搜索
首页
大数快讯
大数活动
服务超市
文章专题
出海平台
流量密码
出海蓝图
产业赛道
物流仓储
跨境支付
选品策略
实操手册
报告
跨企查
百科
导航
知识体系
工具箱
更多
找货源
跨境招聘
DeepSeek
首页
>
JACS:苯环部分还原为环己烯,试试有机光催化
>
0
0
JACS:苯环部分还原为环己烯,试试有机光催化
X-MOL资讯
2025-01-04
3
导读:德国波鸿鲁尔大学的Mario P. Wiesenfeldt教授课题组报道了一种广泛适用的有机光催化苯环部分还原方法,可将缺电子苯转化为环己烯,并且能够耐受 Lewis碱性官能团以及可还原基团(如:氰化
自1865年
德国
化学家提出苯的芳香性结构以来,芳烃化学已成为现代化工产业的重要支柱。此外,将丰富的芳烃化合物还原为稀缺的富含C(s
p
3
)的结构单元,可能改善潜在药物分子的药代动力学性质以及与靶标分子的结合,提高临床试验成
功率
,对于药物设计至关重要。目前,化学家通过去芳构化反应将简单易得的芳烃转化为富含C(s
p
3
)的结构单元,其中值得重点关注的是苯环还原反应——特别是苯环部分还原反应,如果能在候选药物或复杂前体的后期修饰过程中实现,将大大简化合成富含C(s
p
3
)衍生物的路线,方便候选药物库的拓展(图1A)。苯环还原反应产物中,环己二烯是最常见的结构单元,但是大多数不稳定,很容易发生重新芳构化。相比之下,环己烯是一种极具吸引力的产物,具有较强的烯丙基C-H键,对重新芳构化的抵抗力提高了
1
0
5
倍。然而,将苯环部分还原为环己烯的反应很少见并且官能团耐受性差,因此无法应用于药物设计(图1B)。改进的催化剂能够在温和条件下获得环己烷,但是环己烯很难通过氢化和单电子转移(SET)途径获得。
近日,德国
波鸿
鲁尔大学
的
Mario P. Wiesenfeldt
教授课题组报道了一种
广泛适用的有机光催化苯环部分还原方法
(图1C)
,可将缺电子苯转化为环己烯,并且能够耐受 Lewis碱性官能团(如:三唑和硫醚)以及可还原基团(如:氰化物、炔烃和砜)等
。具体来说,该反应利用有机供体,通过与光激发电子供体-受体(EDA)复合物的预结合来诱导温和的芳烃还原,并将氧化还原惰性的1,4-环己二烯温和地异构化为可还原的1,3-环己二烯,而且无需强碱。相关成果发表在
J. Am. Chem. Soc.
上。
图1. 研究背景及本文工作。
图片来源:
J. Am. Chem. Soc.
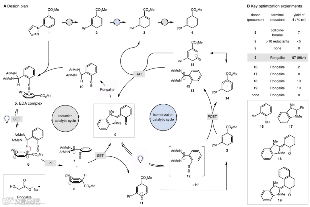
如图2A所示,作者提出了可能的催化循环:首先,EDA复合物
5
在光激发下形成自由基离子对
6
,经质子转移生成高度稳定的自由基
7
和环己二烯基自由基
8
。由于α-氮和强电子给体
o
-硫化物(
σ
p
(S
-
)
=-1.2)的阳离子稳定作用,
7
具有较高的还原能力并将
8
还原为阴离子
11
,其经质子化生成环己二烯
2
以及氧化供体
9
,
9
同时具有两性离子和硫醌甲基化物的特性并可以通过末端还原剂还原为
10
。或者,
9
也可以进行光激发并形成
12
,
12
能够攫取
2
中的双烯丙基C-H键(1,4-环己二烯的BDE=75 kcal mo
l
-1
),并催化异构化为更稳定的1,3-二烯
3
(1,3-环己二烯的BDE=79 kcal mo
l
-1
)。最后,缺电子二烯
3
很容易被还原为环己烯
4
,从而完成催化循环。其次,条件优化表明廉价易得的市售化学品Rongalite能够匹配两个催化循环的速率(图2B),并且在所测试的供体前体中,只有
9
(其活性供体
10
中同时含有苯硫酚盐和DHBI)提供了大量的环己烯
4
(产率:97%、区域异构体比率(rr):96:4)。另外,供体前体
9
可从市售原料出发经两步转化以高产率获得,而且在室温下具有可储存性和良好的稳定性。
图2. 反应设计及条件优化。
图片来源:
J. Am. Chem. Soc.
在最优条件下,作者考察了该反应的底物范围(图3),结果显示酯基和氰基(
21
、
53
)均是EDA复合物形成的活化基团,而且即使在没有活化基团的情况下萘也能被还原并得到1,4-二氢萘(
48
)为主要产物。此外,单取代和间位取代的芳烃、环状芳烃(如:吲哚(
50
)、吲唑(
51
)、萘(
48、49、52-54
)和菲(
55
))均能以高产率实现转化,并且通常在电子密度最低的环(
50-55
)上进行完全还原(与氢化反应的区域选择性正交),而邻位和对位取代的芳烃却反应性较低。需要指出的是,本文中2-环己烯羧酸酯是选择性获得的(
4、20、22-47
),而Diels-Alder反应几乎总是得到3-环己烯羧酸酯,2-取代环己烯羧酸酯只能通过较少探索的逆电子需求Diels-Alder反应形成,并且在单取代产物的情况下需要气态乙烯作为亲双烯体。值得一提的是,该反应还可以耐受许多与药物和合成相关的结构单元,包括:具有活性氢的基团(如:醇(
22
)和吲唑(
51
))、Lewis碱基团(如:咪唑(
28
)、三唑(
29
)、氨基吡啶(
32
)、吡唑(
4、42-45
)和硫醚(
47
))、可还原官能团(如:氰基(
21、53
)、砜(
38
)和炔烃(
44
)),而且S
ciF
inder搜索表明这些可还原官能团先前无法耐受苯环的任何还原,无论产物是1,4-环己二烯、环己烯还是环己烷。最后,作者还将开发的方法应用于活性药物成分哌罗卡因(
23
)和苯氟雷司(
25
)中单取代苯环的还原,进一步展现出该方法的实用性。
图3. 底物范围。
图片来源:
J. Am. Chem. Soc.
接下来,作者对产物进行了衍生化(图4A),具体而言:1)羧酸酯经皂化反应以高产率获得游离羧酸(
57
、
59
),分别以88%和64%的产率转化为酰胺(
56
)和脱羧胺化产物(
60
);2)利用Nicewicz团队开发的改进方案将四氢化萘(
57
)以及未取代(
58
)和间位取代的环己烯(
59
)羧酸转化为其脱羧产物(
49、61、62
)。为了验证EDA复合物的形成和硫醌甲基化物介导的异构化,作者进行了一系列实验:1)UV/vis研究表明原位制备的苯硫酚盐
10
与1-萘甲酸甲酯
63
之间形成了EDA复合物(图4B);2)当模型芳烃
1
和1,3-二烯
S42
以及苯硫酚盐和苯基二氢苯并咪唑作为替代供体进行类似实验时,作者发现EDA复合物的形成是这种转化的普遍机制,包括第二个还原步骤,并且苯硫酚盐充当供体而非DHBI;3)1,4-二氢萘
48
的异构化研究证实苯硫醌甲基化物
9
和光都是必需的,碱不是必需的,从而排除了碱介导异构化的可能性(图4C)。另外,本实验中再氧化萘的生成和1,4-环己二烯类似实验中定量生成苯可能是通过环己二烯基自由基氧化后去质子化而发生的,这表明控制还原(
10
)和氧化供体(
9
)之间比例的重要性。
图4. 产物衍生化及控制实验。
图片来源:
J. Am. Chem. Soc.
总结
Mario Wiesenfeldt教授课题组报道了一种广泛适用的有机光催化苯环部分还原方法,可将缺电子苯转化为环己烯,并且能够耐受 Lewis碱性官能团(如:三唑和硫醚)以及可还原基团(如:氰化物、炔烃和砜)等。此外,该反应还能与皂化和脱羧反应配对以产生游离环己烯,进一步展示出其在药物研发中的应用价值。
原文(扫描或长按二维码,识别后直达原文页面):
Organophotocatalytic Reduction of Benzenes to Cyclohexenes
Kirti Devi, Asad Shehzad, Mario P. Wiesenfeldt
J. Am. Chem. Soc
.,
2024
,
146
, 34304-34310, DOI: 10.1021/jacs.4c14669
点击“
阅读原文
”,查看
化学 • 材料
领域
所有收录期刊
【声明】内容源于网络
0
0
X-MOL资讯
“X-MOL资讯”隶属于X-MOL学术平台(官网x-mol.com),关注化学、材料、生命科学、医学等领域的学术进展与科研前沿,提供专业与深度的内容。公众号菜单还提供“期刊浏览”等强大功能,覆盖各领域上万种期刊的新近论文,支持个性化浏览。
内容
19833
粉丝
0
关注
在线咨询
X-MOL资讯
“X-MOL资讯”隶属于X-MOL学术平台(官网x-mol.com),关注化学、材料、生命科学、医学等领域的学术进展与科研前沿,提供专业与深度的内容。公众号菜单还提供“期刊浏览”等强大功能,覆盖各领域上万种期刊的新近论文,支持个性化浏览。
总阅读
1.6k
粉丝
0
内容
19.8k
在线咨询
关注