碱金属阳离子(AM+)的溶剂化在生物体系、离子分离、海水淡化,以及超级电容器、电池、燃料电池等电化学器件中至关重要。传统的双电层(EDL)结构可由 Gouy-Chapman-Stern 模型描述,但当孔径尺寸小于 2 nm 时,因双电层重叠而不再适用。纳米限域会显著改变离子与孔壁的相互作用及溶剂化壳层结构,进而催生不同于本体溶液的传输与分离特性。在纳米限域空间内,外加电化学势还会进一步调控AM+的溶剂化动力学。准确表征这些在快速电化学过程中发生于纳米限域孔隙内的界面变化,长期以来颇具挑战。
基于此,加州大学洛杉矶分校段镶锋教授团队利用其此前发展的operando 电输运谱(Electrical Transport Spectroscopy, ETS)技术,揭示了AM+ 在 MXene 薄膜中的嵌入与脱溶剂化动力学过程,并进一步建立了溶剂化结构相图。具体为,水合 Li+进入 MXene 层间时会部分脱除第二溶剂化壳层,负极化下进一步促使脱溶剂化,直至仅保留第一溶剂化壳层;更大半径的阳离子表现出第二壳层收缩的相区。以Na+为例,高浓度下仅保留第一壳层,低浓度下能部分保留第二壳层,但在负极化下仍会失去第二壳层;而 K+在全相图范围内仅保留第一壳层。上述相图揭示了“阳离子尺寸—浓度—电势”三者对溶剂化状态的耦合调控,为电化学器件材料的理性设计提供了参考。相关工作发表在Journal of the American Chemical Society 上。
Operando ETS的工作原理
电输运谱ETS采用四电极配置。在这种配置下,通过参比电极精确调节施加在MXene薄膜上的电化学势,以驱动所需的离子嵌入/脱嵌过程,同时监测MXene电化学界面的电导率。由于MXene纳米片中的电子迁移率(2-4 cm2•V–1•s–1)远高于电解液中的离子迁移率(4-8 × 10–4 cm2•V–1•s–1),MXene薄膜电化学响应的任何变化都会引起ETS测量的即时响应。因此,MXene薄膜电导演变的operando测量提供了一种可靠有效的信号通路,可以揭示MXene限域空间内水合阳离子在不同电化学电位下的界面特性。增加栅极电位(VG)会驱动阳离子插入,从而诱导MXene中的电子载流子增多,导致ETS测量中的ISD或GSD增大,遵循以下关系(公式1和2):
其中μ为电子迁移率,C为栅极电容,VG为栅极电压,VTH为阈值电压,VSD为源漏电压,εo为真空介电常数,ε为相对介电常数,d为MXene纳米片与阳离子之间的距离,W/L为宽长比。
图1. Operando ETS工作原理示意图。
MXene 中的operando ETS 和 CV
众所周知,理想的EDL电容器在CV测量中应呈现完美的矩形形状。然而,测量过程中不可避免的寄生电阻可能导致其偏离理想形状,这可以用公式 3-5来描述:
这种与理想行为的偏差阻碍了使用CV来探究可能产生额外电容信号的去溶剂化行为的可行性。由于电子迁移率μ在测试过程中保持不变,CV曲线和𝛿GSD/𝛿V曲线(公式6)原则上评估MXene的同一电容参数(C),预期的形状应该完全相同。
然而,从同时进行的CV和ETS测量中,可以看出CV曲线和𝛿GSD/𝛿V曲线的明显差异。实验观察到微分ETS曲线(𝛿GSD/𝛿V)在 Li+嵌入(负极化)和脱嵌(正极化)过程中几乎完全对称(横轴)。相反,CV 测量在 Li+嵌入和脱嵌过程中表现出不对称的平行四边形行为。ETS测量的是 MXene 电容信号的GSD响应,它不涉及电化学电流测量,并且很大程度上不受寄生电阻分量的影响。因此,ETS 可以更准确地测量器件的真实电容(C)信号。根据𝛿GSD/𝛿V曲线,电容随电位降低而增大,如果假设介电常数在不同电位下保持不变,MXene 纳米片与Li+之间的双电层距离 (d ) 在较低电位下会变小。该实验展示了一种可能的情况是,在电势的作用下,水合Li+逐渐去溶剂化,导致水合壳层变小,从而在较低电位下d也较小,致使𝛿GSD/𝛿V值增大。
图2. 水合溶剂化锂离子嵌入MXene过程中的异常operando ETS结果。
MXene中的Li+浓度依赖性的operando ETS
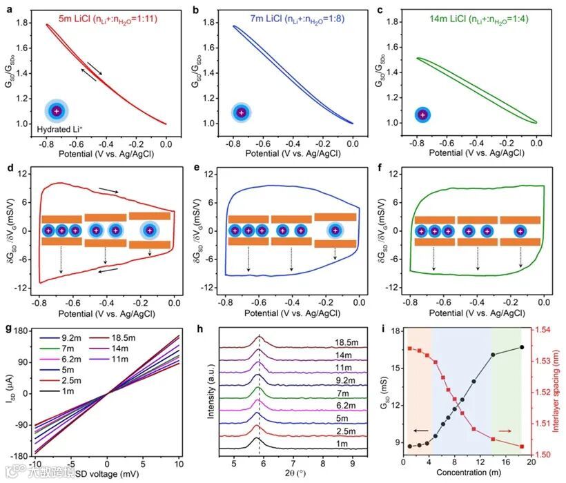
MXene纳米片层间距随电位降低而缩小可能归因于两个因素:插入物的数量或尺寸。首先,一个可能的解释是,在较低电位下,Li+的插入增加会削弱MXene纳米片之间的静电斥力,从而导致层间距缩小,这与先前的一些理解一致。如果嵌入的Li+在不同电位下保持不变(相同的溶剂化结构),并且嵌入Li+的数量起决定作用,那么应该预期在不同浓度的LiCl溶液中会有相似的ETS结果。ETS研究表明,GSD表现出显著的浓度依赖性,逐渐从低浓度下的超线性关系演变为高浓度下的线性关系。微分ETS曲线(𝛿GSD/𝛿V)逐渐从低浓度时的倾斜线过渡到高浓度时的恒定平行。LiCl电解质中随浓度增加而产生的不同行为表明,Li+插入的数量并非决定层间距的主要因素。
为了进一步测试浓度依赖性的溶剂化结构,研究团队探测了在不同Li+浓度电解质中在开路电压下的I-V曲线。总体而言,I-V曲线的斜率随着Li+浓度的增加而增大,GSD从1 m LiCl中的8.7 mS增大到18.5 m LiCl中的16.7 mS。该结果揭示了MXene的电导与Li+水合程度(或Li+的溶剂化结构)之间存在很强的相关性。为了阐明溶剂化Li+对MXene层间距的影响,研究团队还测量了不同Li+浓度下MXene薄膜的(002)衍射峰。随着Li+浓度的增加,(002)峰向更高的角度移动,从1 m LiCl中的5.75°移动到18.5 m LiCl 中的5.88°,这对应于层间距从15.34 Å 减小到15.02 Å。这一发现进一步证实了ETS信号的变化由MXene纳米片与 Li+之间距离的变化引起。
基于以上分析和结果,研究团队提出了一个模型:水合Li+在插入MXene层间时可能会部分脱除第二溶剂化壳层,并且溶剂化Li+可能会在负极化过程中继续在MXene层间经历脱溶剂化,直到仅保留第一溶剂化壳层。MXene纳米限域空间内的去溶剂化过程会减小溶剂化Li+的尺寸,从而导致 MXene 纳米片与Li+之间的距离减小,表现为MXene薄膜层间距收缩,因此,负极极化时电容增大。
图3. 不同锂离子浓度下MXene的operando ETS结果。
其他AM+的Operando ETS
对于K+情况,在测量的电解质浓度和电化学电位范围内,微分 ETS 曲线的值几乎保持不变,表明K+插入MXene层间就不会进一步脱溶剂化。这种行为与高浓度下Li+和Na+的行为相似。这可以归因于K+较低的水合能,该水合能不足以在插层过程中保留第二溶剂化壳层,插层后仅保留第一溶剂化壳层,无论电解质浓度或电化学电位如何。
图4. MXene在Na+和K+溶液中的operando ETS结果。
AM+水合相图
随着阳离子尺寸、阳离子浓度和电化学势的增加,不同AM+的溶剂化状态呈现出系统性的变化。为了更清晰地阐明MXene薄膜中二维纳米限域空间内AM+的溶剂化状态,研究团队构建了相应的相图。Li+和Na+的相图有两个区域,分别对应于具有两层溶剂化壳层或仅具有一层溶剂化壳层的区域,而 K+的相图则只显示具有一层溶剂化壳层的区域。Li+相图中对应于两个溶剂化壳层的区域明显大于 Na+相图中的区域。这种差异是由于Li+的电荷密度高于Na+,使得 Li+能够在更宽的电势或电解质浓度范围内保留第二溶剂化壳层。K+在所有电解质浓度和电位范围内仅表现出一层溶剂化壳层。这种行为归因于K+的电荷密度更低,不足以在任何电位或浓度下支撑MXene层内的双水合壳层结构。这些相图为理解纳米限域空间中AM+的溶剂化行为提供了关键见解,揭示AM+的溶剂化和去溶剂化过程如何影响层间距和离子传输动力学。
图5. MXene纳米限域空间中AM+溶剂化结构随电势和浓度变化的相图。
原文(扫描或长按二维码,识别后直达原文页面):

Operando Electrical Transport Spectroscopy Determination of Hydration Phase Diagrams of Alkali Metal Cations in Nanoconfined Spaces
Shuanghao Zheng, Aamir Hassan Shah, Zhong Wan, Yansong Ling, Boxuan Zhou, Jingxuan Zhou, Xiaoyan Liu, Ting-Jung Hsiao, Yu Huang, Xiangfeng Duan*
J. Am. Chem. Soc. 2025, 147, 40253–40263, DOI: 10.1021/jacs.5c10627
研究团队简介
段镶锋,纳米材料学专家,美国加州大学洛杉矶分校终身教授、博士生导师。1997年本科毕业后前往美国哈佛大学学习,先后获得化学硕士学位、物理化学博士学位;2002年进入美国Nanosys高科技公司工作,是该公司的联合创始人之一; 2008年进入加利福尼亚大学洛杉矶分校工作,先后担任助理教授、终身副教授、终身教授和杰出讲席教授;研究方向:纳米材料的合成、组装和表征;先进电子和光子材料与器件;能源利用、转化与存储;和生物医学传感等。
https://www.x-mol.com/university/faculty/10154

