内容
19.8k
在线咨询
关注