近日,五邑大学彭士勇课题组在Organic Letters 发表研究,报道了一种金催化的烯炔酮与咪唑烷的杂环化/(5+3)环加成串联反应。该反应提供了一种模块化、原子经济性的高效合成策略,能以中等至优异的产率构建具有重要药用价值的环辛烷[c]呋喃骨架。值得关注的是,通过使用(R)-C2-TunePhos 配体(L7),成功实现了该反应的不对称版本,获得了对映体比例高达98:2的手性产物。该工作通过环加成反应(n+3)构建中等大小的稠合呋喃环,为复杂天然产物及药物分子的合成提供了新路径。
图1. 杂环化/(5+3)环加成串联反应构建环辛烷[c]呋喃骨架
环辛烷[c]呋喃骨架是许多天然产物(如Trichocitrin、Teubrevin G)的核心骨架,在药物分子中应用广泛。然而,由于八元环张力带来的合成挑战,高效构建该骨架的方法有限。尽管过渡金属催化的烯炔酮已用于合成五元、六元稠合呋喃,但高阶(n>4)环加成反应构建中等大小稠合呋喃的研究仍处于起步阶段。受咪唑烷作为1,5-偶极前体的启发,课题组设想通过金催化的烯炔酮与咪唑烷的(5+3)环加成反应,实现环辛烷[c]呋喃的高效合成。
图2. 研究背景
消旋条件优化
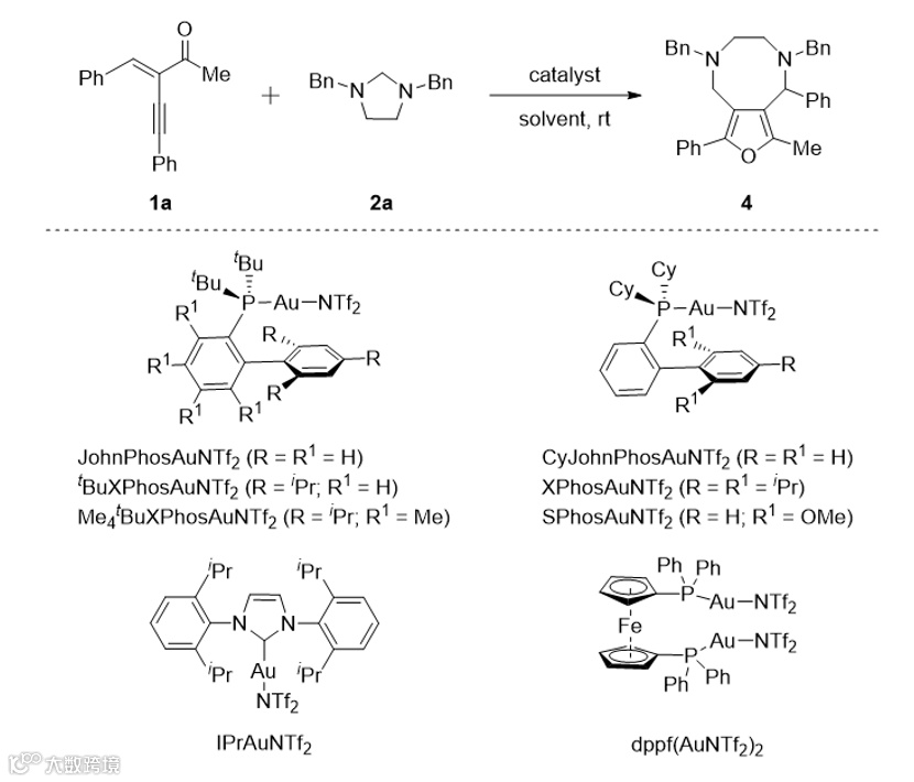
该课题组以烯炔酮1a和N-苄基咪唑烷2a为模版底物,筛选多种过渡金属催化剂后发现,仅金催化剂给出可能的结果。随后,他们转向金(I)催化体系(表1)。令人鼓舞的是,Ph3PAuNTf2催化下目标(5+3)环加成产物4的收率达55%(表1,条目1),而(2,4-di-tBuPhO)3PAuNTf2的催化活性可忽略不计(表1,条目2)。当使用JohnPhosAuNTf2时,收率提升至66%(表1,条目3)。增大配体空间位阻(如tBuXPhosAuNTf2或Me₄tBuXPhosAuNTf2)导致收率降至44%或几乎不发生反应(表1,条目4和5)。相反,使用CyJohnPhosAuNTf2降低配体的空间位阻需求,显著提高了反应效率,目标产物4的收率高达90%(表1,条目6),而进一步降低配体空间位阻(如Cy3PAuNTf2)则使收率降至74%(表1,条目7)。用空间位阻或电子效应更强的XPhosAuNTf2或SPhosAuNTf2替代CyJohnPhosAuNTf2时,对反应产生不利影响(表1,条目8和9)。值得注意的是,N-杂环卡宾金(I)配合物IPrAuNTf2和双齿膦金(I)配合物dppf(AuNTf2)2均未能促进反应(表1,条目10和11)。将溶剂由CH2Cl2换为1,2-二氯乙烷或阴离子由NTf2⁻换为SbF6⁻时,仍保持较高反应效率(表1,条目12和13)。使用CyJohnPhosAuCl时无反应发生(表1,条目14)。有趣的是,当使用CyJohnPhosAuCl/AgNTf2组合原位生成催化剂时,原位生成的 CyJohnPhosAuNTf2仅获得22%收率的产物4(表1,条目15)。最终,该(5+3)环加成反应的最优条件确定为:使用5 mol% 的 CyJohnPhosAuNTf2催化剂,在二氯甲烷中室温反应24小时,目标产物4的收率为90%(条件A,表1,条目6)。
表1 条件筛选
底物拓展
炔基R1取代基可以是芳香族或脂肪族基团。R1芳环上任意位置带有给电子或吸电子基团的烯炔酮均能很好地参与反应,生成相应的环辛烷[c]呋喃产物,产率为26%-94%(化合物4-15)。此外,萘基、苯并环丁烯基和噻吩基R1基团也适用于该转化,以良好产率得到目标产物(化合物16-18)。正丁基和环丙基同样可行,分别生成目标化合物19(42%)和20(65%)。
当考察烯烃R2取代基,发现R2可以是多种芳香族基团,包括萘基和噻吩基取代基(化合物21-28)。即使R2为烯基或炔基,环加成反应仍可进行,分别以52%(化合物29)和58%(化合物30)的产率分离得到目标产物。此外,酮基R³取代基可以为烷基(正丁基、环丙基)或苯基,生成目标产物的产率中等至良好(化合物31-33)。令人欣喜的是,环状烯炔酮与咪唑烷2a顺利反应,生成结构特殊的三环(化合物34和35)和四环产物(化合物36),其中化合物34的结构通过X射线衍射分析得以确认。
随后,作者继续考察咪唑烷的底物适用范围,首先评估了一系列对称咪唑烷:多种对称N-苄基咪唑烷及一例N-烷基类似物均能高效反应,以良好至优异产率(75%-98%)得到相应化合物37-40。此外,对称N-芳基咪唑烷也是合适的底物,分别以75%和92%的产率生成化合物41和42。令人欣喜的是,当使用C-或N-不对称咪唑烷时,尽管因转化不完全导致产率较低(化合物43和44),但反应展现出良好的区域选择性。
图3. (5+3)消旋底物拓展
不对称版本
在完成消旋[5+3]环加成部分后,作者接下来聚焦于完成该反应的不对称版本,以制备手性的环辛[c]呋喃骨架。最初以烯炔酮1a和N-Bn咪唑烷2a作为模型底物,对一些可能的手性膦配体进行了评估,包括手性亚磷酰胺配体(S,R,R)-L1、手性亚磺酰胺膦配体(S,RS)-L2、手性双膦配体(R)-MeO-BIPHEP-L3及其变体(R)-C1-TunePhos L4,遗憾的是,这些配体都不适合该反应。但是当使用N-PMP咪唑烷2b替代2a时,除了L2几乎没有立体诱导作用外,其他3种配体都给出了有希望的结果,通过对这些配体加以修饰,最终确定通过改变L4的咬合角确定了最优配体L7。
图4. (5+3)手性配体筛选
确定最优手性配体后,随后作者对其他条件进行了一个较为系统筛选(见支持信息 Table S5–7),在确定了最优手性条件后,作者进一步考察了一系列烯炔酮对该反应的普适性,结果展现出一般至优异的对映选择性。
图5. (5+3)手性底物拓展
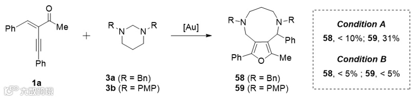
(6+3)探索
受到上述(5+3)环加成中的成功鼓舞,作者设想六氢嘧啶3可以被视为1,6-偶极前体,从而实现与Int-I的(6+3)环加成。这将为构建在天然产物中普遍存在的合成挑战的环壬[c]呋喃提供一种简单的方法。结果显示,在条件A下,烯炔酮1a与N-Bn六氢吡啶3a反应,仅检测到痕量的环加成物58。令作者感到高兴的是,当使用N-PMP六氢吡啶3b时,目标产物59的产率达到了31%。遗憾的是,烯炔酮1a与六氢嘧啶3a或3b的不对称环加成反应在条件B下几乎没有发生。
图6. (6+3)探索
总结
综上所述,该研究开发了金催化的烯炔酮与咪唑烷的(5+3)环加成串联反应,首次通过环加成反应构建环辛烷[c]呋喃骨架,以26-98%的产率构建41种环辛[c]呋喃衍生物,涵盖芳香基、脂肪基及环状底物,具有区域选择性优异具有底物易得、条件温和、官能团兼容性好等优势。另外通过手性双膦配体(R)-C2-TunePhos与AgOTf协同催化,成功实现该反应的不对称版本,获得对映体比例高达98:2的手性产物,拓展了金催化在中等环构建中的应用。
原文(扫描或长按二维码,识别后直达原文页面):

Gold(I)-Catalyzed Asymmetric Heterocyclization/(5+3) Cycloaddition of Yne-enones with Imidazolidines: Access to Cycloocta[c]furan Frameworks
Yuncheng Liu, Xiaoai Liu, Songyi Gao, Junyang Liu, Ming Lang, Shiyong Peng*
Org. Lett. 2025, DOI: 10.1021/acs.orglett.5c01267
作者简介
五邑大学药学与食品工程学院彭士勇课题组成立于2017年,研究方向为金属有机化学,不对称合成。现已在ACS Catal., Org. Lett., J. Org. Chem.等期刊发表相关学术论文40余篇,主持国家自然科学基金,广东省自然科学基金、广东省教育厅、五邑大学高层次人才项目5项,详见课题组主页:https://www.x-mol.com/groups/peng_shiyong


