喹啉及其衍生物是许多抗疟疾、抗癌药物的核心结构,如何通过简单方法实现喹啉骨架的可切换、高选择性编辑,一直是化学家面临的挑战。为了应对这一难题,上海交通大学药学院吴华课题组提出了一种有机催化的芳香杂环编辑新策略,即发展基于喹啉氮氧化物、丁炔二酸酯和水的多组分环化重排反应,通过一锅法和简单的酸碱切换,实现了喹啉衍生物的定向和发散性骨架编辑,为杂环药物筛选提供丰富候选分子。相关成果近日发表在Nature Chemistry(《自然•化学》)期刊上。论文通讯作者是吴华,第一作者是博士生田迪。
在药物研发领域,喹啉及其衍生物是许多抗疟疾、抗癌药物的核心结构。然而,传统化学修饰通常仅能针对喹啉的侧链或官能团进行局部改造,若要直接“裁剪”或“重组”其骨架结构,往往需要多步繁琐反应,且难以灵活控制产物的多样性。如何通过简单方法实现喹啉骨架的可切换、高选择性编辑,一直是化学家面临的挑战。当前,虽有方法可通过选择性插入、删除或转化原子提升分子核心结构多样性,但常需依赖不同独立策略及特定底物修饰产物核心,限制了在结构-活性关系研究中的广泛应用。
本研究聚焦于打造药物库构建的“模块化工具箱”,具有以下显著特点:(1)通过简单改变酸碱条件,一锅法精准合成不同骨架结构。相比传统多步、复杂条件的合成方式,该方法简化了操作,节约时间与成本,有效提升药物相关分子的合成效率。(2)基于同一底物,即可衍生出线性、环状、平面及立体等多种结构的化合物,为药物筛选提供丰富候选分子,有助于研发人员寻找潜在药物。(3)喹啉骨架的可编辑能力,有利于相关药物分子的结构优化,加速药物研发进程。(4)该技术为复杂药物分子设计开辟新途径,未来有望拓展至其他含氮杂环的骨架编辑。
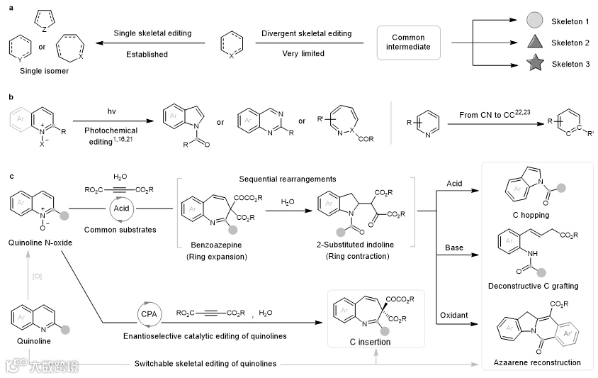
上海交大吴华课题组专注于以重排化学为基石的杂环合成及杂环编辑研究,前期开发了催化不对称环化重排(CACR)策略,实现了一系列含氮季碳立体中心杂环骨架的高效构建(ACIE, 2023, 62, e202217954; ACIE, 2023, 62, e202313797; ACIE, 2024, 63, e20231718; Adv. Sci., 2024, 11, 2402532; JACS, 2024, 146, 26387)。近日,该小组成功将双组分/多组分环化重排策略,从杂环构建拓展至杂环编辑领域,实现了基于相同底物和关键中间体、“手术刀式”的精准发散性合成。该方法利用简单易得的喹啉氮氧化物、丁炔二酸酯和水作为反应物,通过环化和连续重排过程,生成五元至七元杂环以及线性化合物四种不同类型的分子骨架。这一策略不仅能够高效地构建分子复杂性和多样性,还能通过简单的反应条件切换实现不同的产物骨架(图1)。
图1. 研究背景和反应设计
首先,作者以2-苯基喹啉氮氧化合物和丁炔酸二甲酯作为模板底物,通过一系列条件筛选,作者发现Brønsted 酸对中间体 2-取代吲哚啉的生成至关重要。当使用二苯基磷酸作为催化剂时,于1,2-二氯乙烷(DCE)中,在 60 °C的温度下反应 12 小时,以89%收率生成2-取代吲哚啉。随后研究表示,在一锅法中添加三氯乙酸,高效脱去2-取代吲哚啉的侧链,可生成N-酰化吲哚。在得到最优的反应条件后,作者对此转化的底物兼容性进行了考察(图2)。结果显示喹啉2-位上不同官能团化(如苯基、杂芳基、烯基、烷基等)的底物均能实现这一转化,以良好的产率得到所需的N-酰基吲哚(1-18)。同时,喹啉氮氧化合物3位及5位至8位的缺电子取代基(F、Cl、Br、NO2)和富电子取代基(Me、OMe)都能很好地兼容,以优异的收率得到相应的产物。此外,这种转化还能够耐受多种药物化学中常见的官能团,例如氨基甲酸酯(NHBoc)(24)、三异丙基甲硅烷氧基(OTIPS)(27)、甲苯磺酰氧基(OTs)(28)。作者还展示了该方法在药物分子后期修饰中的应用潜力。通过简单的一步反应,该方法可以将解毒喹、替利喹诺、布洛芬、丙磺舒、萘普生、阿司匹林和吉非罗齐等药物衍生物中的喹啉骨架部分转化为相应的吲哚衍生物。这一方法不仅操作简单,而且对空气和水分不敏感,具有广泛的底物适用性和良好的官能团兼容性。
图2. 喹啉骨架编辑为吲哚的底物范围
实现从喹啉环到吲哚环的转化后,作者进一步研究发现,在一锅法中加入甲醇和三乙胺,可以实现喹啉到2-烯基苯胺的合成(图3)。这种线性化合物是构建各种重要杂环(如吲哚、喹啉)的前体。紧接着作者对喹啉N-氧化物普适性进行了考察,结果表明该方法具有广泛的底物适用性。含有不同位置不同电性取代基(如电子供体和电子受体基团)的喹啉N-氧化物均能顺利参与反应,生成相应的2-烯基苯胺。
图3. 喹啉骨架编辑为2-烯基苯胺的底物范围
接下来,作者研究了将喹啉骨架编辑成更复杂的苯并杂环。在2.0当量DDQ存在下,原位形成的2-取代吲哚进一步经历自由基环化过程,生成天然产物类似物异喹啉酮(图4)。
图4. 喹啉骨架编辑异喹啉酮的底物范围
尽管骨架编辑领域已取得一定进展,但不对称的单原子骨架编辑却少见报道。作者进行条件筛选后发现,使用BINOL骨架磷酸HA*作为催化剂,可以实现了喹啉骨架到苯并氮杂䓬的不对称编辑(图5)。该反应的对映选择性源自手性磷酸催化的苯并氮杂䓬类化合物与水的动力学拆分过程,并且副产物 2-取代吲哚啉的生成是导致产物产率中等的原因。
图5. 喹啉对映选择性催化骨架编辑制备苯并氮杂䓬的底物范围
在机理研究过程中,作者使用了 H218O作为示踪剂,有力地证明了水是以分子间作用的方式参与到反应之中(图6)。在反应中,首先通过喹啉N-氧化物与二烷基乙炔二羧酸酯的[3+2]环化/[3,5]-σ重排/环扩张级联反应生成苯并氮杂䓬中间体。随后,苯并氮杂䓬与水在布朗斯特斯酸催化下发生半缩醛化/逆Mannich/aza-Michael加成反应,生成2-取代吲哚啉。进一步的反应步骤包括通过三氯乙酸促进的离去反应生成吲哚,通过三乙胺促进的环开裂生成2-烯基苯胺,以及通过DDQ促进的自由基环化生成异喹啉酮。
图6. 反应机理研究
小结
作者开发了一种环化连续重排策略,用于芳香杂环骨架的发散性编辑。从相同的底物出发,通过简单的反应条件切换,一锅法高效构建了结构多样性的吲哚、2-烯基苯胺和稠合异喹啉酮衍生物。此外,基于手性磷酸催化,还实现了喹啉类化合物的不对称催化骨架编辑。该策略成功应用于一系列药物分子的后期修饰,为杂环药物多样性合成及后期发散性改造提供了重要途径。
原文(扫描或长按二维码,识别后直达原文页面):

Switchable skeletal editing of quinolines enabled by cyclizative sequential rearrangements
Di Tian, Yu-Ping He, Lu-Sen Yang, Zhuo-Chen Li & Hua Wu
Nat. Chem., 2025, DOI: 10.1038/s41557-025-01793-0
导师介绍
吴华课题组网页https://www.x-mol.com/groups/wu_hua


