通讯作者:Lei Qin* (秦雷)、Peiyuan Yu* (余沛源)、Zhiping Zheng* (郑智平),南方科技大学
作者:Weiwei Qi (齐卫卫)、Na Wang (王娜)、Lei Qin (秦雷)、Peiyuan Yu (余沛源)、Zhiping Zheng (郑智平)
背景介绍
在全球能源需求持续增长与传统化石能源逐步减少的背景下,寻找新型可持续且环境友好的能源已成为科学研究和工业界迫切关注的议题。氢气(H2)作为一种清洁的可再生能源受到了广泛的关注,然而氢气的储存与运输问题——需在高压状态下或极低温度下液化——对其在未来能源系统中的广泛应用提出了显著挑战。甲醇含氢量高(可达12.6 wt% 或99.8 g L−1),其在催化剂作用下可以和水通过重整反应实现即时制氢,被视为最具潜力的液态储氢载体之一。在此背景下,高效甲醇重整产氢催化剂的设计开发和机理研究成为该领域的研究重点。在机理研究方面,通常采用的核磁、红外等谱学手段可以很好地获取反应中间产物的信息,但对于研究这些中间体与催化剂如何相互作用有一定的局限性。因此,综合采用更多的实验手段和理论研究进行全局性的催化机理研究将有助于获取更多的反应过程细节以及催化剂的优化改进,这也是当前该领域研究的重要难点和挑战之一。
文章亮点
双氮杂环卡宾Ru配合物首次被应用于甲醇重整产氢反应(APRM),并在低温下(<100 ℃)展现出优良的催化效果。
采用高分辨率质谱技术从反应液中获得了催化过程中丰富的中间体结构,并据此与其它波谱学数据构建了清晰的催化反应过程。结合密度泛函理论(DFT)计算,实现了对该反应机理的全局性研究。
最优催化剂配体骨架中的亚甲基(-CH2)对于催化反应非常重要,其在碱性条件下脱氢后造成吡啶骨架的脱芳香化,形成了真正的反应活性物种。
图文解读
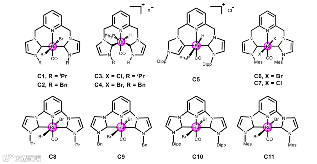
本文设计合成了两类双氮杂环卡宾(NHC)Ru(II)配合物C1−C11(图1)。第一类配合物为基于2,6-lutidine骨架的含不同取代基的双NHC钳形配体(C1−C7),第二类配合物为基于2,6-pyridine骨架的双NHC钳形配体(C8−C11)。所有配合物均通过单晶X射线衍射确定了其结构,并通过1H、13C NMR和元素分析(CHN)等确定了其纯度。实验表明这11个催化剂均可以催化甲醇水相重整催化制氢(APRM)且催化性能C7 ≈ C6 > C10 > C2 ≈ C1 > C11 > C9 > C3 ≈ C8 > C4 > C5。我们发现,当取代基和结构类似时,2,6-lutidine连接的双NHC配体的Ru(II)配合物展现出了较优的产氢性能,这一发现表明双NHC配体中的亚甲基发挥了重要作用。随后我们对性能最好的配合物C7进行了反应条件的优化和机理研究。在最优的反应条件下持续反应164 h后,反应的催化转化数值达到了14564,平均TOF为89 h−1,且生成的氢气纯度很高。这些结果使C7成为贵金属体系中性能优良的甲醇重整产氢均相催化剂。
图1. 双NHC钳形Ru(II)配合物C-1~C-11
首先,我们通过动力学同位素效应(KIE)实验探索了催化机理的初步探索。当使用D2O替代H2O时,观察到的KIE相对较小,为1.14,而将CD3OD与H2O/D2O结合使用时,KIE显著增大,分别达到4.07和4.86。这些数据表明甲醇在整个反应过程中扮演着速率决定步骤的角色,可能涉及到C−H或O−H键的断裂。进一步地,使用CH3OD和CD3OH进行测试得到的KIE分别为1.03和2.85,进一步证明了反应动力学过程中C−H键的断裂是反应的决速步骤。为了深入理解催化反应过程,我们对反应液进行了高分辨率电喷雾电离质谱(HRESI-MS)测试,通过分析识别出了多个可能的中间体I-1至I-7(图2)。作为对比,我们对未加热的反应液也进行了质谱分析,发现了四种新的中间体I-8至I-11。分析表明实验值与理论值具有很高的吻合度,m/z误差均小于3 ppm。这些丰富的中间体信息极大地加深了我们对催化反应全过程的理解。基于这些中间体信息,我们提出了一个关键的活性物种[Ru(Lmes−H)(H)(CO)](I),配体中一个亚甲基脱氢后吡啶骨架形成了脱芳香化和芳香化的共振结构,而其中的脱芳香化结构具有催化活性,与经典的Milstein催化剂体系类似。随后的密度泛函理论(DFT)计算表明整个催化过程中同时存在内球(inner-sphere)和外球(outer-sphere)反应机理。甲醇和脱氢后形成的甲二醇负离子经过外球机理脱氢逐渐形成了甲酸物种,其在反应的强碱性条件下以甲酸钾的形式存在。因此,在最后一步脱氢中,甲酸根在甲醇的辅助下通过内球机理进行脱氢反应,但是该步骤的反应能垒较高,反应进行的程度较低。我们通过定量实验、核磁以及气相色谱等手段进一步证实了该结论。

图2. 反应液HRESI-MS中间体的理论和实验m/z值
结合实验及理论结果,我们提出了相应的催化机理图 (图3)。活性物种I(这里标示为A)与甲醇分子通过外球机理进行相互作用形成过渡态B,经脱氢过程后形成配合物C和HCHO。随后, C释放第一分子H2与甲二醇负离子(甲醛与氢氧根反应生成)通过外球机理相互作用形成过渡态D。D释放一分子HCOO−后再次生成C,随后C释放出第二分子H2,并在一个甲醇分子的辅助下与甲酸根相互作用生成过渡态E。最后,E通过脱羧反应再次形成C,C释放出第三分子H2并重新形成活性物质I,至此完成了整个催化循环。

图3. C7催化甲醇重整产氢反应的机理图
总结与展望
本文制备了一系列的双氮杂环卡宾钌配合物并首次探索了其在甲醇重整产氢反应中的应用,实验表明配体骨架及取代基的选择对于催化性能具有重要的影响。该工作通过高分辨质谱技术获取了大量的催化反应中间体的详细信息,结合核磁共振波谱和理论计算研究构建了清晰完整的催化反应过程和机制,并据此建立了催化反应的全貌。这种综合采取多种技术手段来构建清晰明确的催化机理的策略,将为未来理性设计甲醇重整产氢催化剂提供一些新的思路。
通讯作者介绍:
秦雷
秦雷,副研究员,2017年博士毕业于西安交通大学(导师:郑彦臻教授),西安交通大学优秀博士论文(2020)和陕西省优秀博士论文(2021)获得者。2018年加入南方科技大学,先后获评 “校长卓越博士后”称号和入选“深圳市高层次人才后备人才”。研究方向为稀土团簇化学以及液态有机氢载体高效产氢催化剂的设计合成。目前在J. Am. Chem. Soc.、Angew. Chem. Int. Ed.、Adv. Mater.、Matter和ACS Catal.等期刊发表学术文章30余篇,获授权专利两项。主持国家自然科学基金青年基金等项目多项。
余沛源
余沛源,2012年本科毕业于新加坡南洋理工大学,2017年在美国加州大学洛杉矶分校获得博士学位 (导师: Kendall N. Houk 教授),2017至2019年在美国劳伦斯伯克利国家实验室从事博士后研究工作,2019年9月加入南方科技大学化学系,研究方向为理论与计算有机化学。截至目前共发表研究论文80余篇,其中以第一 (含同等贡献) 或通讯作者发表论文40余篇,包括 Science、Nat. Catal.、Nat. Commun.、J. Am. Chem. Soc.、Angew. Chem. Int. Ed.等。主持国家自然科学基金、广东省基础与应用基础研究基金等项目多项。
郑智平
郑智平,英国皇家化学会会士,南方科技大学讲席教授、鹏城孔雀特聘教授。于 1987 和 1990 年分获北京大学学士与硕士学位,1995 年获加州大学洛杉矶分校博士学位(导师:M. Frederick Hawthorne 教授),随后在哈佛大学 Richard H. Holm 教授的指导下从事博士后研究,并于 1997 年受聘亚利桑那大学,历任化学与生物化学系助理教授、副教授、教授及科研与人事副系主任。2017 年 7 月受聘南方科技大学。研究兴趣为过渡金属以及稀土元素功能配合物的设计与合成、性质探索以及材料应用,截至目前发表论文 170 余篇。
扫描二维码阅读英文原文
ACS Catal. 2024, 14, 5, 3434–3445
Publication Date: February 17, 2024
https://doi.org/10.1021/acscatal.3c06138
Copyright © 2024 American Chemical Society
点击“阅读原文”
你“在看”我吗?

