近年来,电子自旋因其独特的量子特性在前沿科技领域展现出广阔的应用前景。其中,分子自旋体系因其可通过化学工程实现自旋材料制备、自旋调控、分子级自旋传感与测量等特性而备受关注。
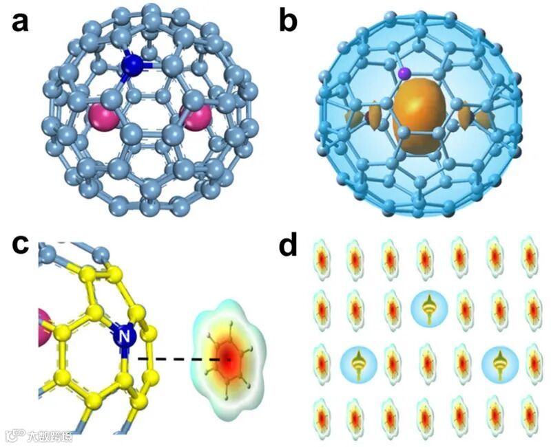
具有电子自旋特性的金属富勒烯作为一类分子自旋材料,在自旋传感与量子信息处理等领域展现出应用潜力。北京理工大学王太山课题组长期致力于基于金属富勒烯的分子自旋材料研究,在自旋性质调控与感知功能方面取得了系列创新研究成果,相继实现了内嵌金属富勒烯的电子自旋对框架材料结构和气体吸附性、超分子主客体作用、自由基弱磁场、分子取向、分子运动等物性的感知。特别是对于金属富勒烯Y2@C79N分子,其电子自旋位于笼内Y2团簇上,具有特征的电子顺磁共振(EPR)信号。他们前期研究揭示了Y2@C79N在含苯基有机材料中具有分子取向,并证明了自旋信号可灵敏感知这种分子取向。因此,进一步探索Y2@C79N在相关领域的自旋感知功能具有重要意义。
近期,他们报道了基于金属富勒烯Y2@C79N的分子自旋传感器来原位探测芳香族化合物结晶相变的研究。该研究选取了两种具有重要应用背景的芳香族化合物材料,包括广泛应用于有机太阳能电池的溶剂添加剂1-氯萘,以及典型的液晶材料5CB(4-氰基-4'-戊基联苯)。通过测量溶解在这两种材料中的Y2@C79N的变温EPR信号,研究发现Y2@C79N的EPR信号能够在分子尺度上感知芳香族化合物的结晶和相变过程。相关工作发表在国际著名期刊Nature Communications 上。该工作由来自北京理工大学、中国科学院化学研究所、贵州医科大学、太原理工大学、北京师范大学的研究人员合作完成。
图1. Y2@C79N的结构及自旋感知芳香族化合物取向示意图。
材料的结晶和相变过程深刻影响其物理化学性质及最终性能,尤其在有机电子器件和液晶显示等依赖有机晶体材料的关键领域。因此,发展能够在分子尺度上原位监测这些微观过程的新技术至关重要。如图1所示,作为一种分子自旋传感器,Y2@C79N的传感机制是氮杂富勒烯碳笼在芳香环化合物中会由于π-π相互作用而具有取向,这种取向会显著影响其EPR信号的特征(从各向同性转变为轴对称特征)。
图2. Y2@C79N分子自旋探针感知1-氯萘的结晶过程。
如图2所示,在1-氯萘体系中,Y2@C79N的变温EPR信号在245 K和230 K展现出两个清晰的转变点,分别对应1-氯萘的熔融起始点和结晶起始点。在230 K以下,结晶诱导了Y2@C79N的取向,EPR信号转变为轴对称特征。变温XRD和偏光显微镜(POM)表征结果均证实了EPR检测到的结晶转变点与常规方法高度吻合。
图3. Y2@C79N分子自旋探针感知5CB的结晶相变。
如图3所示,在液晶5CB体系中,Y2@C79N的EPR信号展现出三个转变点:290 K(对应各向同性相向向列相的转变)、270 K(对应从一种晶相C2向亚稳晶相C1ᵇ的转变)和225 K(对应从亚稳晶相C1ᵇ向另一种晶相C1a的转变)。而XRD仅能检测到270 K的转变。结果表明了Y2@C79N分子自旋传感器在监测结晶相变方面具有独特优势。
图4. Y2@C79N在5CB中结晶取向的理论计算和分子动力学模拟。
为了深入理解Y2@C79N分子自旋传感机制,与贵州医科大学赵冲副教授合作开展了密度泛函理论(DFT)计算和分子动力学(MD)模拟。如图4所示,计算结果表明,在5CB晶体中,Y2@C79N最稳定的构型是碳笼上的氮原子靠近5CB分子中连接氰基的苯环。MD模拟进一步动态展示了Y2@C79N分子在5CB晶体中的取向过程。
总结与展望
本研究开发了一种基于金属富勒烯的分子自旋传感器来原位探测芳香族化合物的结晶相变,发现了自旋EPR信号对1-氯萘和5CB化合物结晶相变的灵敏响应,实现了在分子尺度上利用分子自旋EPR信号感知芳香族化合物的结晶和相变过程。这种分子自旋探针能够渗透到芳香族材料的晶格中,并原位反映结晶相变,有望带来创新性应用。
原文(扫描或长按二维码,识别后直达原文页面):

Molecular spin sensor for in-situ monitoring of crystallization behavior and phase transition in aromatic materials
Linshan Liu, Chong Zhao, Yingjian Zhang, Zhuxia Zhang, Chunru Wang, Taishan Wang*
Nat. Commun., 2025, 16, 7170. DOI: 10.1038/s41467-025-62649-2
作者介绍
通讯作者简介:王太山,北京理工大学化学与化工学院教授,中国科学院青年创新促进会优秀会员,首届香江学者计划入选者,2020年获国家基金委优秀青年科学基金资助。从事碳基分子电子材料的研究。以第一作者或通讯作者在 J. Am. Chem. Soc., Nat. Commun., Angew. Chem. Int. Ed.等期刊发表研究论文60余篇。曾获中国科学院院长优秀奖、徐元植顺磁共振波谱学优秀青年奖等。
详情见网址:
https://www.x-mol.com/groups/wang_taishan

第一作者简介:刘琳珊,北京师范大学化学学院博士研究生,北京理工大学联合培养研究生。

