搜索
首页
大数快讯
大数活动
服务超市
文章专题
出海平台
流量密码
出海蓝图
产业赛道
物流仓储
跨境支付
选品策略
实操手册
报告
跨企查
百科
导航
知识体系
工具箱
更多
找货源
跨境招聘
DeepSeek
首页
>
【有机】南科大主族元素化学Angew:介离子硅宾
>
0
0
【有机】南科大主族元素化学Angew:介离子硅宾
X-MOL资讯
2024-11-17
0
导读:南方科技大学刘柳课题组长期致力于双亲主族分子的开发(卡宾及卡宾类似物)。近期,该课题组合成并表征了一例介离子硅宾,并系统研究了其丰富的化学性质。
介离子化合物是指结构上同时具有正负双偶极的杂环化合物,并且其正电荷和负电荷处于离域状态。介离子化合物无法用无形式电荷的常规共价结构表示(原子均符合八电子规则),也无法用一个共振式准确地描述。常见的悉尼酮(图1a)和介离子卡宾(图1b)属于典型的介离子化合物。相比于传统的氮杂环卡宾,介离子卡宾具有更强的σ给电性和较弱的π接受电子能力,已被广泛用作配体。近年来,中国人民大学闫晓宇课题组发展了一系列独特的介离子卡宾催化反应。
然而,介离子卡宾的主族元素类似物发展异常缓慢。迄今为止仅有锗、磷、硅的类似物。对于介离子硅宾的研究,仅有2022年Cameron J
ones
课题组偶然合成的一个双硅宾分子,含有一个介离子硅宾的结构单元(图1c)。介离子硅宾的发展受限于配体骨架的缺乏以及普适的合成方法。
图1. (a) 悉尼酮;(b) 氮杂环卡宾和介离子卡宾;(c) 双硅宾化合物
南方科技大学刘柳
课题组长期致力于双亲主族分子的开发(卡宾及卡宾类似物)。近期,该课题组
合成并表征了一例介离子硅宾,并系统研究了其丰富的化学性质
。相关成果发表于
Angewandte Chemie International Edition
,第一作者为南科大博士研究生
蓝小芳
,课题组博士生
王洪雨
和访问学者
梁球铭
助理教授(大湾区大学)参与了研究工作。
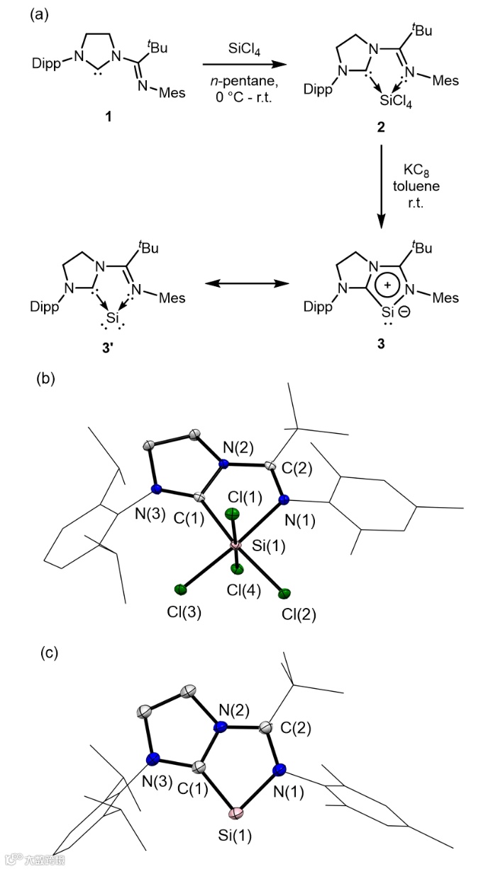
作者采用大位阻(Dipp取代)的亚氨基-氮杂环卡宾
1
与SiC
l
4
反应得到路易斯加合物
2
(
29
Si
: −191.8 ppm)(图2a)。化合物
2
再经过K
C
8
还原得到介离子硅宾
3
(
29
Si
: 33.1 ppm)。
图2. (a) 化合物
3
的合成;(b) 化合物
2
的晶体结构;(c) 化合物
3
的晶体结构
在介离子硅宾
3
的晶体结构中,Si(1)为二配位,呈弯曲构型,与卡宾碳C(1)和亚胺氮N(1)形成化学键(图2c)。值得注意的是
3
的Si(1)−C(1) (1.794(2) Å),Si(1)−N(1) (1.853(2) Å), C(1)−N(2) (1.390(2) Å), N(2)−C(2) (1.358(2) Å), C(2)−N(1) (1.349(2) Å)键长介于单双键之间,且
C
2
N
2
Si五元环趋于平面结构 (539.9°)。这些结构数据表明化合物
3
中的
C
2
N
2
Si五元环具有π电子离域的特性。
图3. 化合物
3
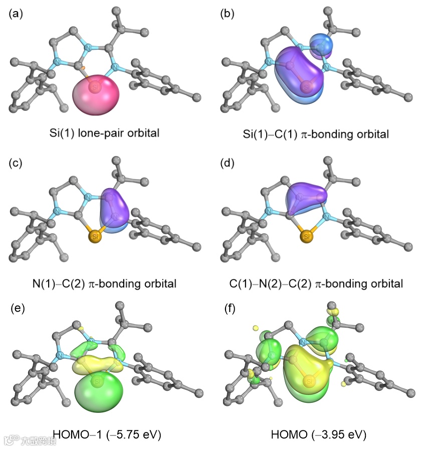
的内禀键和前线分子轨道分析
基于内禀键轨道(IBO)分析,化合物
3
的
C
2
N
2
Si五元环中除Si(1) 处有一对孤对电子外,还含有三个π键(图3)。化合物
3
的HOMO-1主要由Si(1) 的孤对电子构成,而HOMO由Si(1) 和C(1) 之间的π键构成。另外,化合物
3
的Si(1)−C(1)、C(1)−N(2)、N(2)−C(2)和C(2)−N(1)的Wiberg键级分别为1.17、1.09、1.22和1.32,证明
C
2
N
2
Si五元环具有多重键的性质,同时也佐证
C
2
N
2
Si五元环存在π电子离域。
紧接着,作者对化合物
3
的反应性进行了初步考察(图4)。首先,作者尝试对化合物
3
的配位化学进行研究,发现其可以与
Fe
2
(CO)
9
发生配位反应得到两分子Fe(CO
)
4
配位的络合物
4
,证明
3
具有零价硅化合物的性质(双亲核)。由于硅中心的富电性和潜在的双亲性,其可以与
S
8
发生氧化反应生成配体稳定的Si
S
2
化合物
5
。另外,化合物
3
与0.5倍当量的[IrCl(COD)
]
2
反应可以生成介离子硅宾-铱配合物
6
,随着反应
时间
的进行,其还可以转化为硅宾-铱配合物
7
。
图4. 化合物
3
与
Fe
2
(CO)
9
,
S
8
和[IrCl(COD)
]
2
的反应性
进一步地,化合物
3
可以与
Ph
2
Se
2
发生硅原子转移反应生成化合物
8
,而与P
h
2
T
e
2
则发生缩/扩环反应生成化合物
9
(图5)。最后,其与E
t
3
N•HCl发生骨架重排反应生成化合物
10
。计算化学表明,
3
中硅原子的潜在双亲性触发了化合物
10
的形成(详见原文)。所有产物都经过单晶结构表征。这些反应表明介离子硅宾
3
在合成独特的含硅杂环化合物方面具有巨大的潜力。
图5. 化合物
3
与Ph
2
Se
2
,P
h
2
T
e
2
和E
t
3
N•HCl的反应性
至此,作者发展了一类普适的介离子硅宾合成方法,完成了介离子硅宾
3
的合成与表征。目前,课题组正在积极拓展其他介离子卡宾类似物。敬请关注后续工作。
原文(扫描或长按二维码,识别后直达原文页面):
A Crystal
line
Me
soionic Diazasilole Featuring Low‐Valent Silicon
Xiaofang Lan, Hongyu Wang, Qiuming Liang, Liu Leo Liu
Angew. Chem. Int. Ed
.,
2024
, DOI: 10.1002/anie.202415246
导师介绍
刘柳
https://www.x-mol.com/groups/liuleoliu
点击“
阅读原文
”,查看
化学 • 材料
领域
所有收录期刊
【声明】内容源于网络
0
0
X-MOL资讯
“X-MOL资讯”隶属于X-MOL学术平台(官网x-mol.com),关注化学、材料、生命科学、医学等领域的学术进展与科研前沿,提供专业与深度的内容。公众号菜单还提供“期刊浏览”等强大功能,覆盖各领域上万种期刊的新近论文,支持个性化浏览。
内容
19833
粉丝
0
关注
在线咨询
X-MOL资讯
“X-MOL资讯”隶属于X-MOL学术平台(官网x-mol.com),关注化学、材料、生命科学、医学等领域的学术进展与科研前沿,提供专业与深度的内容。公众号菜单还提供“期刊浏览”等强大功能,覆盖各领域上万种期刊的新近论文,支持个性化浏览。
总阅读
1.6k
粉丝
0
内容
19.8k
在线咨询
关注