搜索
首页
大数快讯
大数活动
服务超市
文章专题
出海平台
流量密码
出海蓝图
产业赛道
物流仓储
跨境支付
选品策略
实操手册
报告
跨企查
百科
导航
知识体系
工具箱
更多
找货源
跨境招聘
DeepSeek
首页
>
【有机】通过自由基串联策略发散式合成海洋天然产物Scabrolide A和Havellockate
>
0
0
【有机】通过自由基串联策略发散式合成海洋天然产物Scabrolide A和Havellockate
X-MOL资讯
2024-05-16
2
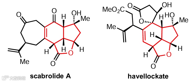
导读:西湖大学理学院胡鹏飞课题组利用高效的自由基串联环化,通过一个共同中间体,完成两个天然产物scabrolide A和havellockate的发散式合成
带有高度官能团化的中心环系的合成一直是天然产物全合成的挑战之一,并催生了许多高效的合成策略和合成方法学。而呋喃丁烯内酯(降)西松烷型二萜就是一类典型的带有全官能团化6/7元中心环系的天然产物。该族化合物以其独特的高张力碗状结构及多样的生物活性(抗肿瘤、抗炎、细胞毒性等),成为了近年来合成化学家的热点研究对象。此前的8个合成工作均依靠双电子反应构建其核心环系,且每条路线均只能制备一个化合物。近日,
西湖大学理学院胡鹏飞
课题组
利用高效的自由基串联环化,通过一个共同中间体,完成两个天然产物scabrolide A和havellockate的发散式合成
;并与
浙江大学洪鑫
课题组合作,通过计算初步揭示了
关键自由基串联反应中少见的6-
endo
选择性来源于分子结构的刚性和张力。
图1. 天然产物scabrolide A和havellockate的结构
作者首先由商业可得的芳樟醇出发,经过六步转化,制备自由基串联反应的前体化合物
1
。在经典的AIBN,
n
-Bu
3
SnH自由基引发条件下,首先发生两次5-exo自由基环化反应,得到烯基自由基中间体
2
,再经过一步6-endo自由基加成,得到四环的关键中间体
3
。为了便于化合物的分离纯化(化合物
3
中经常伴随难以除去的有机锡杂质),可以经过一锅法的Fleming-Tamao氧化,以52%的收率得到二醇中间体
4
。该反应形成了2个环、3根键和3个连续的手性中心,一步从简单易得的原料,高效地构建了天然产物共有的碗状5-5-6刚性三环骨架。同时反应能够在超过10 g量顺利进行,一次性能制备超过3 g的中间体
4
。随后两步反应,可以将
4
转化成合成的共同中间体
5
。
图2. 通过高效的自由基串联反应构建共同中间体
5
共同中间体中的烯基碘和共轭烯酮的结构为后续的转化提供了合适的起点。作者首先经Stille偶联反应,引入scabrolide A分子中剩余的所有碳原子,再经过一步官能团转化,得到关环的前体
8
。作者仔细筛选了大量自由基和阴离子环化的条件,最终发现Zn/CuI是唯一能够实现环化的组合。值得注意的是,使用氘水作为共溶剂能够有效地抑制脱碘的副产物生成,同时提高环化的产率,且氘带的产物不影响后续转化。最终再经过氧化态的调整和烯烃异构化,实现了scabrolide A的合成。同样从中间体
5
出发,Stille偶联反应可以引入烯丙醇基团得到中间体
10
。再经过Johnson-Claisen重排和氧化态调整即可制得中间体
11
。最终经5步转化可以完成天然产物havellockate的合成。
图3. 天然产物scabrolide A和havellockate的发散性合成
最后,作者对这一高效的自由基串联环化步骤进一步进行了研究,发现该反应拥有非常好的官能团兼容性,无论是将缩醛转化为醚、内酯,还是用不同官能团取代的底物,都能以较好的收率得到相应产物,尤其是环丙烷取代的炔烃也能很好的兼容,而不会发生自由基开环反应。DFT计算也佐证了这一实验结论。进一步的计算研究表明,自由基中间体(
INT1
)的刚性三环骨架是6-endo选择性的关键因素。
图4. 自由基环化反应机理研究
这一成果近期发表在
Journal of American Chemical Society
上。文章的共同第一作者是西湖大学的博士研究生
彭辰
、博后
郭全平
和浙江大学的博士研究生
徐国雄
。
原文(扫描或长按二维码,识别后直达原文页面):
Divergent Synthesis of Scabrolide A and Havellockate via an
exo-exo-endo
Radical Cascade
Chen Peng, Quanping Guo, Guo-Xiong Xu, Luqiong Huo, Weilin Wu, Tian-Yi Chen, Xin Hong, Pengfei Hu
J. Am. Chem. Soc.
,
2024
, DOI: 10.1021/jacs.4c03995
胡鹏飞课题组
https://hulab.org/
点击“
阅读原文
”,查看
化学 • 材料
领域
所有收录期刊
【声明】内容源于网络
0
0
X-MOL资讯
“X-MOL资讯”隶属于X-MOL学术平台(官网x-mol.com),关注化学、材料、生命科学、医学等领域的学术进展与科研前沿,提供专业与深度的内容。公众号菜单还提供“期刊浏览”等强大功能,覆盖各领域上万种期刊的新近论文,支持个性化浏览。
内容
19833
粉丝
0
关注
在线咨询
X-MOL资讯
“X-MOL资讯”隶属于X-MOL学术平台(官网x-mol.com),关注化学、材料、生命科学、医学等领域的学术进展与科研前沿,提供专业与深度的内容。公众号菜单还提供“期刊浏览”等强大功能,覆盖各领域上万种期刊的新近论文,支持个性化浏览。
总阅读
11.7k
粉丝
0
内容
19.8k
在线咨询
关注