局外人看待一项精彩的天然产物全合成工作,是匠心独运的路线设计,是炉火纯青的合成技术。然而其背后隐藏的辛苦与孤独,或许只有当事人自己知道。有人认为,全合成集合了脑力、体力与灵魂的比拼,不仅需要研究者具有足够的化学智慧,还应具备足够的耐力承受高强度的工作,更重要的是——一颗屡败屡战、不惧残缺挫败的心脏。面对合成路线中的每一步反应,一处失误可能就意味着全盘皆输,而彼时是否还有从头再来的决心,需要很大的勇气。
Vinigrol:白玫瑰?红玫瑰?
今天来聊聊一个曾经得到世界各地有机合成实验室高度关注的天然产物——vinigrol。许多人一提起这个分子可谓百感交集:没有切身投入其全合成研究的人看待它,就像窗前的白月光,寄托了不少“朝圣之人”的心愿,只消想一想便会心满意足;接触过vinigrol的人视它为心口的朱砂痣:求之不得,寤寐思服,由此成为近年来天然产物全合成研究耀眼的明星分子。
红玫瑰与白玫瑰(图片来源:花瓣网)
已知的就有二十多个独立的课题组尝试过vinigrol的全合成研究,这其中还包括有机合成领域的泰斗级人物——美国哈佛大学(Harvard University)的Elias J. Corey教授。作为逆合成分析(retrosynthetic analysis)概念的创始者,Corey教授曾从多个角度出发拆解vinigrol的分子结构,设计了多条合成路线尝试其全合成,但都以失败告终,可见这个分子有多“难搞”。
Vinigrol全合成的光荣之旅
得不到的永远在骚动,人们追随vinigrol的脚步从未停滞。
(-)-Vinigrol最早发现于1987年,日本科学家Masashi Hashimoto博士等人从一种名为Virgaria nigra F-5408的真菌中分离出这种二萜类天然产物。该分子包含两个顺式稠合的六元环(十氢化萘)与一个八元桥环。四元桥头碳中的其中两个碳分别处于顺式十氢化萘C1、C5的轴向位置,形成具有一定刚性且空间拥挤的稠合三环骨架。除此之外,(-)-vinigrol还存在八个相邻的手性中心与三个OH官能团。这种核心结构十分独特,迄今在其他天然产物分子中尚未发现。为了让大家更直观地了解(-)-vinigrol的空间结构,此处分别从分子的四个不同角度进行展示。
(-)-vinigrol的分子结构(图片来源:参考资料[1])
之所以要分离这种天然产物,是因为起初有人发现Virgaria nigra的代谢产物具有明显的抗高血压活性。随后人们又进一步对其生物活性进行研究,表明(-)-vinigrol还具有其他特性,如在低浓度时可抑制血小板凝集,而在较高浓度下又能诱导凝集。此外,(-)-vinigrol也可作为肿瘤坏死因子(TNF-α)的拮抗剂,意味着它在治疗自身免疫疾病(如内毒素休克)与抗炎方面具有巨大的潜力,还能控制艾滋病毒携带者病情的恶化发展。
(-)-Vinigrol合成的难点在于1,5-丁基十氢化萘(1,5-butanodecahydronaphthalene)部分,上文提到这种结构首次出现于天然产物中,相关的生物合成机制尚不明确,由此缺乏理论指导为人们提供有效的合成策略。研究者只能借助以往的合成经验进行“试错”。分子中八元桥环存在很大的跨环张力,加上八个相邻的手性中心,为合成(-)-vinigrol带来了诸多阻力。除此之外,即便成功构建了该分子的核心碳骨架结构,由于其空间十分拥挤,后续的官能化修饰也存在一定的困难。
这种天然产物分子分离后的二十多年里已有超过30篇学术期刊文章、十余篇博士论文讨论其合成研究进展,除了哈佛大学的Elias J. Corey教授,美国俄亥俄州立大学(The Ohio State University)的著名有机合成化学家Leo A. Paquette教授、法国巴黎综合理工大学(École Polytechnique)的Issam Hanna教授团队也曾分别多次报道了(-)-vinigrol的全合成研究工作,但纷纷以失败告终。
(-)-vinigrol合成研究进展相关的学术期刊文章与博士论文(图片来源:参考资料[1])
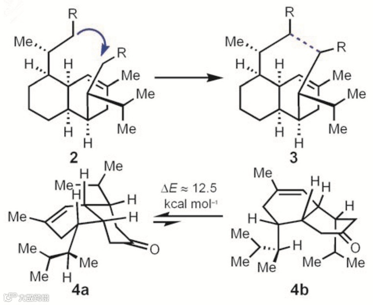
Paquette教授基于大量的研究指出,在顺式十氢化萘骨架的基础上直接搭建八元桥环十分困难。C10、C11位形成C-C键的前提条件是通过构象转变适当拉近两者的距离(如4a转变为4b),然而,他们以模型化合物4为例进行理论计算,发现4b比4a的能量高约12.5 kcal/mol,4在大部分情况下以4a的形式存在,C10、C11无法有效接近,因而很难形成C-C键。
构筑(-)-vinigrol八元桥环的难点(图片来源:参考资料[2])
逃离vinigrol的梦魇
尽管长期的坚持并没有让人们攻克这一难题,但每一次的尝试都或多或少为后人提供了建设性的指导,具有重要的参考价值,并以此积累了(-)-vinigrol丰富的合成经验。
长江后浪推前浪,E. J. Corey教授未完成的心愿,其学生的学生帮助他实现了。2009年,美国斯克里普斯研究所(Scripps Research)的Phil S. Baran教授首次打破了(-)-vinigrol的诅咒,以23步反应、3%的总收率完成了其外消旋体的全合成。相关工作发表在学术期刊J. Am. Chem. Soc.上。
Baran教授发表的vinigrol外消旋体全合成的工作(图片来源:参考资料[3])
有了以上基础,vinigrol的全合成似乎不再像难以逾越的鸿沟。其他研究团队也相继完成了这一天然产物的全合成工作。2013年,美国亚利桑那大学(University of Arizona)的Jon T. Njardarson教授团队在学术期刊Angew. Chem. Int. Ed.上报道了第二例vinigrol外消旋体的全合成。不过,该工作最终需要43步反应才能实现vinigrol外消旋体的全合成,步骤相对繁琐。
Njardarson教授发表的vinigrol外消旋体全合成的工作(图片来源:参考资料[4])
后来,北京大学的罗佗平教授课题组将该分子的合成路线缩短至20步,并首次实现了其不对称合成。南方科技大学的李闯创教授团队又报道了一种更为高效、简洁的新策略,以线性14步反应实现了(-)-vinigrol的不对称合成。
罗佗平教授发表的(-)-vinigrol不对称合成的工作(图片来源:参考资料[5])
李闯创教授发表的(-)-vinigrol不对称合成的工作(图片来源:参考资料[1])
SYNTHIA™
世上本没有路,走的人多了也就成了路。
现如今,人工智能(AI)技术乘着科技的浪潮迅猛发展,在不同领域崭露头角。谈及AI技术与有机合成的巧妙结合,不得不提到默克的逆合成软件SYNTHIA™。
作为一款合成路线设计软件,SYNTHIA™会对化学反应规则和逻辑进行编码,为构建目标化合物分子提供可行的参考策略。编码数据集合成SYNTHIA™数据库,目前已包含10万余种反应规则,并且还在持续更新中。
相比市面上的其他产品,SYNTHIA™的反应规则均为人工手动编码,历经二十余载设计与迭代,已形成相对成熟的化学家思考模式,能带来更准确、合理的逆合成分析路线,助力大家更快速、高效地完成复杂结构化合物的合成。
✦ +
想来如果SYNTHIA™早一点出现,vinigrol全合成的研究历程或许会少一些曲折。
活动说明:试用时长约一周,名额有限,我们将尽快与您联系
参考资料
[1] Long Min et al., Asymmetric Total Synthesis of (−)-Vinigrol. J. Am. Chem. Soc. 2019, 141, 15773.
[2] Thomas J. Maimone et al., A Concise Approach to Vinigrol. Angew. Chem. Int. Ed. 2008, 47, 3054.
[3] Thomas J. Maimone et al., Total Synthesis of Vinigrol. J. Am. Chem. Soc. 2009, 131, 17066.
[4] Qingliang Yang et al., Total Synthesis of Vinigrol. Angew. Chem. Int. Ed. 2013, 52, 8648.
[5] Xuerong Yu et al., Scalable Total Synthesis of (−)-Vinigrol. J. Am. Chem. Soc. 2019, 141, 3440.
近期热门活动
找到我们
微信公众号矩阵
生命科学
化学与分析
IVD原材料
微客服
微信生态
视频号
微知库
会员中心
生命科学小程序
默克自媒体矩阵
Bilibili
微博
生命科学官网
小红书

