大数跨境
0
0

【有机】通过Minisci反应实现未保护腺苷(酸)及其类似物的2-位选择性硼修饰

【有机】通过Minisci反应实现未保护腺苷(酸)及其类似物的2-位选择性硼修饰 X-MOL资讯
2024-08-08
2
导读:陈刚副教授携手复旦大学李志铭副教授,在未保护腺苷及其类似物的2位选择性硼化修饰上取得了重要进展


核酸,作为生命体内不可或缺的遗传信息载体,其结构复杂而精妙,而含氮碱基是构成遗传密码的核心基石。在A、G、C、T (DNA特有)、U (RNA特有)五种核苷酸碱基中,腺嘌呤(A)因其独特的角色而格外引人注目。它不仅是构成核酸的基本单元,同时还广泛参与能量货币ATP及一系列信号分子(诸如A,AMP, ADP, cAMP等)的组成,这些分子在生命体内错综复杂的信号传导网络及能量代谢过程中扮演着关键角色,共同编织生命活动的精密网络。此外,腺嘌呤还深度植根于多种辅酶与辅因子的结构之中,如CoA、AdoMet、NADPH、FAD及PAPS等,这些小分子作为生命活动的催化剂与调节器,通过其特异性地与受体或酶的相互作用,触发生物体内一系列精细而复杂的级联反应,其中腺嘌呤作为精准识别的“钥匙”,其重要性不言而喻。

鉴于核苷(酸)在生物体内展现出的独特生理功能,核苷类似物的合成成为了有机合成化学领域长达半个世纪的研究热点。科研工作者们凭借卓越的智慧与创造力,设计并合成了数以万计化学修饰的核苷类似物,旨在模拟自然状态下与目标蛋白的识别模式,探索它们对关键酶的抑制效果,或作为受体调控的拮抗剂与激动剂。这一策略不仅极大地拓宽了药物研发的边界,也推动了新型核苷类药物的快速发展。通过对核苷(酸)碱基结构的精妙修饰,科学家们能够灵活地调整其空间构象、电子排布及理化性质(如亲脂性与亲水性的微妙平衡),还可以增强其对抗酶降解的能力。这些细微的化学调整,既保留了与特定受体或酶识别的能力,又通过结构上的微妙变化诱导出预期的治疗效应,展现了极高的策略灵活性与精准性。基于天然核苷及核苷类药物分子的化学后修饰策略,我们能够迅速构建出高度多样化的化合物库,为核苷类药物的创新持续注入新的活力与可能。

近年来,上海交通大学陈刚副教授团队深耕于未保护天然核苷的后修饰领域,取得了一定的进展。他们不仅成功实现了在二价钯催化下未保护天然尿苷及其衍生物的5位C-H键烯基化反应(RSC Adv. 2022, 12, 24930-24934),还与东南大学葛裕华教授团队合作,通过Minisci烷基化策略,对未保护鸟苷及其类似物的8位和尿苷的5位进行了精准修饰(Nat. Commun. 2024, 15, 2549),并进一步探索了未保护硫代嘌呤核苷的自由基型硫醚化反应(Chem. Eur. J. 2024, 30, DOI: 10.1002/chem.202401774)。近期,陈刚副教授携手复旦大学李志铭副教授,在未保护腺苷及其类似物的2位选择性硼化修饰上取得了重要进展,该研究成果已在Journal of the American Chemical Society 上发表。

图1. 研究背景简介

追溯至20世纪70年代,尽管未保护腺苷2位的Minisci反应已被提出,但因其2位与8位间亲电性的细微差异,长期以来面临区域选择性差的问题,反应产物复杂,通常产生包括2-单取代、8-单取代以及2,8-双取代三种混合物在内的2~3种产物。尽管通过N6位酰基保护基的引入能在一定程度上提升8位的选择性,却也加剧了整体反应活性,最终仍以2,8-双取代产物为主,限制了其在合成化学中的应用。

针对这一难题,陈刚与李志铭团队凭借对质子化腺苷Fukui常数的深入分析(结果显示2位f+值显著高于8位,即0.1678 vs. 0.0853),创新性地提出了利用路易斯碱-硼烷络合物作为亲核性硼自由基前体,通过光催化或热激活策略,实现了对腺苷及其类似物2位的高度区域选择性Minisci硼化反应。这一突破不仅填补了腺苷Minisci反应在2位区域选择性上长达半个世纪的空白,更为生物活性分子及抗病毒、抗肿瘤药物(如AMP、cAMP、阿糖腺苷、虫草素、替诺福韦、阿德福韦、GS-441524等)的化学后修饰开辟了新的路径。

图2. 腺苷、腺苷酸及腺苷类似物的底物拓展

值得注意的是,即便在N6位引入不同取代基、将6位氨基转换为烷氧基或在8位进行修饰,该反应体系依然适用,尽管产率略有降低。此外,该策略还能成功应用于对7-脱氮腺苷、8-氮杂腺苷、7-脱氮-8-氮杂腺苷及抗病毒药物瑞德西韦的关键前体GS-441524的2-位硼化后修饰,展现出其广泛的底物兼容性和潜在的应用价值。尤为引人注目的是,针对某些在光催化条件下反应活性不尽如人意的底物,如7-脱氮-8-氮杂腺苷及抗病毒药物前体GS-441524,研究团队巧妙地转换了反应策略,采用加热引发的条件进行尝试。这一调整显著提升了反应效率,7-脱氮-8-氮杂腺苷的产率从原先的62%跃升至82%,而GS-441524的产率也实现了从25%到38%的可观增长。这一发现不仅解决了特定底物反应活性低的问题,还展示了反应条件优化对于提升复杂分子合成效率与产率的重要性。除了广泛采用的三甲胺-硼烷外,本研究还探索了多种二级或三级胺配位的硼烷络合物作为硼自由基前体的潜力,这些创新性的硼自由基前体成功地在腺嘌呤骨架的2位引入了前所未有的类金属官能团,极大地丰富了核苷化学的修饰手段与多样性。

图3. 胺硼烷的底物拓展

鉴于反应在无需光催化剂直接参与下亦能进行,作者提出以下机理假说:硫酸根阴离子自由基(SO4•-),作为高效的氢原子转移(HAT)试剂,其生成途径多元,既可通过激发态光催化剂4CzIPN*对过硫酸根(S2O82-)单电子还原后产生,亦能在加热条件下直接促进过硫酸根离子(S2O82-)中过氧键的均裂直接生成。随后,该硫酸根阴离子自由基A攫取胺硼烷中的B-H氢原子,生成关键的胺硼烷自由基B。另一方面,腺苷分子在添加剂镁离子(Mg2+)的配位螯合作用下得以活化,使其更易于接受自由基进攻。胺硼烷基自由基B对活化后的腺苷2位进行精准的Minisci加成,形成去芳构化的氮原子中心自由基D-Mg。此自由基随后被氧化态的光催化剂(4CzIPN+)单电子氧化并脱去质子,最终生成Mg2+络合的2-位胺硼烷化产物,同时光催化剂4CzIPN得以再生,进入下一个催化循环。此外,氮原子中心自由基D-Mg亦可被过硫酸根离子(S2O82-)单电子氧化并脱质子,转化为目标产物,并伴随硫酸根阴离子自由基(SO4•-)的再生,从而引发自由基链式反应的持续进行。

图4. 机理假说及DFT计算

为了深入剖析该Minisci反应的区域选择性,作者借助DFT理论计算进行了详尽分析。计算结果显示,胺硼烷自由基对腺苷2位加成的能垒显著低于8-位(8.1 kcal/mol vs 13.1 kcal/mol),直接印证了其对2位的高度区域选择性,这一结论与质子化腺苷的Fukui函数f+预测相吻合。进一步对MgCl2存在下的Fukui函数分析表明,2-位依然保持对亲核性自由基物种更高的吸引力(f+值为0.1558 vs 0.1098),证明了MgCl2的加入并未改变对2-位的区域选择性偏好。在探究金属离子对反应促进作用的过程中,作者通过比较N1-质子化腺苷与不同金属离子(LiCl、MgCl2)配位螯合后的腺苷在Minisci加成时过渡态的结构和反应能垒,发现金属离子的介入显著降低了反应的能垒,其中Mg2+的效果尤为显著(自由能垒从8.1 kcal/mol降至5.3 kcal/mol)。IGMH分析进一步揭示了金属离子(Li+和Mg2+)与核糖醚氧原子及嘌呤N3原子间的弱相互作用,这些相互作用不仅稳定了过渡态结构,还有效降低了活化能,从而加速了反应进程。

图5. IGMH分析

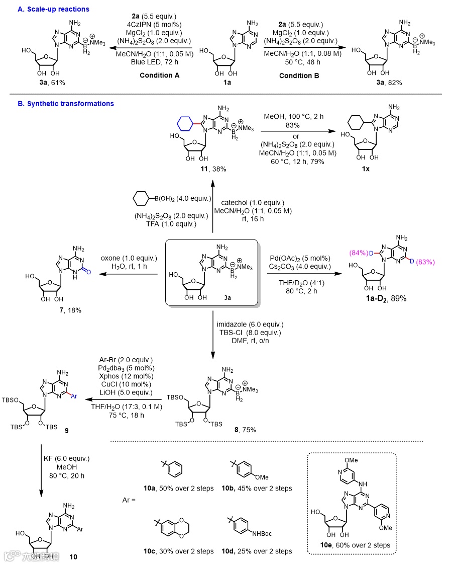
为了深入探索该化学反应的实际应用潜力,作者进行了放大实验。在光照条件下,当反应规模扩展至克级时,腺苷仍能高效地转化为目标产物,产率稳定在61%,展现了良好的可放大性。尤为引人注目的是,通过加热促进的反应条件,其效率显著提升,即便在8 mmol(相当于2克量级)的放大规模下,仍能保持82%的高产率,进一步证实了该反应在工业应用中的广阔前景。随后,作者巧妙地利用硼化产物的转化能力,展示了其丰富的合成价值。通过Oxone氧化剂对产物3a的C-B键进行氧化,以18%的产率成功制备了2-羟基腺苷。特别值得一提的是,针对同位素标记在科学研究中的关键地位,作者创新性地利用硼化产物3a,通过钯催化的脱硼-氘代策略,以89%的高产率实现了腺苷2,8-位的双氘代,为氘代腺苷类化合物的合成开辟了新的途径,这一成果在生命科学研究、材料科学及药物研发等领域具有重大意义。

图6. 克级反应及产物转化

进一步地,作者深入探索了硼化腺苷的多功能转化路径。通过对3a中的羟基进行TBS全保护,不仅增强了分子的稳定性,还使其能够顺利参与Suzuki-Miyaura交叉偶联反应,与多种溴代芳烃或杂芳烃高效地偶联。特别地,当使用吡啶基溴代物时,反应展现出独特的复杂性,同时触发了Buchwald-Hartwig胺化反应,生成了独特的2, N6-双芳基化产物。此外,胺硼烷基的易脱除特性使其成为腺嘌呤环上2-位的高效占位基团,为后续修饰提供了便利。通过Minisci烷基化策略,作者成功地在3a的8-位引入了环己基,并可通过多种方式有效地脱除2-位胺硼烷基,获得了纯净的8-位单烷基化产物,这一转化可进一步丰富腺苷衍生物的化合物库。而硼化腺苷6m的末端炔基在铜催化的Click反应(CuAAC)中的表现尤为亮眼,特别是与齐多夫定(AZT)和生物素-PEG7-叠氮化物等生物相关分子的高效结合,分别以84%和92%的产率获得了生物正交反应产物,预示着该策略在化学生物学领域的广泛应用潜力。

最后,为了评估硼化腺苷类似物的生物活性,作者选取了包括HeLa细胞、MCF-7(人乳腺腺癌细胞系)、H1299(人肺癌细胞系)和Jurkat细胞在内的四种代表性肿瘤细胞,进行了详尽的体外抗增殖活性测试。初步筛选结果显示,硼化产物3s、3u、5a、5b5c均展现出一定的抗肿瘤潜力。进一步对比研究显示,对于一些原本无活性的核苷前体化合物,如1s1u,通过在2-位引入胺硼烷基团,能够显著诱导出其原本不具备的抗肿瘤活性,特别是对于1u3u的转变,效果尤为显著。同时,对于已经具备一定抗肿瘤活性的氮杂和去氮腺苷类似物(如4a−4c),2-位硼修饰虽未显著提升其活性,但仍保持了原有的生物活性水平。此外,通过剂量-效应关系研究,作者确定了化合物3u5a在多个细胞系中的IC50值。其中,化合物3u在三个细胞系中的IC50值达到微摩尔水平(HeLa为6.90 µM,MCF-7为3.40 µM,Jurkat为4.28 µM),而化合物5a在四个细胞系中的IC50值范围为0.53至3.47 µM。

图7 体外抗肿瘤活性测试

小结

在本研究中,作者巧妙地利用光催化与热引发策略,实现了未保护腺苷、腺苷酸及其类似物在Minisci-型反应模式下的高度区域选择性2-位胺硼烷化反应,这一突破性的进展不仅拓宽了嘌呤衍生物后期官能团化的边界,也彰显了化学合成的精妙与智慧。面对腺嘌呤结构中2位与8位两个潜在的竞争反应位点,作者精心设计的胺配位硼自由基凭借其卓越的亲核性,精准地靶向2位,有效规避了非预期的2,8-双官能团化副产物的产生,展现了极高的化学选择性与反应效率。该策略除了使用传统的三甲胺-硼烷以外,还可以成功引入更为多样化的二级、三级胺配位的硼烷络合物。通过深入的计算模拟,作者研究揭示了MgCl2在促进反应中的关键作用——它通过构建与嘌呤N3原子及呋喃醚氧原子的稳定螯合结构,显著降低了2位自由基加成时过渡态的能垒,有效地促进了反应的顺利进行。此外,热激活方式在克级制备中展现出更为卓越的效能,预示着该策略在工业化应用中的广阔前景。生成的胺硼烷基团,作为功能性手柄或占位基团,在多样化核苷类似物的合成方面展现出巨大的潜力。最后,初步的生物活性评估显示,在腺嘌呤2位引入这种独特的胺配位硼烷基后,部分原本无活性的核苷类似物竟展现出了显著的抗肿瘤活性,这一发现为抗癌药物的研发开辟了新的思路。

该论文的通讯作者为上海交通大学的陈刚副教授与复旦大学的李志铭副教授,上海交通大学的李杨燕助理研究员、科研助理周昱彤与复旦大学的科研助理周大智为本论文的共同第一作者。

陈刚课题组通过高效的后修饰策略,已经构建丰富的非天然核苷与核苷酸化合物库(大于500个),碱基不同位置含有硼、硫、氟、烷基、芳基、烯基等官能团修饰,同时在核糖上也有多样的修饰。希望与不同领域的专家合作,共同拓展非天然核苷与核苷酸在核酸药物开发和核酸化学生物学研究等领域应用。

原文(扫描或长按二维码,识别后直达原文页面):
Regioselective Homolytic C2–H Borylation of Unprotected Adenosine and Adenine Derivatives via Minisci Reaction
Yangyan Li, Yutong Zhou, Dazhi Zhou, Yujie Jiang, Madiha Butt, Hui Yang, Yingchuan Que, Zhiming Li*, Gang Chen*
J. Am. Chem. Soc., 2024, DOI: 10.1021/jacs.4c03865


导师介绍
陈刚
https://www.x-mol.com/university/faculty/66100



点击“阅读原文”,查看 化学 • 材料 领域所有收录期刊

【声明】内容源于网络
0
0
X-MOL资讯
“X-MOL资讯”隶属于X-MOL学术平台(官网x-mol.com),关注化学、材料、生命科学、医学等领域的学术进展与科研前沿,提供专业与深度的内容。公众号菜单还提供“期刊浏览”等强大功能,覆盖各领域上万种期刊的新近论文,支持个性化浏览。
内容 19833
粉丝 0
X-MOL资讯 “X-MOL资讯”隶属于X-MOL学术平台(官网x-mol.com),关注化学、材料、生命科学、医学等领域的学术进展与科研前沿,提供专业与深度的内容。公众号菜单还提供“期刊浏览”等强大功能,覆盖各领域上万种期刊的新近论文,支持个性化浏览。
总阅读1.6k
粉丝0
内容19.8k