研究背景
七元和八元碳环作为关键结构单元广泛存在于ingenol、紫杉醇等具有重要生物活性的天然产物中(图1A)。然而,传统合成方法常面临步骤繁琐、选择性差等挑战,发展高效构建中环体系的方法仍是有机合成领域的重要课题。北京大学余志祥课题组长期致力于发展金属催化成环反应,前期已开发多种成环策略来构建七元和八元碳环。他们认为二烯环丙/丁烷的1,5-σ迁移扩环反应有望成为一种高效的合成方法。这一方法虽然直接,但十分具有挑战性,文献中有许多关于乙烯基环丙烷(VCP)重排的报道,但对于普通的二烯环丙烷来说,在各种金属催化剂条件下更倾向于生成五元环和三烯的副产物,难以生成七元环。而对于二烯环丁烷,他们发现其在铑催化剂下不反应(图1B)。
近日,北京大学余志祥课题组在《德国应用化学》(Angew. Chem. Int. Ed.)报道他们成功开发了铑催化的1,5-σ迁移环扩张反应(SMRE),可以将偕二氟取代的二烯基环丙烷(df-DECPs)和环丁烷(df-DECBs)转化为含有七元和八元碳环的化合物。该反应通过“脱氟卡宾化”机制,绕过了传统反应中难以克服的还原消除步骤,为环系化合物的高效合成提供了全新策略。从反应结果来说,烯基二氟作为一种烯酮等价物(gdFEKS),克服了烯酮高度活泼、难以和铑催化剂兼容的困难(图1C)。
图1. 含有七八元碳环的天然产物及迁移扩环反应
底物拓展
作者以标准底物1a进行条件优化,确定最优体系为[Rh(CO)₂Cl]₂催化剂、六氟异丙醇/水混合溶剂,70 °C反应1小时能以90%收率获得七元环产物2a。该反应展现优异的皮实性,甚至在白酒溶剂中仍可保持83%的收率。底物适用性研究表明:C5位苯基、烷基、硫醚取代基均兼容,C2-C6位多样化取代可获得中等到优秀的产率(图2A)。值得注意的是,中间双键构型显著影响反应动力学——E-1g在1小时内完全转化,而Z-1g需延长至17小时且收率降至36%。该方法还可高效构建七元并环及三环体系。一些失败的例子列举在图2B,此外,将二氟换为二氯和二溴均不能得到目标产物。克级规模实验验证了实用性,0.5 mol%催化剂负载下获得73%收率的2a,并伴随少量1,5-H迁移副产物4a(图2C)。随后,他们将这一方法用于一些复杂分子的后期环同系化反应(其中的5/8底物由该课题组发展的[5+2+1]反应合成),经过三步反应即可得到增加一个七元环的产物(图2D)。
图2. 底物拓展和合成应用
随后作者对二氟二烯环丁烷进行拓展,这一方法也可以用于合成具有不同取代模式和不同并环的八元环化合物(图3)。
图3. 二氟二烯环丁烷的1,5-迁移扩环反应
机理研究
视觉动力学实验表明反应对催化剂呈0.5级、对底物呈0级依赖性,提示催化活性物种为单体铑配合物,二聚体可能作为“休眠种”存在。关键控制实验发现:加入三乙胺作为碱或者加入分子筛除水时可捕获烯基氟中间体3a,该中间体经酸性条件水解可快速转化为终产物2a(图4)。
图4. 控制实验
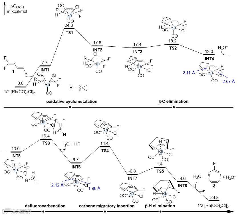
作者进行了计算化学研究,发现反应底物1首先和铑催化剂配位得到中间体INT1,再发生氧化环金属化(TS1,能垒为24.3 kcal/mol)生成中间体INT2,在这里氟元素极大降低了这一步的能垒(约10 kcal/mol),随后发生β-C消除(TS2)得到铑杂八元环中间体INT4,此时直接还原消除生成C(sp3)‒C(sp3)键是十分困难的,而在氟原子的加持下,中间体可以通过脱氟卡宾化断裂C‒F键(TS3),得到铑卡宾中间体INT6,随后发生卡宾迁移插入过程(TS4)得到中间体INT7,再发生β-H消除(TS5)得到烯基氟中间体3,最后再酸性条件下水解得到最终七元环酮产物2(图5)。
图5. 1,5-σ迁移扩环反应的吉布斯自由能面
总结
北京大学余志祥课题组发展了铑催化二氟二烯环丙烷和二氟二烯环丁烷的1,5-σ迁移扩环反应,来合成七元和八元碳环(图6)。特殊的氟取代基不仅促进了氧化环金属化过程,同时可以在水合质子条件下发生脱氟卡宾化过程,通过卡宾迁移插入实现C‒C键的构建,避免了困难的还原消除步骤。这一反应在克级规模上只需要0.5 mol%的催化剂,同时这一方法也可以快速地实现复杂分子的后期环同系化,体现了这一方法的应用潜力。总反应结果来看,二氟乙烯基基团在反应中作为烯酮等价物(gdFEKS),可以预见这一策略将在成环反应中有更广泛的应用。
图6. 北京大学余志祥课题组:铑催化1,5-σ迁移扩环反应合成七元和八元碳环
本文的研究工作是在余志祥教授指导下由课题组的博士研究生黄智强和赵思璇完成的,课题组王熠博士和周艺博士对反应机理的探讨提供帮助,感谢国家自然科学基金委的资助和北京大学高性能计算平台的支持。
原文(扫描或长按二维码,识别后直达原文页面):

Rhodium-Catalyzed 1,5-Sigma Migratory Ring Expansion of gem-Difluorodienyl-Cyclopropanes and Cyclobutanes
Zhiqiang Huang, Sixuan Zhao, Zhixiang Yu
Angew. Chem. Int. Ed. 2025, DOI: 10.1002/anie.202500074
余志祥教授简介
余志祥教授于武汉大学(1987−1991)、北京大学(1994−1997)和香港科技大学(1997−2001)分别获得学士、硕士和博士学位。随后他于2001−2004年在加州大学洛杉矶分校进行博士后研究。2004年,他加入北京大学化学学院,任副教授、博士生导师,理论和合成有机化学研究课题组组长(Principle Investigator)。他于2008年获得国家杰出青年基金资助,晋升为教授。2015年他获聘为教育部长江学者特聘教授。他现在也是北京大学博雅特聘教授。
余志祥教授在有机化学和计算化学领域开展科研工作,在成环反应的发展和应用、有机化学反应机理研究这两个方向上做出了许多创新工作。
针对环系骨架构造的方法不多或中环难以构建的科学问题,余志祥教授发展了20多种成环反应(如[5+2+1]、[4+2+1]、[5+2]、[4+3]、[3+2+1]、[5+1]、[4+2]和[3+2]反应等)并研究这些反应的机理。这些成环反应为高效合成复杂环状分子提供了新工具。余志祥教授以及国内外其他课题组还将他的多个成环反应如[5+2+1]、[3+2+1]、[5+1]反应等用于复杂环状天然产物的全合成,彰显了这些成环反应的实用性和影响力。另外,他的[5+2+1]反应也被同行称为Yu-[5+2+1]反应。余志祥教授还发现了常温常压下芳环氢化的反应。
余志祥教授除了研究金属催化成环反应机理外,他还对陆-[3+2]反应、Corey的环氧化/环丙烷化反应、Petasis−Ferrier重排反应、烯酮以及烯酮亚胺阳离子与烯烃的分子内[2+2]反应、卡宾插入反应, 以及许多实验合作者的原创反应等五十多种反应的机理进行研究,揭示了这些反应的具体反应途径以及影响反应活性和选择性的原因,为化学家理解/应用/优化/设计/发展反应提供参考。在发展反应模型和理论上,余志祥教授提出了质子迁移模型、内型/外型氧化环金属化反应模式、分子亲核性/亲电性与分子前线轨道能量相关理论等。余志祥教授通过理论计算还发现了第一例在实验上存在的金属杂克莱森重排反应。这些科研工作推动了反应机理研究和物理有机化学的发展。
余志祥教授获得的主要荣誉有:
1. 药明康德生命化学研究奖-学者奖, 2018;
2. 北京大学拜尔研究者奖, 2018;
3. 教育部长江学者,2015;
4. 全国百篇优秀博士论文指导导师, 2012;
5. 中国化学会-Sci-Finder有机合成创造奖, 2011;
6. 中国化学会-巴斯夫公司青年知识创新奖, 2011;
7. 中国化学会-物理有机化学奖, 2011;
8. 国家杰出青年基金获得者,2008。
https://www.x-mol.com/university/faculty/8608


