搜索
首页
大数快讯
大数活动
服务超市
文章专题
出海平台
流量密码
出海蓝图
产业赛道
物流仓储
跨境支付
选品策略
实操手册
报告
跨企查
百科
导航
知识体系
工具箱
更多
找货源
跨境招聘
DeepSeek
首页
>
JACS“编辑良择”:内螺氮硼烯(HAB)——具有显著手性光学特性的新型螺旋分子碳
>
0
0
JACS“编辑良择”:内螺氮硼烯(HAB)——具有显著手性光学特性的新型螺旋分子碳
X-MOL资讯
2024-08-18
2
导读:香港大学刘俊治团队在深入研究的基础上提出了一类全新的螺旋结构,其中螺旋内缘的碳原子完全被交替的BN原子取代,命名为“内螺氮硼烯(heli(aminoborane)s,HABs)”
螺旋是宇宙星系中存在的基本宏观结构之一,也是拓扑分子结构中可观察到最简单的微观形状之一。具有稳定结构的刚性螺旋在自然界中普遍存在,例如DNA螺旋等。化学家长期致力于人工合成螺旋结构以探索自然奥秘。螺烯是一类芳环彼此以邻位稠合的方式形成具有螺旋结构的多环芳烃,由Weitzenböck和Lieb于1913年首次合成。一个多世纪以来,螺烯分子一直激发着化学家的好奇心,不断挑战合成各种螺烯结构并研究其独特的性质。特别是在过去几十年,螺烯化学得到了快速发展,在不对称催化、非线性光学、自旋过滤器、超分子组装、分子识别、分子开关、分子机器和光电器件等领域得到了广泛的研究,在材料科学和纳米电子学领域具有重要的应用。
近年来,圆偏振发光(CPL)在三维显示、数据存储加密、量子通信、生物成像等领域的应用日益受到关注。螺烯因其固有的手性和光学活性,无需使用复杂的器件结构和圆偏振滤光片即可直接产生CPL,在相关的应用中极具前景。高效的CPL检测器或发射器要求材料具有显著的圆偏振光吸收不对称因子(
g
abs
)和发光不对称因子(
g
lum
)以及较高的发光量子产率(
Φ
PL
)。迄今为止报道的大多数螺烯及衍生物的
g
因子(
g
abs
和
g
lum
)都在1
0
-3
左右。为了提高
g
值,化学家通过复杂的有机合成开发了“膨胀”和“扩展”螺烯(图1a)。目前报道的“膨胀”[23]螺烯(图1a,
B
)显示出最大的
g
abs
(0.056),然而该分子不发光。此外,有研究表明对螺烯同时横向和纵向π扩展可提高
g
lum
,目前报道的扩展十五苯并[9]螺烯(图1a,
C
)具有最大的
g
lum
(0.045),但其
g
abs
较低且发光很弱。合成这些复杂的“超级螺烯”同时提高
g
abs
和
g
lum
是非常困难的,而实现高的发光效率在理论上更具挑战。与此同时,为了提高发光效率,在螺旋骨架中掺入硼(B)和氮(N)原子近年引起了研究者的关注,因为BN基团可以调节分子的前线轨道分布,显著改善
Φ
PL
。例如,引入具有多重共振热激活延迟荧光(MR-TADF)效应的BN多环芳烃通常可实现高
Φ
PL
。然而目前报道的具有MR-TADF效应的螺烯分子
g
因子普遍很低,均在1
0
-3
量级。例如BN双[7]螺烯(图1b,
E
)的
Φ
PL
值达到100%,但
g
lum
仅0.002。因此,合理的设计和合成高不对称因子和发光效率平衡的新型螺烯衍生物一直是领域内的难题。通过精细调节螺烯BN掺杂的位置和数量可能会解决这一问题。目前大多数的研究都是对螺烯外围骨架进行修饰与掺杂,然而对于螺烯内缘修饰的例子非常之少,这主要是由于合成的挑战。
图1. 分子设计概念。(a)具有代表性的螺烯、“膨胀”螺烯和“扩展”螺烯。(b)具有代表性的BN杂螺烯。(c)本文提出的
HABs
和π-扩展
HABs
结构。(d)本文合成并研究的
HABs
分子:
[8]H
AB
和
[10]
HAB
。
香港
大学刘俊治
团队在深入研究的基础上提出了一类
全新的螺旋结构,
其中
螺旋内缘的碳原子完全被交替的BN原子取代
,命名为“
内螺氮硼烯(heli(aminoborane)s,HABs)
”(图1c)。为了获得稳定的结构片段,作者设计了一种苯并扩展的
HABs
结构。通过逆向合成分析,开发了一种收敛型的级联硼化方法,高效合成出了两种新型
HABs
螺旋分子碳(
[8]HAB
和
[10]HAB
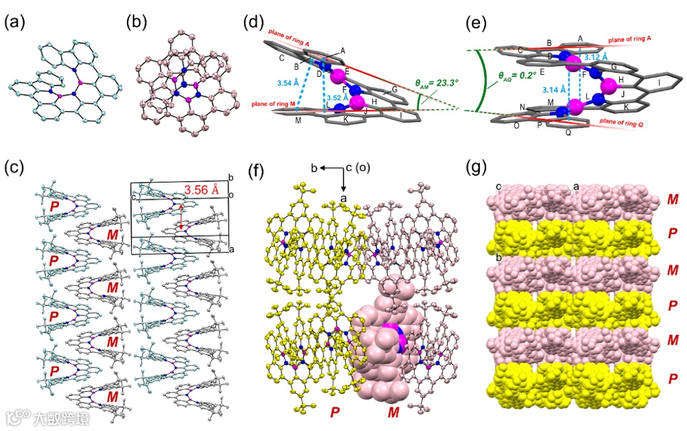
)。通过X射线单晶衍射证实了该结构具有8和10个邻位稠合的共轭环,其中螺旋内缘由交替的BN原子构成(图1d)。作者对
HABs
分子的键长、键角、拓扑结构和手性堆积方式进行了研究和分析,发现
HABs
结构比纯碳的分子骨架具有更大的螺旋直径,
[10]HAB
相比于
[8]HAB
具有更显著的螺旋内π−π相互作用,具有典型的双层结构,这有助于电子通过空间共轭实现层间传递。通过理论计算,发现
[8]HAB
和
[10]HAB
的π轨道主要定位于螺旋的外缘,这证实了交替掺杂的BN内缘具有弱共轭性,螺旋外环显示出明显的芳香性特征,而掺杂BN的内环具有弱芳香性。由于N和B原子在螺旋内缘的交替掺杂和给受体效应,使得前线分子轨道具有较小的重叠积分。电化学和光物理表征证实了
HABs
的这种特殊电子结构,
[10]HAB
相比于
[8]HAB
由于更大的螺旋π扩展和更广泛的层间重叠,具有更低的氧化电势和更强的给电子特性,其发射峰更红移。两个分子均表现出窄的蓝光发射和中等的发光量子产率。
图2.
[8]HAB
和
[10]HAB
的合成路线和单晶结构。
作者计算了
[8]HAB
和
[10]HAB
的异构化势垒分别达到了46.9和40.6 kcal/mol,进而通过手性高效液相色谱拆分后获取了分子的手性对映异构体(
P
和
M
),并对其进行了圆二色性(CD)和圆偏振发光性能(CPL)的表征。所有对映异构体在紫外到蓝光区均表现出强烈的科顿效应,其CD谱响应波长随螺旋数目的增加而逐步红移,
[8]HAB
和
[10]HAB
的
g
abs
分别高达0.036(407 nm)和
0.061
(427 nm)。与CD谱类似,CPL光谱呈现完美的镜像关系,具有高信噪比,
[8]HAB
和
[10]HAB
的
g
lum
分别高达0.024(409 nm)和
0.048
(430 nm)。
该两项重要的手性性能指标(
g
abs
和
g
lum
)均创下了螺烯类分子的最高记录。
图3.
[8]HAB
和
[10]HAB
的手性光学性质。(a)CD光谱。(b)|
g
abs
| 值曲线。(c)CPL发射光谱。(d)
g
lum
值曲线。
最后,作者通过密度泛函理论计算了
HABs
分子在基态(
S
0
→S
1
)和激发态(
S
1
→
S
0
)的电跃迁偶极矩(
μ
)和磁跃迁偶极矩(
m
),以及这两个矢量间的夹角
θ
,深入剖析了
HABs
分子体系拥有高
g
因子的根源。根据简化公式
g
≈ 4cos
θ
|
m
|/|
μ
|,增大|m|和|cos
θ
|,减小|μ|,可以获得高
g
值。相比于碳螺烯,引入交替的BN原子在螺旋的内缘可以显著提高|m|且同时降低|μ|,因此
HABs
分子相比纯碳分子骨架拥有更高的
g
因子。随着BN数量和螺旋数量的增加,
[10]HAB
相比于
[8]HAB
可以保持|m|,降低|μ|,并且调整
μ
和
m
的夹角至几乎反平行排列,获得了最大的|cos
θ
|,最终实现了
g
因子的进一步提升。
小结
该研究不仅为纳米分子碳家族添加了新的成员(
HABs
),同时为设计综合性能优异的手性分子材料提供了独特的见解。
HABs
分子体系有望表现出优异的光电特性并应用于材料科学和纳米电子学领域。相关工作近期发表在
Journal of the American Chemical Society
上,并入选“
ACS Editors' Choice
(ACS编辑良择)”。香港大学化学系博士后研究员
余洋
博士为文章第一作者,
刘俊治
教授为通讯作者。
原文(扫描或长按二维码,识别后直达原文页面):
Benzo-Extended Heli(aminoborane)s: Inner Rim BN-Doped Helical Molecular Carbons with Remarkable Chiroptical Properties
Yang Yu, Chang Wang, Faan-Fung Hung, Chen Chen, Ding Pan, Chi-Ming Che, and Junzhi Liu*
J. Am. Chem. Soc.
,
2024
,
146
, 22600-22611. DOI: 10.1021/jacs.4c06997
导师介绍
刘俊治
https://www.x-mol.com/groups/liulabhku
点击“
阅读原文
”,查看
化学 • 材料
领域
所有收录期刊
【声明】内容源于网络
0
0
X-MOL资讯
“X-MOL资讯”隶属于X-MOL学术平台(官网x-mol.com),关注化学、材料、生命科学、医学等领域的学术进展与科研前沿,提供专业与深度的内容。公众号菜单还提供“期刊浏览”等强大功能,覆盖各领域上万种期刊的新近论文,支持个性化浏览。
内容
19833
粉丝
0
关注
在线咨询
X-MOL资讯
“X-MOL资讯”隶属于X-MOL学术平台(官网x-mol.com),关注化学、材料、生命科学、医学等领域的学术进展与科研前沿,提供专业与深度的内容。公众号菜单还提供“期刊浏览”等强大功能,覆盖各领域上万种期刊的新近论文,支持个性化浏览。
总阅读
1.6k
粉丝
0
内容
19.8k
在线咨询
关注