作为改变世界的七大化学分离之一,复杂苯衍生物的按需分离在石化行业中非常重要且极具挑战性。作为苯(Bz)的加氢产物,环己烷(Cya)和环己烯(Cye)可用于氧化制备环己醇/环己酮,进而用于生产尼龙6和尼龙66。相比于Cya路线,Cye的更经济环保。Bz完全加氢生产Cya容易完全转化无需复杂分离,但部分加氢生产Cye则总会产生三元Bz/Cye/Cya混合物。目前,工业上需要多级萃取蒸馏才能获得高纯Cye,能耗和污染问题显著。
多孔配位聚合物(PCP)或金属有机框架(MOF)凭借其可设计的孔道结构特性为高效吸附分离提供了新途径。然而,几乎所有已报道的多孔材料都显示出正常的Bz/Cye/Cya选择性,它们可用于纯化最强吸附的Bz或最弱吸附的Cya,但不适合Cye的纯化。理论上,具有正和反Bz/Cye/Cya选择性的两个吸附剂的串联可能通过一步吸附直接获得Cye。不过,到目前为止,还没有Bz/Cye/Cya完全反转选择性的报道。
中山大学陈小明/张杰鹏团队教授团队开创了金属多氮唑框架(metal azolate framework, MAF)体系,并通过框架和孔结构的精准设计,实现了多种混合物的反转选择性。例如,亲水孔道捕获疏水分子的反转乙烯/乙烷分离(Nat. Commun. 2015, 6, 8697)、控制客体构型反转C4烯烃/烷烃吸附选择性、“中间尺寸分子筛”的苯乙烯/甲苯/苯的反尺寸筛分(Nat. Mater. 2019, 18, 994)等。针对三元Bz/Cye/Cya混合物分离,陈小明/张杰鹏/周东东团队前期将经典门控结构MAF-4中2-甲基咪唑配体替换成3-溴三氮唑,在保持框架不变的情况下,引入卤键作为新的门控机理,实现了破纪录的Bz/Cye/Cya分离选择性(Chem. Sci. 2025, 16, 3307)。此外,该团队还设计出一例具有小孔径的高稳定MAF-40材料,利用孔表面极性基团和客体的差异性扩散同样实现了高效的Bz/Cye/Cya选择性(Chin. J. Struct. Chem. 2025, 44, 100540)。
最近,中山大学周东东/林锐标/张杰鹏等人在前期的研究基础上,设计合成了两例具有相反Bz/Cye/Cya吸附选择性的新型MAF材料,可用于高效分离/纯化Bz/Cye/Cya混合物。单一的正或反选择性的MOF材料可以在一步吸附过程中直接获得高纯Cya或Bz;将两种吸附剂串联可以在一步吸附过程中直接获得高纯Cye(图1a-c)。本文还提出了一种旁路串联策略,不仅可以大大提高Cye产量,还可以同时获得高纯Cya(图1d)。
图1. 单一或组合型选择性材料经过一次吸附操作后可分离/纯化出混合物中不同的产品。
单晶X射线衍射显示,MAF-55 (1)和MAF-56 (2)均结晶于三方空间群,并具有相似的三维(3D)蜂窝状配位框架和1D“糖葫芦”型孔道(图2)。值得注意的是,它们显示出不同的孔径和相反的孔表面特征。对于1,孔腔(8.2×9.3×9.3 Å3)相对较小,但孔径(4.6 Å)相对较大,孔表面装饰着丰富的疏水乙基(图2)。相反,2具有相对较大的空腔(9.0×9.0×14.2 Å3)和相对较小的孔径(4.2 Å),孔表面装饰着丰富的亲水羟基和未配位的咪唑N原子(图2)。
图2. 1和2的晶体结构。
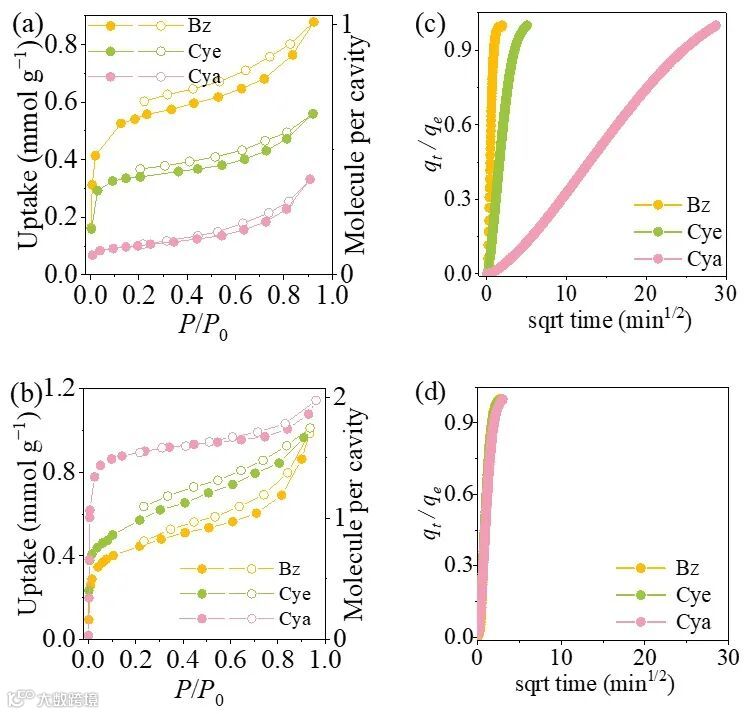
单组份吸附等温线表明,1和2都能吸附Bz/Cye/Cya,但表现出不同的吸附行为(图3a,b)。1呈现出了Bz > Cye > Cya常见吸附顺序,其吸附量差异显著(图3a)。而2则展现出完全逆转的Cya > Cye > Bz的吸附顺序(图3b),这是Cya/Cye/Bz吸附选择性完全反转的首个例子。吸附动力学测试表明,1中不同客体扩散差异显著,而2中不同客体扩散差异不大(图3c.d)。
图3. 298 K时1(上)和2(下)的单组分吸附行为。
三元混合物吸附分离测试表明,1表现为正常的Bz/Cye/Cye选择性,计算得到Bz的初始选择性高达129(图4),为目前该三元混合物分离材料的最高值。2表现为反常的Cya/Cye/Bz选择性,计算得到Cya的初始选择性为9.4(图4)。此外,还测量了它们在二元混合物的吸附选择性,其显示的顺序与三元混合物的顺序相同。而且,观察到的Bz/Cya选择性为207,是所有多孔材料中最高的值之一,Bz/Cye选择性为55,也是所有多孔材料的最高值。
图4. 1(上)和2(下)混合物组分吸附分离性能。
为了进一步评估动态条件下的实际分离行为,使用等摩尔Bz/Cye/Cya溶液进行了柱穿透分离实验(图5)。正如预期的那样,1和2的突破时间分别遵循Bz > Cye > Cya和Cya > Cye > Bz。三元混合物流过1时,在Cye的穿透点之前,可以获得0.20/0.39 mmol g−1的高纯度(99.9/99.5%+)Cya(图5a);流过2时,在Cye的穿透点之前,可以获得0.08/0.25 mmol g−1的高纯度(99.9/99.5%+)Bz(图5b)。考虑到这两种MOF具有相反的吸附选择性和穿透顺序,将两个吸附剂串联起来(记为柱1-2),可直接纯化出0.17/0.37 mmol g−1的高纯度(99.9/99.5%+)Cye(图5c)。
图5. 等摩尔Bz/Cye/Cya混合物的液相穿透曲线。
本文指出,在实践中混合物不必通过所有串联柱,可以在中间引入三通阀。当混合物通过第一个材料后,优先流出的高纯度组分可以先通过旁路收集,后续的混合物再流入第二柱子。与传统的单向串联分离策略相比,这种旁路串联策略不仅可以直接纯化另一种组分,还可以减少第二柱的负载,从而延迟杂质的穿透时间,并为目标组分提供更高的纯化性能。测试表明,在第一个柱子中Cye的突破点之前(14分钟),可以从旁路收集0.36 mmol g−1(基于1的质量)高纯度(99.5%+)Cya(图5d)。之后,切换三通阀以启用第二个柱子。30和70分钟后,Cye和Cya分别开始从第二个柱中流出。两个突破点之间的时间间隔(40分钟)比传统单向串联柱的时间间隔(24分钟)长得多。因此,高纯度(99.9/99.5%+)Cye的生产量大大提高到0.29/0.57 mmol g−1(图5d)。
小结
该研究首次实现一步吸附从三元混合物中获得纯Cye,也首次提出旁路串联策略,实现一步吸附从多组分混合物中获得双组分纯产品,为实际应用中复杂混合物的按需分离/纯化提供了启示。
原文(扫描或长按二维码,识别后直达原文页面):

Inversed Benzene/Cyclohexene/Cyclohexane Adsorption Selectivities for One-Step Purification of Cyclohexene and Beyond
Dong-Dong Zhou,* Xi Feng, Ding-Yi Hu, Xiao-Tong Lu, Fang-Di Dong, Zi-Luo Fang, Rui-Biao Lin,* Jie-Peng Zhang,* and Xiao-Ming Chen
J. Am. Chem. Soc., 2025, DOI: 10.1021/jacs.5c03564
通讯作者介绍
周东东,教授,博士生导师,2016年毕业于中山大学,获博士学位;后以特聘副研究员身份在陈小明&张杰鹏教授团队开展科研工作;2019年起在中山大学化学学院工作,历任副教授、教授;从事动态/柔性多孔材料结构设计及其在吸附分离、催化等方面的应用;已发表学术论文80余篇,H指数30,其中以第一/通讯作者在Nat. Mater.、Sci. Adv.、JACS (3篇)、Angew. Chem. (3篇)、CCS Chem.等国内外知名期刊上发表论文30多篇;主持国自然面上(2项)、青年基金等项目;入选2023年度广东省重大人才工程青年人才、2021年度美国化学会Cryst. Growth Des.新锐科学家、2024年度英国皇家化学会J. Mater. Chem. A新锐科学家;担任SmartMat和Chin. J. Struct. Chem.期刊青年编委。
林锐标,教授,博士生导师,2014年毕业于中山大学获博士学位,2014‒2015年在中山大学化学学院从事助理研究员工作,2016‒2020年在美国德克萨斯州大学圣安东尼奥分校从事博士后研究员工作,2021年至今在中山大学化学学院工作。从事于功能多孔材料的合成,气体吸附分离等领域的应用基础研究。在Science, Nat. Mater., Nat. Chem., Chem. Soc. Rev., Acc. Chem. Res., J. Am. Chem. Soc., Angew. Chem., Nat. Commun., Chem, Adv. Mater.等国际学术期刊上发表论文130多篇,H指数62,总引用超16000次。多次入选科睿唯安全球高被引科学家。
张杰鹏,教授,博士生导师,2005年毕业于中山大学获博士学位,2005‒2007年在日本京都大学从事博士后工作,2007年至今在中山大学化学学院工作,历任副教授、教授;从事配位聚合物等分子基晶态多孔材料的设计合成与功能研究,在Science、Nat. Mater.、Nat. Commun.、Chem、J. Am. Chem. Soc.、Angew. Chem.等期刊上发表论文170多篇,H指数74。2011年获中国化学会青年化学奖,2012年获国家杰出青年科学基金,2015年入选长江学者特聘教授,2016年获政府特殊津贴,2019年获中国青年科技奖和广东省自然科学奖一等奖(第一完成人),2020年获科学探索奖,并多次入选全球高被引科学家名录。


