烯醇负离子是一类重要的反应中间体,其α-碳原子的sp2杂化特性使其具有平面构型。基于这一前手性平台分子的不对称C-官能团化反应(如芳基化、烷基化、烯基化、Aldol反应以及共轭加成等,图1A)已成为不对称合成领域的重要策略。近年来,利用1-芳基-2-四氢萘酮类化合物快速异构的特性,基于其烯醇中间体的动态动力学不对称O-官能团化策略,已发展成为合成阻旋异构体的有效方法(图1B)。因此,开发新型反应平台对拓展不对称合成具有重要意义。此外,作为双亲核试剂,烯醇负离子转化的区域选择性控制一直是合成化学中的挑战;而通过实现其区域选择性的C/O-官能团化反应,可为复杂分子的发散性合成建立新的方法。
图1. 烯醇负离子介导的不对称合成。图片来源:J. Am. Chem. Soc.
近期,郑州大学邓瑞显课题组利用对称烯醇负离子作为可编辑合成子,开发出一种催化剂控制的可切换不对称C/O-酰基化策略,实现了N-C和N-N轴手性吡啶酮类化合物的发散式合成(图2)。这一策略的关键在于开发新型手性4-吡咯烷基吡啶(PPY)衍生物及PPY-N-氧化物作为正交的酰基转移催化剂,PPY选择性促进了极具挑战性的直接C-酰化反应,而PPY-N-氧化物则专一地介导O-酰化反应。相较于传统酰基转移催化剂主要局限于中心手性构建,新型催化剂凭借其出色的阻旋选择性控制能力,显著拓展了该类催化剂可构建的手性分子体系范围。
图2. 催化剂控制对称烯醇的选择性C/O-酰基化反应。图片来源:J. Am. Chem. Soc.
在手性PPY衍生物催化下,不对称C-酰化反应展现出优异的官能团兼容性,可耐受卤素、环丙烷、碳碳双键等基团(图3)。阻旋异构轴邻位取代基的空间位阻对反应立体选择性影响显著:当叔丁基替换为异丙基时,ee值显著降低。值得注意的是,芳基、稠环芳基及杂环取代底物仍可获得高ee值 (> 92%)。氯甲酸酯取代基对反应影响较小,即使叔丁基等大位阻基团也能良好兼容。通过手性薄荷醇、胆固醇及雌二醇衍生的氯甲酸酯研究预设手性对反应的影响,发现其影响微弱,通过使用不同构型的催化剂,可以高效合成目标阻旋异构体的两种非对映异构体。此外,该策略成功应用于N-N轴手性构建,兼具高产率与高对映选择性。
图3. 不对称C-酰基化反应。图片来源:J. Am. Chem. Soc.
在手性PPY-N-氧化物催化下,不对称O-酰化反应同样具有优异的官能团兼容性(图4)。阻旋异构轴邻位取代基的空间位阻对立体选择性存在一定影响:叔丁基替换为其他基团时,ee值出现不同程度下降。值得注意的是,酸酐的大位阻取代基对反应至关重要,使用异丁酸酐为酰化试剂时仅得到消旋产物。该方法构建N-N轴手性时展现出优异的底物普适性,吲哚、吲哚啉、四氢喹啉、苯并吗啉及苯并硫代吗啉等骨架均可得到很好的结果。
图4. 不对称O-酰基化反应。图片来源:J. Am. Chem. Soc.
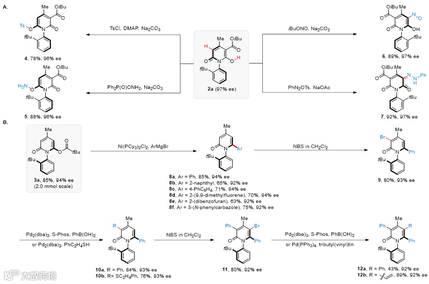
为进一步验证该反应的实用性,作者进行了一些简单的衍生化反应(图5)。2a的磺酰化反应得到目标产物4。在后续官能团化步骤中观察到显著的区域选择性差异:胺化反应优先发生在氧位点生成羟胺产物5,而亚硝化反应则选择碳位点形成亚硝基吡啶酮6。2a与重氮盐衍生物反应成功合成了相应腙类化合物7。3a在镍催化下的C-O键活化反应中表现出优异效果,能以中等至优秀收率获得芳基化衍生物8a-8f。随后使用NBS进行的区域选择性溴化反应得到了关键中间体9,并对中间体9进行了多样化官能团修饰。有趣的是,进一步溴化反应选择性地发生在吡啶酮骨架未修饰的C-H位点(11),最终实现了全取代手性吡啶酮12a与12b的合成。最后,作者对这些化合物进行了光物理和手性光学性质研究,展示了其在发光器件中应用的可能性。
图5. 产物转化。图片来源:J. Am. Chem. Soc.
综上,该研究利用对称烯醇化合物作为可编辑合成子,通过发展正交的不对称酰基转移催化体系,控制酰化反应的区域选择性和立体选择性,成功实现了N-X阻旋异构体发散性合成。衍生化实验以及对产物的光物理和手性光学性质的初步研究,进一步证实了该反应在功能分子构建中的潜力。郑州大学的硕士研究生秦俊、葛纪萌和曲宏宇为本文的共同一作,郑州大学的邓瑞显副教授为本文的通讯作者。该研究获得了国家自然科学基金、河南省科技研发计划联合基金和中国博士后科学基金的支持。
原文(扫描或长按二维码,识别后直达原文页面):

Taming Enolate Regioselectivity: Catalyst-Guided Divergent Synthesis of Atropisomeric Pyridones via Switchable C- and O-Acylation
Jun Qin, Jimeng Ge, Hongyu Qu, Xiaoping Xue, Zhenhua Gu, Ruixian Deng*
J. Am. Chem. Soc. 2025, DOI: 10.1021/jacs.5c07688
导师介绍
邓瑞显
https://www.x-mol.com/university/faculty/385923

