搜索
首页
大数快讯
大数活动
服务超市
文章专题
出海平台
流量密码
出海蓝图
产业赛道
物流仓储
跨境支付
选品策略
实操手册
报告
跨企查
百科
导航
知识体系
工具箱
更多
找货源
跨境招聘
DeepSeek
首页
>
【有机】南京大学梁勇课题组JACS:计算助力配体进化——精准引入色散力,实现高活性吲哚C5位硼化
>
0
0
【有机】南京大学梁勇课题组JACS:计算助力配体进化——精准引入色散力,实现高活性吲哚C5位硼化
X-MOL资讯
2024-09-05
4
导读:梁勇教授团队利用计算设计实现了配体进化,通过在配体与底物间引入包含色散力在内的多重非键相互作用,成功实现了铱催化的高活性和高选择性的吲哚C5位硼化。
吲哚作为一种重要的杂环分子,对吲哚骨架进行碳氢键官能团化一直是有机化学家们关注的难题。在吲哚环的六个碳氢键中,C5位碳氢键活化颇为棘手,主要有三个原因:1)吲哚环可分为吡咯环与苯环两个区域,其中吡咯环上两个碳氢键相对易于活化,苯环区域的碳氢键更加惰性;2)从吲哚氮原子或C3位碳原子引入导向基,C5位都将处于远程位置,设计导向策略更加困难;3)吲哚C5与C6位空间位置相邻,活性也十分接近。
南京
大学梁勇
教授课题组长期致力于通过计算和实验相结合的方式探究反应机理与实现催化剂的理性设计。2022年,课题组报道了通过计算设计辅助合成的新型配体实现了可调控的芳环远程碳氢键硼化(
Chem
2022
,
8
, 1775-1788),随后很快实现了季铵盐、季麟盐的芳基对位硼化(
Angew. Chem. Int. Ed
.
2022
,
61
, e202201285)与磺酰胺、砜的芳基间、对位选择性硼化(
Angew. Chem. Int. Ed.
2022
,
61
, e202206797)。近日,梁勇教授团队
利用计算设计实现了配体进化,通过在配体与底物间引入包含色散力在内的多重非键相互作用,成功实现了铱催化的高活性和高选择性的吲哚C5位硼化
(图1)。
图1.(A)重要吲哚分子(B)吲哚各位点反应活性(C)设计配体实现C5硼化
通过密度泛函理论(DFT)计算,利用只提供氢键作用的配体
L1
即可实现专一的C5选择性,然而反应的活性不足。在筛选已有配体
L1-L3
后发现,反应在最优条件下只能实现40%的转化率(图2)。因此作者进一步通过计算设计进化配体以提高反应活性。
图2. (A)计算C5:C6选择性(B)反应条件筛选
为评估配体与底物的相互作用实现配体虚拟筛选,作者引入虚拟的配体交换过程模拟。计算所得配体交换能与实验所测配体活性具有良好的正相关(图3)。利用该计算指标,可指导配体的进一步优化。为引入更多的色散作用力,两种不同取代模式的含叔丁基配体
L4
和
L5
被设计出来并计算其配体交换能。
L4
的配体交换能仅轻微提高,而
L5
的配体交换能大幅提高,预示着非常高的活性。随后的实验验证了该预测,最终应用
L5
对模板底物进行了标准条件下的硼化反应,得到了98%产率与专一的C5选择性。
图3. 配体交换能预测配体活性
为验证非键相互作用对配体活性提升的作用,理论计算再一次发挥作用。通过NCI分析将非键相互作用可视化,可以形象地“看见”从
L1
进化到
L5
过程中逐渐增加的氢键作用、C−H•••π相互作用以及多重的叔丁基-叔丁基色散作用(图4)。从邻菲罗啉骨架进化到最优配体
L5
,逐渐增加的多重非键相互作用实现了反应速率近两千倍的提升。
图4.非键相互作用可视化分析
后续的底物拓展发现,反应具有十分良好的官能团容忍性,能兼容不同碳数的直链或支链烷基、酯基、氰基、卤素、多种取代的芳基以及酰胺等基团,可以对包含类似天然产物的
2u
、
2v
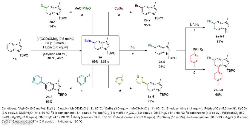
等多种底物实现高活性和高选择性的C5位硼化(图5)。该反应在千分之五的催化剂量下能以99%的产率进行克级制备,得到的硼化产物后续可以实现如Suzuki偶联、氘化、溴化等多种高效的官能团化。导向基团能以95%的产率高效脱除,或再利用同一导向基团进一步反应得到C5,C7双官能团化产物(图6)。
图5. 底物范围
图6.克级反应与转化
原文(扫描或长按二维码,识别后直达原文页面):
Computational Design of Ligands for the Ir-Catalyzed C5-Borylation of Indoles through Tuning Dispersion Interactions
Tianyu Zheng, Jiawei Ma, Haochi Chen, Hao Jiang, Shuo Lu, Zhuangzhi Shi, Fang Liu*, K. N. Houk*, Yong Liang*
J. Am. Chem. Soc
.
2024
, DOI: 10.1021/jacs.4c08027
导师介绍
梁勇
https://www.x-mol.com/university/faculty/63209
点击“
阅读原文
”,查看
化学 • 材料
领域
所有收录期刊
【声明】内容源于网络
0
0
X-MOL资讯
“X-MOL资讯”隶属于X-MOL学术平台(官网x-mol.com),关注化学、材料、生命科学、医学等领域的学术进展与科研前沿,提供专业与深度的内容。公众号菜单还提供“期刊浏览”等强大功能,覆盖各领域上万种期刊的新近论文,支持个性化浏览。
内容
19833
粉丝
0
关注
在线咨询
X-MOL资讯
“X-MOL资讯”隶属于X-MOL学术平台(官网x-mol.com),关注化学、材料、生命科学、医学等领域的学术进展与科研前沿,提供专业与深度的内容。公众号菜单还提供“期刊浏览”等强大功能,覆盖各领域上万种期刊的新近论文,支持个性化浏览。
总阅读
8.1k
粉丝
0
内容
19.8k
在线咨询
关注