大数跨境
0
0

北京大学雷晓光团队:复杂天然产物化学酶法全合成的巅峰之作

北京大学雷晓光团队:复杂天然产物化学酶法全合成的巅峰之作 X-MOL资讯
2024-06-26
0
导读:北京大学雷晓光团队创新性地利用化学酶法策略,巧妙地化解了“如何实现高度选择性及后期连续氧化修饰”这一合成难题,完成了具有重要抗肿瘤、抗生素活性天然产物alchivemycin A的首次不对称全合成。


天然产物因其结构的独特性与多样性,一直以来都是药物研发的重要宝库,有超过一半的小分子药物直接或间接的与天然产物相关。另一方面,天然产物结构的复杂性以及来源的局限性在很大程度上限制了其进一步的开发,因此发展有效的合成方法与策略来实现复杂天然产物高效合成是十分必要的。

2024年6月25日,北京大学雷晓光团队在Nature Synthesis 杂志上发表研究论文,创新性地利用化学酶法策略,巧妙地化解了“如何实现高度选择性及后期连续氧化修饰”这一合成难题,完成了具有重要抗肿瘤、抗生素活性天然产物alchivemycin A的首次不对称全合成。

图1. Alchivemycin A具有独特和复杂的化学结构

Alchivemycin A是一种从植物来源放线菌的链霉菌TP-A0867的培养液中分离得到的新型聚酮类天然产物,拥有优异的抗菌和抗肿瘤活性。Alchivemycin A的结构中含有非常独特的2H-tetrahydro-4,6-dioxo-1,2-oxazine (TDO) 杂环结构,这种杂环结构是非常重要的药效团,并且在天然产物中前所未见。除此之外,alchivemycin A中还含有多羟基的十七元大环的结构,以及高度官能团化的顺式氢化萘的片段。Alchivemycin A结构的复杂性给它的合成带来了巨大的挑战(图1)。雷晓光课题组已经报道了许多有关于alchivemycin A的合成研究的工作,包括顺式氢化萘片段的构建、TDO杂环的合成方法学以及多羟基侧链片段的合成,并且也对alchivemycin A的化学全合成进行了许多尝试,然而很遗憾的是这些路线都未能成功。不难看出,对于alchivemycin A的合成的最大的挑战,在于在如此复杂的底物中完成对于TDO杂环的构建,这不仅涉及到化学合成TDO杂环的高难度,也是对于复杂底物的官能团兼容性的严苛考验。

图2. 基于化学酶法策略的逆合成分析

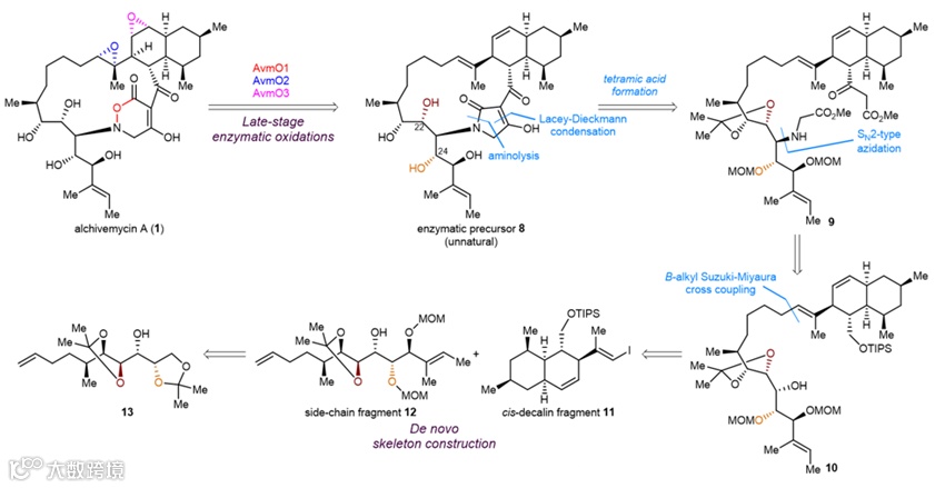
另一方面,与传统化学合成相比,酶催化在简化复杂天然产物合成方面具有独特的潜力,尤其是在生物信息学、遗传学和酶工程领域的日新月异进展的推动下,酶催化与化学手段相结合的化学酶法合成策略正在被广泛应用。雷晓光课题组不仅在传统化学合成领域建树颇多,在化学酶法合成领域也成果斐然(Nat. Chem. 2020, 12, 620-628, 点击阅读详细Nat. Catal. 2021, 4, 1059-1069, 点击阅读详细Chem. Catal. 2023, 3, 100451, 点击阅读详细)。考虑到许多基于化学酶法策略的天然产物合成的例子都与天然产物生物合成途径中的酶息息相关,雷晓光课题组受到南京大学戈惠明课题组报道的alchivemycin A的生物合成途径的启发,开发了以后期酶法连续选择性氧化和前期化学催化实现从头骨架构建为核心的化学酶法合成的策略来完成对于alchivemycin A的全合成。该策略的核心思想认为利用生物合成途径中的AvmO1氧化酶构建出关键的TDO杂环的酶法合成是巧妙解决alchivemycin A晚期高度选择性氧化合成难题的关键。

Alchivemycin A的逆合成分析可以分为后期酶法氧化以及从头骨架构建(图2):alchivemycin A可以由含有tetramic acid结构的非天然酶底物8经由AvmO2和AvmO3介导的环氧化反应以及AvmO1介导的Baeyer-Villiger氧化反应来合成,值得一提的是,目前还没有报道的化学方法能够将tetramic acid的酰胺键直接进行Baeyer-Villiger氧化来构建TDO杂环;化合物8的合成可以从化合物9经过分子内胺解反应介导的大环内酰胺化以及Lacey-Dieckmann缩合反应来实现;化合物9可以逆推至化合物10,而化合物10可以从已知的顺式氢化萘烯基碘片段11和侧链片段12通过Suzuki-Miyaura偶联反应来制备;最后,侧链片段12可以逆推至已知化合物13

图3. 侧链片段12的合成

从已知化合物13出发,首先将裸露的羟基用PMB进行保护,得到化合物14,接着在醋酸的条件下选择性脱除位阻小的一侧的缩酮保护基,得到化合物15。随后选择性在一级醇上连上乙酰基得到化合物16,接着将二级醇用TBS进行保护得到化合物17,然后使用DIBAL-H将一级醇上的乙酰基切除得到化合物18。接下来将化合物18用DMP试剂氧化为相应的醛,随后使用烯基锂试剂进攻,脱除TBS保护基后得到化合物20。最后将20中的两个羟基用MOM进行保护,随后使用DDQ对PMB保护基进行脱除,得到侧链片段12(图3)。

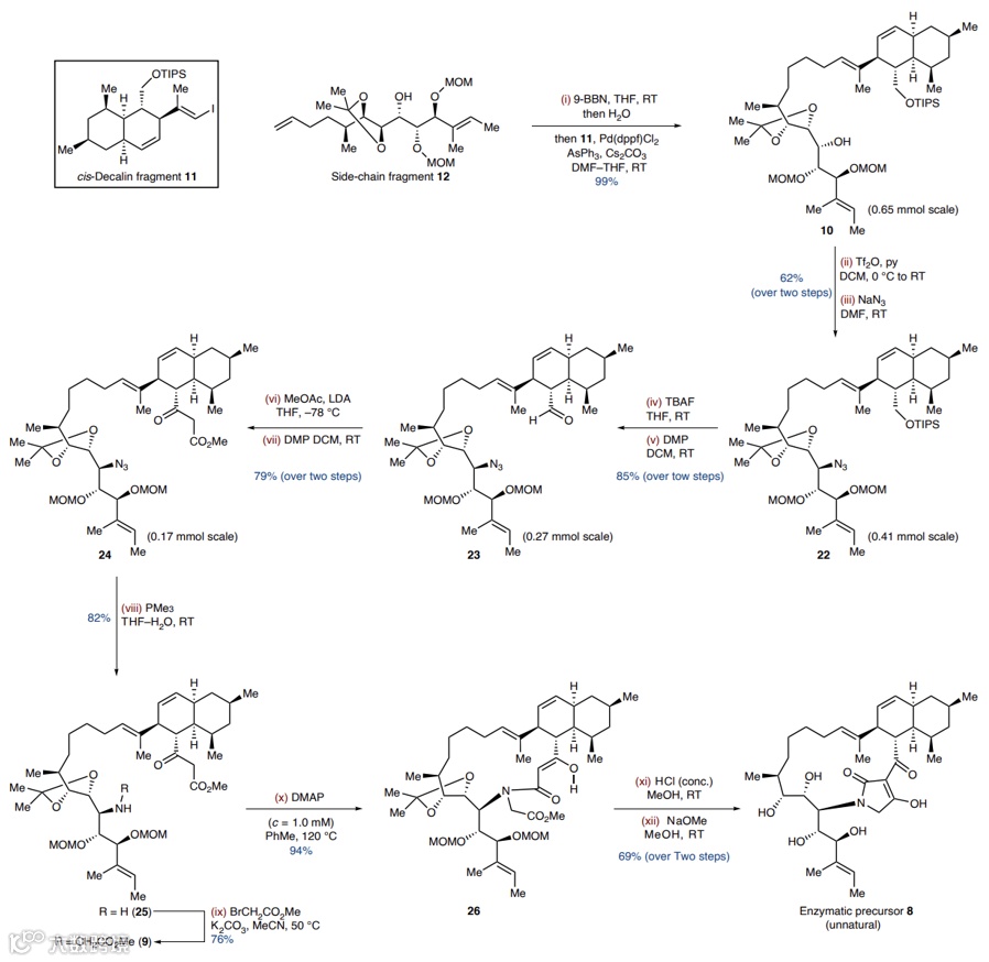
在得到侧链片段12后,将其与已知的顺式氢化萘烯基碘片段11进行烷基硼介导的Suzuki-Miyaura偶联反应,能够以99%的产率得到化合物10。随后需要对化合物10中的二级醇羟基进行SN2型的叠氮化反应以实现构型的翻转,在尝试Mitsunobu反应失败后,作者发现可以利用Tf2O活化羟基形成相应的三氟甲磺酸酯,并与叠氮化钠进行SN2反应,能够顺利得到叠氮化产物22。接下来,脱除TIPS保护基后,利用DMP试剂氧化得到相应的醛23。随后,利用aldol反应和DMP氧化反应能够顺利得到β-羰基酯24。在使用小位阻的三甲基膦对叠氮进行Staudinger还原得到化合物25后,与溴乙酸甲酯在温和加热的条件下得到单取代产物9。在得到化合物9后,利用DMAP介导的分子内胺解反应,可以顺利实现大环内酰胺化,以94%的收率得到大环内酰胺产物26。最后,在使用盐酸脱除全局的保护基后,无需纯化,可直接利用甲醇钠作为碱进行Lacey-Dieckmann缩合反应,可以得到含有tetramic acid结构的非天然酶法底物8(图4)。

图4. 非天然酶法底物8的汇聚式化学合成

在得到非天然酶法底物8之后,便可着手开始最后的酶法氧化的探究。作者首先对于三种氧化酶的反应顺序进行了探究,发现当且仅当以AvmO3-AvmO2-AvmO1的反应顺序进行时,能够监测到最终天然产物alchivemycin A的生成。AvmO3能够高效的将非天然底物8转化为相应的环氧化产物28,而同样作为非天然底物的28能够接着被AvmO2高效的转化为相应的双环氧化产物30。然而遗憾的是,作为AvmO1的非天然底物的30却并不能够被AvmO1高效的转化为alchivemycin A,其LC-MS产率仅为6%。相比于AvmO1的天然底物,化合物30在C-22上多了一个羟基,这会改变大环的构象,从而影响AvmO1对底物的识别。尽管在AvmO1反应pH值、缓冲液盐浓度等条件上做了进一步的优化,但该反应的效率仍然不够理想,存在酶的用量大、转化率不高等问题。

为了进一步提高AvmO1介导的最后一步的反应效率,基于理性设计的蛋白质改造是必要的。生信分析结果表明,AvmO1属于O型Baeyer-Villiger单加氧酶(BVMOs),作者利用Consensus Finder网站挖掘827个同源蛋白序列并通过共识序列分析对AvmO1进行理性设计,构建了将AvmO1的固有残基突变为对应的共有残基的11个单位点突变体。突变体的体外酶活实验表明AvmO1_Y282R突变体能够将对非天然底物30的活性提升至5倍以上,在野生型AvmO1只有20%转化率的相同条件下,AvmO1_Y282R可以实现化合物30到alchivemycin A的完全转化。而在这827个同源蛋白中有97%的蛋白在该位点都是精氨酸,通过分子对接以及分子动力学模拟以及与同源蛋白进行结构比对探究活性提高机制,表明将282号位的酪氨酸突变为带正电的精氨酸有利于辅因子NADH的结合从而提升催化活性。在得到了优化后的突变体AvmO1_Y282R后,结合表面活性剂TPGS-750-M的使用,能够在保证底物完全转化的前提下进一步降低酶的用量。最终,使用优化后的条件,化合物8在1 mol% AvmO3、1 mol% AvmO2的催化下,能够以每步超过90%的分离收率实现两个环氧基团的高立体选择性和高区域选择性的构建,从而得到化合物30;化合物30在2 mol% AvmO1_Y282R的催化下,能够以85%的分离收率得到最终的天然产物alchivemycin A(图5)。

图5. 酶法合成alchivemycin A

总结来说,该工作利用化学酶法的策略完成了复杂天然产物alchivemycin A的首次全合成。该工作的一大亮点是利用汇聚式化学合成的策略,使用烷基硼介导的Suzuki-Miyaura偶联、大环内酰胺化以及Lacey-Dieckmann缩合等关键反应,完成了含有tetramic acid结构的复杂非天然酶底物8的精准合成。而AvmO3和AvmO2这两种氧化酶的使用,则可以实现天然产物中两个环氧基团的高立体选择性和高区域选择性的后期构建。该工作的另一大亮点,是利用基于理性设计的蛋白质工程策略,完成了对于野生型AvmO1的改造,得到了改造后的突变体AvmO1_Y282R,并使用该突变体实现了对于非天然底物催化活性的大幅提升,并显著提高了最终合成alchivemycin A的效率。不难看出,即便是在简单底物上直接以Baeyer-Villiger反应氧化酰胺键从而实现tetramic acid杂环到TDO杂环的转化,使用化学手段也几乎是难以做到的,更不用说是在如此复杂且没有保护基的底物上做精准的后期氧化修饰,这更加彰显了最后一步中酶的重要作用。该工作凸显了后期酶法氧化的策略在高效合成具有高氧化态的复杂天然产物上的优势,并为未来利用化学生物学手段研究alchivemycin A的抗菌以及抗肿瘤的生物作用机制、开发新型药物分子奠定了坚实的基础。

该工作得到了国际学术界的高度关注,Nature Synthesis 杂志以“Total synthesis of alchivemycin A using a chemoenzymatic strategy”为专题将该论文作为重点推荐进行了评述报道。国际著名酶催化研究专家,美国德克萨斯大学Rudi Fasan教授评价该工作:“The overall work represents a tour de force in total synthesis that nicely illustrates the integration of chemical synthesis with enzymatic catalysis for the synthesis of complex molecules and provides a first total synthesis of this important natural product.”

该工作的共同第一作者为雷晓光团队博士研究生董浩然郭念昕;雷晓光团队其他成员胡大超洪本科博士、廖道红博士,以及南京大学戈惠明教授及其团队中朱宏杰博士和颜樟元也为该工作做出了贡献。雷晓光教授为该工作的通讯作者。该工作得到了国家重点研发计划、国家自然科学基金委员会、北京分子科学国家研究中心、北大-清华生命科学联合中心、新基石基金会等项目或单位的资助。雷晓光团队所开展的生物催化与化学酶法合成研究工作也得到了瑞士诺华制药公司的长期资助。

原文(扫描或长按二维码,识别后直达原文页面):
Chemoenzymatic total synthesis of alchivemycin A
Haoran Dong, Nianxin Guo, Dachao Hu, Benke Hong, Daohong Liao, Hong Jie Zhu, Zhang Yuan Yan, Hui Ming Ge & Xiaoguang Lei
Nat. Synth., 2024, DOI: 10.1038/s44160-024-00577-7

导师介绍
雷晓光
https://www.x-mol.com/groups/leigroup



点击“阅读原文”,查看 化学 • 材料 领域所有收录期刊

【声明】内容源于网络
0
0
X-MOL资讯
“X-MOL资讯”隶属于X-MOL学术平台(官网x-mol.com),关注化学、材料、生命科学、医学等领域的学术进展与科研前沿,提供专业与深度的内容。公众号菜单还提供“期刊浏览”等强大功能,覆盖各领域上万种期刊的新近论文,支持个性化浏览。
内容 19833
粉丝 0
X-MOL资讯 “X-MOL资讯”隶属于X-MOL学术平台(官网x-mol.com),关注化学、材料、生命科学、医学等领域的学术进展与科研前沿,提供专业与深度的内容。公众号菜单还提供“期刊浏览”等强大功能,覆盖各领域上万种期刊的新近论文,支持个性化浏览。
总阅读1.6k
粉丝0
内容19.8k