醛基作为关键药效团广泛存在于抗肿瘤、抗感染药物中,但其高反应活性易与生物大分子发生脱靶共价结合,导致毒副作用(图1a)。研究表明,通过在醛基α位引入大位阻基团产生空间屏蔽效应,可同时保留药物活性并显著降低反应性,为药物安全性设计提供新路径。然而,传统金属催化氢甲酰化难以克服大位阻烯烃的空间排斥,现有自由基氢酰化体系无法实现非活化大位阻烯烃转化(图1b)。
图1. 大位阻醛的医学价值与传统合成瓶颈
中国科学院上海有机化学研究所陈以昀课题组与郑州大学蓝宇课题组合作,在大位阻醛的精准合成领域取得重要进展。研究团队创制了硫酚催化的自由基氢甲酰化新方法,成功实现四取代大位阻烯烃的高效转化(收率45-60%),攻克了因空间位阻效应导致传统方法难以合成该类醛基分子的科学难题。相关成果发表于《美国化学会志》(J. Am. Chem. Soc.)。
陈以昀课题组基于前期烷氧自由基研究(Angew. Chem. Int. Ed. 2016, 55, 13312; Angew. Chem. Int. Ed. 2017, 56, 12619),首次发现烷氧自由基α位HX(X = 卤素)消除新反应性,并开发新型试剂N-氯甲氧基邻苯二甲酰亚胺(作为唯一甲酰自由基前体入选EROS权威试剂库),实现甲酰自由基的高效、可控产生(Angew. Chem., Int. Ed. 2023, 62, e202213686)。在此基础上,团队创制了硫酚催化的自由基氢甲酰化体系:以N-氯甲氧基试剂为甲酰自由基源,通过3,5-三氟甲基硫酚催化实现氢原子转移,突破性完成四取代大位阻烯烃高效转化(图2)。
图2. 硫酚催化自由基氢甲酰化新策略
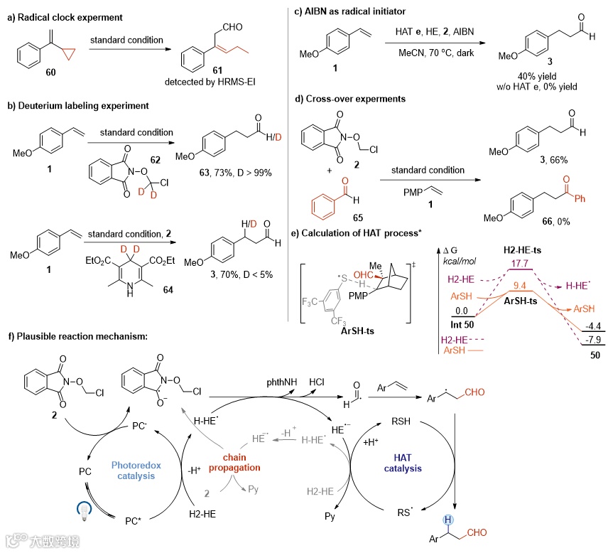
机理研究表明:自由基钟实验产生的环丙烷开环产物确认甲酰自由基加成过程(图3a);氘代标记证实甲酰基源自试剂非溶剂,并排除汉斯酯直接氢原子转移(HAT)路径(图3b);引发剂验证发现AIBN存在时仅硫酚催化获得产物,证实其对链式反应的关键作用(图3c);交叉实验中无副产物生成,否定氯自由基路径(图3d)。理论计算(蓝宇课题组合作)揭示:硫酚催化剂通过降低氢原子转移能垒(ΔG‡ = 8.3 kcal/mol),加速催化循环,解决未活化大位阻烯烃的加成难题(图3e)。
图3. 反应机理探究
该工作由王易思成(上海有机所/上海科技大学)、暴盼盼(郑州大学)、董晓娟(上海有机所/华中师范大学)共同完成,陈以昀研究员、蓝宇教授为共同通讯作者。该研究获国家自然科学基金重点项目、中国科学院先导项目、上海市科委、生命过程小分子调控全国重点实验室支持。
原文(扫描或长按二维码,识别后直达原文页面):

Thiophenol-Catalyzed Radical Hydroformylation of Unactivated Sterically Hindered Alkenes
Yisicheng Wang#, Panpan Bao#, Xiaojuan Dong#, Yu Lan*, Yiyun Chen*
J. Am. Chem. Soc. 2025, DOI: 10.1021/jacs.5c07415
陈以昀课题组主页:

