搜索
首页
大数快讯
大数活动
服务超市
文章专题
出海平台
流量密码
出海蓝图
产业赛道
物流仓储
跨境支付
选品策略
实操手册
报告
跨企查
百科
导航
知识体系
工具箱
更多
找货源
跨境招聘
DeepSeek
首页
>
【有机】四川大学夏莹课题组Angew:铑催化偕二氟环丁烯的区域和对映选择性硼氢化反应研究
>
0
0
【有机】四川大学夏莹课题组Angew:铑催化偕二氟环丁烯的区域和对映选择性硼氢化反应研究
X-MOL资讯
2024-04-11
2
导读:四川大学夏莹课题组在Angew Chem上发表研究论文,报道了首例铑催化偕二氟环丁烯的不对称硼氢化反应,实现了手性α-硼基偕二氟环丁烷和手性单氟环丁烯的对映选择性合成。
近日,
四川大学夏莹
课题组在
Angewandte Chemie International Edition
上发表研究论文,报道了首例
铑催化偕二氟环丁烯的不对称硼氢化反应,实现了手性
α
-硼基偕二氟环丁烷和手性单氟环丁烯的对映选择性合成。
环丁烷由于其独特的结构特点在药物化学中具有广泛的应用,向环丁烷结构中引入氟原子可以增强它们的亲脂性、溶解性和代谢稳定性,使氟代环丁烷成为药物研发和活性化合物筛选中的重要组成单元。尽管非手性或消旋氟代环丁烷的合成具有一些文献报道,但是手性氟代环丁烷的多样化合成仍然是有机合成化学中的一大挑战。过渡金属催化的烯烃不对称硼氢化反应是构建手性碳硼键的有力
工具
,目前在手性有机硼化合物的合成中取得了显著的研究进展,但是环丁烯的催化不对称硼氢化尚未被开发。目前,研究人员通过使用Cu/
B
2
Pin
2
体系实现了某些环丁烯化合物形式上的硼氢化反应,合成了手性硼取代的环丁烷衍生物(图1a)。作者将Cu/
B
2
Pin
2
体系应用于偕二氟环丁烯的反应中,期望通过形式上的硼氢化反应合成手性氟代环丁烷衍生物;然而,该反应经历了β-硼加成/氟消除,随后通过热解开环过程,生成了B,F-取代的1,3-二烯(图1b)。这一结果表明,对偕二氟环丁烯进行催化不对称硼氢化存在一定的挑战,主要是由于以下三个原因:第一,偕二氟环丁烯结构中固有的环张力容易导致其开环;第二,目标产物中潜在的B,F-消除或H,F-消除倾向;第三,目标产物的区域选择性、非对映选择性和对映选择性的控制。
夏莹
研究员团队前期一直致力于过渡金属催化(含氟)小环化学的研究(
Angew. Chem. Int. Ed
.
2021
,
60
, 10626;
ACS Catal.
2022
,
12
, 8857;
Chem. Sci.
2022
,
13
, 12419;
Angew. Chem. Int. Ed
.
2023
,
62
, e202304462;
Angew. Chem. Int. Ed
.
2023
,
62
, e202307129;
Angew. Chem. Int. Ed
.
2024
,
63
, e202319647;
Adv. Sci.
2024
,
11
, 2401243;
Angew. Chem. Int. Ed.
2024
,
63
, e202403602)。近日,夏莹课题组发展了首例铑催化偕二氟环丁烯的不对称硼氢化反应(图1c),实现了手性α-硼基偕二氟环丁烷的对映选择性合成;通过一锅法原位加碱或钯催化剂,可以保持四元环结构,使α-硼基偕二氟环丁烷选择性地发生B,F-消除反应,构建了手性单氟环丁烯;该反应具有优异的区域选择性、非对映选择性和对映体选择性,所合成的手性α-硼基偕二氟环丁烷和手性单氟环丁烯是两类重要的合成中间体,为手性含氟环丁烷衍生物的多样化合成提供了一种有效的方法,极大地丰富了手性氟代环丁烷的种类。
图1. 偕二氟化环丁烯的不对称硼氢化:背景、挑战和本文工作。图片来源:
Angew. Chem. Int. Ed.
反应条件筛选
在条件筛选过程中,以[Rh(cod)Cl
]
2
作为催化剂,作者考察了一系列手性配体(表1)。采用双齿膦配体BINAP(
L1
)、Josiphos(
L2
)和
i
P
r-BPE(
L3
)仅能以小于5%的产率得到目标产物
2a
(条目1-3);当使用单齿膦配体时,AntPhos(
L5
)能够有效地提高目标产物的产率和对映选择性(条目4, 5)。在此基础上,作者探索了其它与AntPhos(
L5
)结构相似的单齿配体
L6-L9
(条目6-9),通过对实验结果的比较发现
L9
是当前最佳配体。增加催化剂和配体的用量,同时延长反应
时间
可以进一步提高目标产物
2a
的产率并且ee值保持不变(条目10-12)。最终,在1.5 mol%[Rh(cod)Cl
]
2
/6 mol%
L9
的催化作用下,加入2 equiv. HBPin,以四氢呋喃作为溶剂,在40 ℃氮气氛围条件下反应16 h,能够以99%的核磁产率和95%的ee值得到目标产物
2a
(条目11)。随后,通过向反应体系中原位加碱可以促进B,F-消除反应,实现了手性单氟环丁烯的对映选择性合成(条目13-15),当向反应体系中加入2 equiv. LiO
t
B
u时,在室温条件下继续反应4 h,能够以87%的产率和96%的ee值得到相应的产物
3a
(条目15)。
表1. 反应条件的优化。图片来源:
Angew. Chem. Int. Ed.
底物范围
接下来,作者探索了不对称硼氢化反应的底物范围(图2A)。首先,一系列烷基取代的偕二氟环丁烯均能顺利地发生硼氢化反应,以较好的产率和优秀的对映选择性得到产物
2a-2j
,并且在这些反应中未检测到β-硼化副产物。烷基取代产物的绝对构型通过与产物
2a
的单晶结构类比得以确定。随后,作者考察了芳基取代的偕二氟环丁烯的硼氢化反应(
2k-2x
),与烷基取代的底物相比,芳基取代的底物反应活性较低,需要增加催化剂和配体的用量,同时提高反应
温度
才能获得较好的实验结果。在改进的反应条件下,芳基取代的偕二氟环丁烯都能顺利地发生硼氢化反应,以中等到较高的产率和优秀的对映体选择性获得目标产物,除了对溴和邻氯苯基取代的底物显示出略低的对映体选择性(
2v
,
2x
)。与烷基取代反应底物不同的是,苯基上带有对位甲基(
2l
)、对位环丙基(
2m
)、对位正丁基(
2n
)、对位三甲基硅基(
2o
)、间位甲氧基(
2r
)和邻位氯(
2x
)取代基的底物在该反应中可以检测到β-硼化副产物(α:β = 5:1至> 20:1)。尽管如此,通过柱色谱可以分离得到纯净的α-硼化产物,但需要注意的是,目标产物在柱色谱分离过程中会发生部分的分解,导致其分离产率比核磁产率低。此外,芳基取代产物的绝对构型通过
2p
氧化后的偕二氟环丁醇的单晶结构类比得以确定。
图2. 底物范围的考察。图片来源:
Angew. Chem. Int. Ed.
随后,作者探索了手性单氟环丁烯合成的底物范围(图3B)。由于B,F-消除过程没有影响目标产物的手性中心,作者从其母体化合物推断出手性单氟环丁烯的绝对构型,并且得到了产物
3d
单晶的进一步确认。在最佳反应条件下,一系列烷基取代的偕二氟环丁烯均能顺利地发生脱氟氢化反应,以较好的产率和优秀的对映体选择性合成了手性单氟环丁烯(
3a-3h
)。然而,与烷基取代底物不同的是芳基取代的偕二氟环丁烯仅在碱的存在下不能发生B,F-消除反应。对反应条件的进一步优化发现,催化量的Pd(TFA
)
2
可以促进B,F-消除过程,同时可以保持目标产物的对映选择性。在Pd(TFA
)
2
催化反应条件下,芳基取代的偕二氟环丁烯通过一锅两步法可以顺利地发生脱氟氢化反应,以中等到良好的产率和优秀的对映体选择性获得了一系列手性单氟环丁烯(
3j-3v
)。需要注意的是,某些芳基取代的底物产率较低的原因是由于钯催化的B,F-消除过程会发生开环副反应。对于B,F-消除反应有两种过程,一种是碱促进的消除,另一种是通过转金属和β-F消除进行的(图3B,底部)。
后续应用
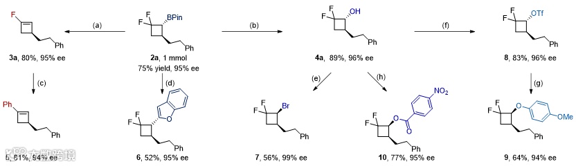
作者通过放大量实验和后续转化展示了该反应在有机合成中的应用(图3)。标准反应放大到1 mmol水平,目标产物
2a
的产率仅略有下降,ee值未受影响。硼氢化产物
2a
和脱氟氢化产物
3a
在合成手性环丁烷衍生物中具有广泛的应用。例如,产物
3a
通过Kumada偶联反应以81%的产率和94%的ee值合成了手性环丁烯
5
;产物
2a
在正丁基锂和
N
-溴代丁二酰亚胺的条件下与苯并呋喃发生杂芳基化反应,以52%的产率和95%的ee值得到了手性偕二氟环丁烷
6
;产物
2a
可以顺利的被氧化为手性环丁醇
4a
,
4a
作为一个多功能的有机合成中间体,可以发生溴代反应得到手性环丁烷
7
;
4a
与三氟甲磺酸酐反应得到三氟甲磺酸酯
8
,
8
与对甲氧基苯酚反应,得到O-烷基化产物
9
;此外,手性环丁醇
4a
也可以与羧酸发生Mitsunobu反应合成产物
10
。
图3. 合成应用。图片来源:
Angew. Chem. Int. Ed.
总结
综上所述,作者发展了首例铑催化偕二氟环丁烯的不对称硼氢化反应。温和高效的反应条件使硼氢化反应能够保持四元环和C
F
2
基团及其α-硼基的完整性,展现出优异的区域选择性、非对映选择性和对映选择性。手性单氟环丁烯可以通过形式上的脱氟氢化反应在一锅法中合成。目标产物的后续转化进一步证明了该方法在手性含氟环丁烷分子的多样化合成中的应用价值。
本文的第一作者是四川大学博士研究生
袁富山
,通讯作者为四川大学华西公共卫生学院(华西第四医院)/生物治疗全国重点实验室
夏莹
研究员,
临沂
大学化学化工学院
胡芳东
副教授为论文的共同通讯作者。
原文(扫描或长按二维码,识别后直达原文页面):
Diversified Synthesis of Chiral Fluorinated Cyclobutane Deri
vat
ives Enabled by Regio- and Enantioselective Hydroboration
Fushan Yuan, Xingyu Qi, Yuanyue Zhao, Jie Jia, Xufei Yan, Fangdong Hu, Ying Xia
Angew. Chem. Int. Ed.
,
2024
, DOI: 10.1002/anie.202401451
夏莹研究员简介
夏莹,四川大学华西生物治疗国家重点实验室和华西公共卫生学院/华西第四医院研究员、博士生导师,公共卫生与预防医学实验中心主任。2010年本科毕业于
北京
理工大学。2010年至2015年在北京大学王剑波教授、张艳教授课题组攻读博士学位。2015年至2019年先后在
美国
德州
大学奥斯汀分校和芝加哥大学Guangbin Dong(董广彬)教授课题组从事博士后研究工作。2019年加入四川大学开展独立研究工作,研究兴趣为过渡金属催化的小环化学、不对称催化和有机氟化学,目前所有文章(含合作)被引>5000次,h-index为36 (Scopus数据库),获得 2022 年 Thieme Chemistry Journals Award国际学术奖。
课题组主页:
https://www.x-mol.com/groups/SCU-Xia_Ying
点击“
阅读原文
”,查看
化学 • 材料
领域
所有收录期刊
【声明】内容源于网络
0
0
X-MOL资讯
“X-MOL资讯”隶属于X-MOL学术平台(官网x-mol.com),关注化学、材料、生命科学、医学等领域的学术进展与科研前沿,提供专业与深度的内容。公众号菜单还提供“期刊浏览”等强大功能,覆盖各领域上万种期刊的新近论文,支持个性化浏览。
内容
19833
粉丝
0
关注
在线咨询
X-MOL资讯
“X-MOL资讯”隶属于X-MOL学术平台(官网x-mol.com),关注化学、材料、生命科学、医学等领域的学术进展与科研前沿,提供专业与深度的内容。公众号菜单还提供“期刊浏览”等强大功能,覆盖各领域上万种期刊的新近论文,支持个性化浏览。
总阅读
1.6k
粉丝
0
内容
19.8k
在线咨询
关注