由于氟元素在材料和医药等领域的独特地位,在分子中精准引入氟原子一直是有机合成领域长期存在的挑战。现阶段的氟化物的合成主要涉及直接的氟化转化、与含氟片段偶联及C-F键的裂解再重组。碳氟键重组反应作为一类新兴的氟迁移策略,近年来逐渐受到关注。然而,现有方法通常局限于原子数≤4的单单元插入,仅能实现短程氟迁移。
近期,常州大学陈铭教授团队利用简单易得的偕二氟亚甲基烯烃作为含氟前体,以铂为催化剂,通过模块化的多单元插入反应,成功实现了超远程氟迁移,创造性地合成了一系列1,6-、1,7-、1,11-、1,15-乃至1,19-二氟化合物。这是超远程氟迁移反应的首次报道,将氟迁移距离突破性地延长至19个化学键。
在优化条件下,通过调节偕二氟亚甲基烯烃与氮杂环的当量比,实现了 1,6-与 1,7-二氟化产物的高效选择性合成。多种取代的环张力氮杂环作为底物均能以良好产率生成目标产物。该反应兼容含各类官能团、稠合芳环及杂环结构的偕二氟亚甲基烯烃,体现了良好的普适性。此外,该方法成功应用于雌酮、吉非罗齐和维生素 E 等复杂分子的衍生底物。
后续研究致力于将远程氟迁移的应用范围拓展至1,11与1,15位点。为获得相应的1,11-与1,15-二氟化产物,研究系统探索了多种策略。然而,尽管进行了大量尝试,仍未能实现这两种产物的专一性生成。这很可能源于Pt-F穿梭过程固有的分子内反应特性——在反应条件下,1,7-二氟化产物的生成始终具有动力学优势且难以逆转。
研究发现,当偕二氟亚甲基烯烃与氮杂四元环以1:4的比例反应时,可同时获得中等收率的1,7-与1,11-二氟化产物,且该反应展现出优异的官能团耐受性。将氮杂四元环的用量增至6当量时,反应可同时生成三种产物:1,7-、1,11-与1,15-二氟化产物,其中超长程的1,15-二氟化产物能以约20%的产率被分离。通过进一步提高反应浓度,成功分离得到产率为7%的1,19-二氟化产物(四单元插入氟迁移产物),这证实了实现更长距离氟迁移的可能性。值得注意的是,几种产物的极性差异显著,使得其分离纯化和结构表征相对容易进行。
通过一系列控制实验、竞争实验及中间体实验证实,该反应的核心机制在于铂氟穿梭过程:即通过连续的亲核插入与配体交换,铂以高区域选择性和原子经济性引导氟原子发生迁移。系统研究表明,氟原子迁移的距离受底物当量调控;机理研究进一步证实,选择性的碳氟键形成是由配位的铂氟物种介导,而非游离的氟负离子。
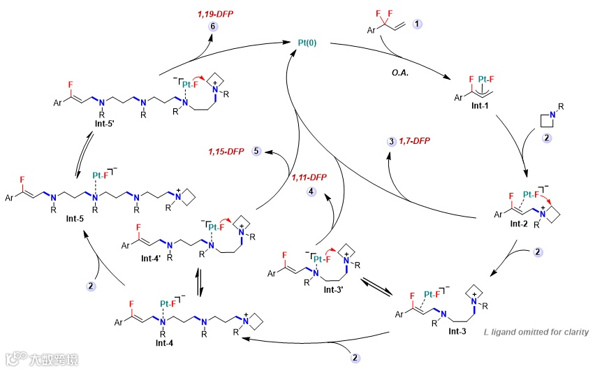
具体机理如下:Pt(0) 首先对底物 1 进行氧化加成,生成中间体 Int-1;随后,氮杂环丁烷 2 亲核进攻 Int-1 形成 Int-2。Int-2 经分子内铂氟进攻生成产物 3,同时再生 Pt(0)。当 2 过量时,Int-2 可受到第二个 2 分子的亲核进攻,生成 Int-3/3';再经配体交换及随后的开环反应生成产物 4。该路径持续迭代,依次生成 Int-4/4' 和 Int-5/5',最终得到超远端 1,15-双氟产物 5 和 1,19-双氟产物 6。理论上,该过程可进一步延伸生成 1,23-双氟产物,但实验中未观测到此类物种。这可能是由于反应进行到超远程迁移时,反应活性降低且中间体稳定性下降,导致此类产物浓度过低而无法检测。
尽管本研究成功实现了 1,6-、1,7-、1,11-、1,15- 乃至 1,19- 氟迁移,但精确控制迁移距离仍具挑战性。机理研究表明,这是由于 Pt-F 穿梭剂和氮杂环丁烷对 Int-I 的亲核进攻能力非常匹配,虽能实现多单元插入,却也导致反应难以偏向特定的单一超远程迁移位点。
该研究为催化反应中的远程氟转移建立了一个可编程平台,为远程碳氟键编辑提供了蓝图,在分子工程、药物研发及含氟材料领域具有广泛意义。这一成果近期发表在JACS 上。常州大学2023级硕士研究生王翌斌为第一作者,常州大学陈铭教授为论文通讯作者。
原文(扫描或长按二维码,识别后直达原文页面):

Platinum-Catalyzed C–F Bond Reconstruction via Multi-Unit Insertion for Remote Fluorine Migration
Yi-bin Wang, and Ming Chen*
J. Am. Chem. Soc. 2025, DOI: 10.1021/jacs.5c08669
导师介绍
陈铭
https://www.x-mol.com/groups/chenming


