搜索
首页
大数快讯
大数活动
服务超市
文章专题
出海平台
流量密码
出海蓝图
产业赛道
物流仓储
跨境支付
选品策略
实操手册
报告
跨企查
百科
导航
知识体系
工具箱
更多
找货源
跨境招聘
DeepSeek
首页
>
【有机】钴催化1,3-二烯和醛的区域、立体选择性还原偶联
>
0
0
【有机】钴催化1,3-二烯和醛的区域、立体选择性还原偶联
X-MOL资讯
2024-09-16
1
导读:中国科学院上海有机化学研究所孟繁柯课题组一直致力于发展新型钴催化反应研究。
过渡金属催化的1,3-二烯和醛的区域选择性和对映选择性偶联,是从易得原料构建手性高烯丙醇和双高烯丙醇的一种直接且模块化的策略。Cu、Ru和Ir催化1,3-二烯和醛的反应,通常经过区域选择性的金属-氢加成进行,生成手性高烯丙醇。1,3-二烯和醛的偶联反应的另一种途径是低价过渡金属催化的氧化环化过程。此前,通过氧化环化实现不饱和烃与醛的不对称偶联的研究主要集中在镍催化的方法上。唯一一例钴催化的1,3-二烯和醛的对映选择性偶联是由RajanBabu及其同事开发,得到加氢酰化产物。在金属-亲核试剂与1,3-二烯加成过程中,如何克服1-取代1,3-二烯的底物控制偏向性,选择性生成高烯丙基金属中间体,随后与醛发生对映选择性加成生成双高烯丙醇,仍然是一个具有挑战性和未知的问题。
图1. 背景介绍
钴是一种廉价的低毒过渡金属,具有独特的反应活性,发展新型的钴催化反应具有重要的研究价值。
中国科学院
上海
有机化学研究所孟繁柯
课题组一直致力于发展新型钴催化反应研究。此前,他们已经报道了钴催化1,1-二取代联烯和醛的区域发散性和对映选择性还原偶联。与联烯相似,1-取代1,3-二烯具有多个反应位点以及复杂的区域和立体选择性问题。他们设想能否能通过对反应中配体的调整来实现钴催化通过氧化环化对1-取代的1,3-二烯和醛进行区域、非对映和对映选择性还原偶联,同时构建中心手性、轴手性以及含氘手性中心。
在建立好反应条件的基础上,以钴和双齿膦配体原位形成的络合物作为催化剂,对于给电子取代基和吸电子取代基、卤素、大位阻取代基、O、N、S杂环,反应具有优异的区域选择性、非对映以及对映选择性。除了共轭二烯,反应对于共轭三烯底物也能兼容。此外,降低反应
温度
,该反应还能实现潜轴手性二醛的去对称化反应,构建具有中心手性和轴手性的双高烯丙醇产物。值得一提的是,反应过程中的质子化过程是立体保持的,当使用氘水作为质子源时,反应还能实现含氘手性中心的控制。
图2. 部分底物拓展
为了进一步验证该反应的实用性,在标准条件下,苯甲醛和潜手性二醛均能实现克级放大。对双高烯丙醇的羟基、双键以及醛羰基进行简单的转化,证明了该反应产物的潜在转化能力。
图3. 官能团转化
最后,作者进行了机理实验并与华中师范大学的
张之涵
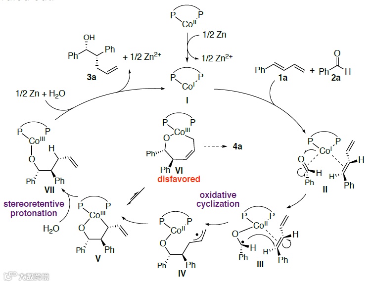
教授合作DFT计算,提出以下机理:二价钴被锌粉还原原位生成一价钴,一价钴络合物与1,3-二烯和醛配位,发生区域和对映选择性氧化环化,生成了五元金属环,随后C-Co键发生立体保持的质子化,然后再次被锌粉还原再生一价钴催化剂。
图4. 可能的机理
小结
本文报道了
钴催化的1,3-二烯与醛不对称还原偶联反应,模块化地并且立体选择性地制备了一系列对映纯的双高烯丙醇产物。
反应可以一步实现中心手性、轴手性以及含氘手性中心的构建。这一成果近期发表在
Angewandte Chemie International Edition
上,文章的第一作者是上海有机所博士研究生
王宇
。
原文(扫描或长按二维码,识别后直达原文页面):
Cobalt-Catalyzed Regio-, Diastereo- and Enantioselective Reductive Coupling of 1,3-Dienes and Aldehydes
Yu Wang, Danrui Wang, Shilin Wang, Qinglei Chong*, Zhihan Zhang*, Fanke Meng*
Angew. Chem. Int. Ed.
2024
, DOI: 10.1002/anie.202413313
导师介绍
孟繁柯
2006.9-2010.6
北京
大学化学与分子工程学院,理学学士,导师:杨震教授、陈家华副教授
2010.9-2015.10 波士顿学院化学系,哲学博士,导师:Amir H. Hoveyda 教授
2015.10--2016.8 波士顿学院化学系,博士后,导师:Amir H. Hoveyda 教授
2016.8-至今 中国科学院上海有机化学研究所,研究员
https://www.x-mol.com/groups/Mengfanke
点击“
阅读原文
”,查看
化学 • 材料
领域
所有收录期刊
【声明】内容源于网络
0
0
X-MOL资讯
“X-MOL资讯”隶属于X-MOL学术平台(官网x-mol.com),关注化学、材料、生命科学、医学等领域的学术进展与科研前沿,提供专业与深度的内容。公众号菜单还提供“期刊浏览”等强大功能,覆盖各领域上万种期刊的新近论文,支持个性化浏览。
内容
19833
粉丝
0
关注
在线咨询
X-MOL资讯
“X-MOL资讯”隶属于X-MOL学术平台(官网x-mol.com),关注化学、材料、生命科学、医学等领域的学术进展与科研前沿,提供专业与深度的内容。公众号菜单还提供“期刊浏览”等强大功能,覆盖各领域上万种期刊的新近论文,支持个性化浏览。
总阅读
1.6k
粉丝
0
内容
19.8k
在线咨询
关注