大数跨境
0
0

【有机】Angew:双磷杂环丙烷并蒽的脱膦宾芳构化实现E-H (E = H, Si, N和P) 键的活化

【有机】Angew:双磷杂环丙烷并蒽的脱膦宾芳构化实现E-H (E = H, Si, N和P) 键的活化 X-MOL资讯
2024-08-11
1
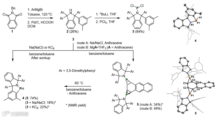
导读:四川大学卢伟课题组报道了一例双磷杂环丙烷并蒽衍生物5的合成,该化合物可看成是胺基膦宾中间体与蒽发生[1+2]环加成反应的产物。


膦宾(phosphinidene)是有机磷化学研究领域最受关注的低价磷化合物。膦宾是卡宾和氮宾的磷类似物,其单取代磷中心只有六个价层电子,因此具有单线态(singlet)和三线态(triplet)两种电子结构。膦宾的化学性质非常活泼,通常无法实现常温条件下的合成和分离。到目前为止,仅有一例室温条件下稳定的膦宾在2016年被Bertrand课题组报道。为了提高膦宾的稳定性和实用性,近年来化学家们报道了一系列由过渡金属、膦配体、卡宾及卡宾类似物稳定的二配位膦宾(I-VI),这类配合物具有八电子磷原子中心,表现出类似膦宾的反应性质。此外,一些具有三价磷中心的磷杂环化合物(VII-XII),多为膦宾中间体与C-C不饱和键或者芳烃的加成产物,也可以在反应过程中解离出单配位的膦宾。这类化合物可统称为膦宾转移试剂(phosphinidene transfer reagents)。膦宾转移试剂在保留了单配位膦宾部分化学性质的同时又提高了稳定性,具有非常重要的潜在应用价值。


近日,四川大学卢伟课题组报道了一例双磷杂环丙烷并蒽衍生物5的合成,该化合物可看成是胺基膦宾中间体与蒽发生[1+2]环加成反应的产物。5在加热条件下发生去膦宾芳构化(逆环加成)反应生成蒽和二分子膦宾中间体,该膦宾中间体迅速发生分子内异构化生成4。实验研究表明,5可作为胺基膦宾转移试剂活化氢气(H2)和元素-氢键(P-H、Si-H和N-H),以及与烯烃和炔烃等不饱和键反应生成多种磷杂环化合物。


5和H2在50 °C下加热2天后得到HP-PH单键化合物6,反应同时生成少量4和极少量的7。利用D2进行氘标记反应,证明化合物6中P原子上的H来源于H2。5和二当量的化合物7反应,几乎定量生成化合物6。因此,反应机理可能分为三步:1) 第一分子膦宾释放和H2发生氧化加成反应形成7;2) 构型转换和第二分子膦宾释放;3) 第二分子膦宾插入化合物7中的P-H键,该机理已通过理论计算证实。该反应代表了首例非金属低价膦化合物活化H2的反应。


此外,通过5与其它小分子的反应研究发现。化合物5分别与二当量的三乙基硅烷、二甲基氨、二苯基磷反应,生成E-H(E = Si, N和P)键的插入产物8、9和10,其分离产率分别为30%、43%、50%。化合物5分别和苯乙烯,β-甲基苯乙烯和苯乙炔的π键反应,生成[1+2]环加成产物11、12和13,其分离产率分别为66%、39%和47%。


综上所述,在该工作中卢伟课题组成功合成了一例双磷杂环丙烷并蒽衍生物,该化合物可作为膦宾转移试剂活化多种小分子,构建一系列含磷化合物。

这一成果近期发表在Angewandte Chemie International Edition 上,文章的第一作者是四川大学化学院的博士生罗卿

原文(扫描或长按二维码,识别后直达原文页面):
Aromative Dephosphinidenation of a Bisphosphirane-Fused Anthracene toward E-H (E = H, Si, N and P) Bond Activation
Qing Luo, Tingting Liu, Linlin Huang, Cheng Yang, Wei Lu
Angew. Chem. Int. Ed., 2024, DOI: 10.1002/anie.202405122

通讯作者简介

卢伟,四川大学化学学院特聘研究员,博士生导师。2014年博士毕业于中国科学院大学,先后在新加坡南洋理工大学Rei Kinjo教授和德国维尔茨堡Holger Braunschweig教授课题组从事博士后研究。2021年底加入四川大学化学学院,主持国家高层次青年人才项目、四川省天府峨眉青年人才项目以及四川大学双百B人才项目。主要从事主族元素化学,特别是13-15族元素新化合物的合成、结构和反应性质研究。以第一和通讯作者在J. Am. Chem. Soc.,Angew. Chem. Int. Ed.,Nat. Commun.Chem. Sci.等期刊发表文章20余篇,两次入选“JACS青年研究者虚拟专刊”。2019年获得SNIC Prof Lee Soo Ying Early Career Research Award金奖。课题组主要关注主族元素新化合物(s区和p区元素),特别是低价态和低配位数主族元素化合物的合成、结构、成键,以及它们在小分子活化和转移,复杂化合物构建和催化反应中的机理和应用研究。

课题组主页: 
https://www.x-mol.com/groups/lu_wei




点击“阅读原文”,查看 化学 • 材料 领域所有收录期刊

【声明】内容源于网络
0
0
X-MOL资讯
“X-MOL资讯”隶属于X-MOL学术平台(官网x-mol.com),关注化学、材料、生命科学、医学等领域的学术进展与科研前沿,提供专业与深度的内容。公众号菜单还提供“期刊浏览”等强大功能,覆盖各领域上万种期刊的新近论文,支持个性化浏览。
内容 19833
粉丝 0
X-MOL资讯 “X-MOL资讯”隶属于X-MOL学术平台(官网x-mol.com),关注化学、材料、生命科学、医学等领域的学术进展与科研前沿,提供专业与深度的内容。公众号菜单还提供“期刊浏览”等强大功能,覆盖各领域上万种期刊的新近论文,支持个性化浏览。
总阅读1.6k
粉丝0
内容19.8k