环丙烷结构广泛存在于药物、天然产物和生物活性分子中,其刚性结构可增强与生物靶点的结合能力,并作为烷基/芳基的生物电子等排体,能提高药物代谢稳定性。卡宾与烯烃[2+1]环加成反应是合成环丙烷骨架结构最有效、直接的策略之一,但依赖重氮化合物作为卡宾前体,尤其烷基取代重氮化合物存在高反应性、爆炸风险(如放热自发分解),限制了其应用。近年来,研究者尝试开发非重氮类卡宾前体(如偕二卤化物、磺酰腙等),但普遍存在底物需预活化、反应条件苛刻、适用范围窄等问题。因此,开发一种从廉价、稳定、易得的脂肪醛出发,直接生成非稳定卡宾并实现环丙烷化的新策略,具有重要的科学意义和应用价值。
图1. 金属光氧化还原催化平台的设计
围绕这一关键问题,哈尔滨工业大学(深圳)的郭林团队利用B2cat2作为羰基的活化试剂,结合金属光氧化还原催化实现了脂肪醛直接作为非稳定卡宾前体,并高效实现了各类烯烃的环丙烷化反应(图1)。该转化过程具有广泛的底物适用性与应用性,适用于多种类型的烯烃底物(苯乙烯、α-杂原子烯烃、二烯、非活化烯烃、缺电子烯烃),同时能够高效实现复杂药物分子及天然产物分子的后期官能化过程。
研究方案首先探究了烯烃环丙烷化反应的范围(图2)。反应体系可以很好的兼容各种类型的烯烃,包括:乙烯基芳烃、α-杂原子烯烃、1,1-二取代烯烃、1,2-二取代烯烃、1,3-二烯、非活化烯烃及缺电子烯烃,并能以中等到优异的产率得到环丙烷化产物。同时,对于一些药物分子、天然产物、生物活性分子衍生物的环丙烷化合成也具有优异的表现。
图2. 烯烃的底物拓展
接着进一步考察卡宾前体的适用范围,简单的烷基醛、含卤素、烯烃、羟基、酯基、Boc/Fmoc保护氨基的烷基醛也能成功的实现卡宾的转化,高效地构建环丙烷产物。同时,该方法还成功拓展至三氟乙醛水合物,用于构建含三氟甲基的环丙烷,产物具有优异的立体选择性和生物活性潜力。此外,在无光氧化还原催化剂的条件下,也能顺利的实现烷基醛与烯烃的直接环丙烷化反应(图3)。
图3. 醛类底物及三氟甲基环丙烷的拓展
该方法不仅可用于环丙烷化,还可拓展至σ键插入反应,包括S–H、Si–H和N–H键的插入,生成硫醚、硅烷和胺类化合物。这些多样化σ键插入反应的成功实施,不仅证实了烷基铁卡宾中间体突破成环反应的反应机制,更确立了其作为高活性中间体在本自由基策略中的普适性(图4)。
图4. 氨基磺酰基化反应的底物适用范围
图5. 连续流克级反应及机理探究
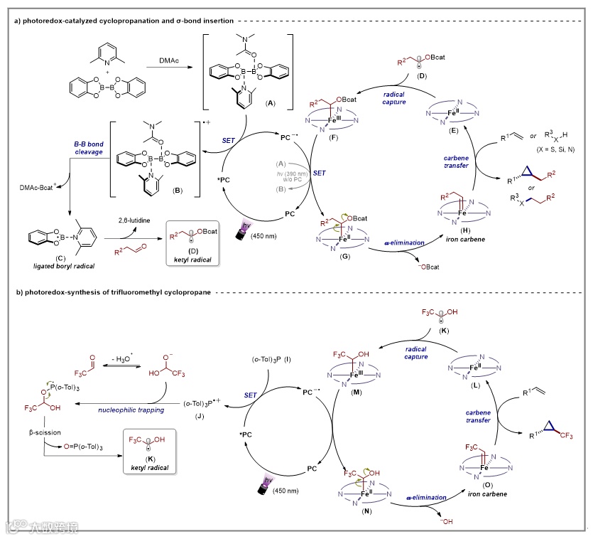
基于该金属光氧化还原催化环丙烷化策略的广谱适用性,作者进一步验证了其规模化潜力。将反应过程通过可扩展的连续流动反应装置进行了放大处理(图5a),与传统方法相比,反应速度大大提高。为探究该金属光氧化还原催化环丙烷化反应中B2cat2与2,6-二甲基吡啶的相互作用,他们进行了循环伏安(CV)研究(图5b)。此外,为了深入阐明反应机制,他们开展了系统实验研究,例如自由基捕获实验(图5c)、自由基钟实验(图5d)、Stern-Volmer淬灭实验(图5e)、紫外-可见吸收光谱实验(图5f)。最终提出了可行的反应机理(图6),在光氧化还原催化的环丙烷化及σ键插入反应(条件A)中(图6a),光诱导反应的引发始于2,6-二甲基吡啶、B2cat2与DMAc形成复合物 (A)。在可见光照射下(λ = 450-455 nm),复合物 (A) 可还原淬灭激发态光催化剂 (PC*),生成自由基阳离子中间体 (B),同时产生还原态光催化剂 (PC⁻•)(条件A)。或者,在无外源光催化剂时,原位形成的电子供体-受体(EDA)复合物 (A) 可被紫光(λ = 390-395 nm)有效激发,其激发态中间体经铁(III)-卟啉络合物 (F) 氧化淬灭,形成自由基阳离子中间体 (B) 与低价态铁(II)络合物 (G)(条件C)。自由基阳离子 (B) 发生硼-硼键断裂,生成关键的吡啶配位硼自由基物种 (C)。该物种进攻醛的羰基形成酮基自由基 (D)。与此同时,Fe(TMPP)Cl催化剂从Fe(III)还原为Fe(II),形成铁(II)络合物 (E)。此铁(II)络合物 (E) 可捕获酮基自由基 (D),经单电子转移 (SET) 过程释放低价态铁(II)络合物 (G),同时完成光催化循环并再生光催化剂 (PC)。低价态铁(II)络合物 (G) 经α-消除形成高活性铁卡宾中间体 (H),该中间体依次进行环丙烷化与σ键插入步骤,最终获得目标产物并使铁催化剂重置为铁(II)络合物 (E)。在三氟甲基环丙烷化体系(条件B)中(图6b),激发的光催化剂 (PC*) 被三(邻甲苯基)磷通过单电子转移过程还原淬灭,生成还原态光催化剂 (PC⁻) 物种与三(邻甲苯基)磷自由基阳离子 (J)。随后,三(邻甲苯基)磷自由基阳离子经去质子化的三氟乙醛水合物亲核捕获,形成磷烷基自由基 (K),该自由基经β-断裂生成酮基自由基中间体 (L)。该酮基自由基中间体通过光氧化还原与铁催化循环的协同作用,高效构建三氟甲基环丙烷产物。
图6. 可能的反应机理
综上所述,哈工大(深圳)郭林团队开发了一种新型金属光催化方法,该方法通过卟啉铁和光氧化还原协同催化,有效生成了烷基取代的非稳定卡宾,实现了在金属光氧化还原催化中直接使用烷基醛作为卡宾前体,从而避免了底物预官能化的需求。此外,该方案具有条件温和、底物范围广、官能团耐受性好以及步骤经济性高等特点。对结构复杂分子的后期修饰证明了该方法的实用性。详细的机理研究——包括自由基捕获实验、Stern-Volmer淬灭实验、循环伏安法和紫外/可见光谱——支持了所提出的反应路径。这种金属光催化策略有望成为从大宗化学品生成卡宾的有力合成工具。
这一研究成果近期发表在J. Am. Chem. Soc.上,文章第一作者为哈工大(深圳)的博士研究生梁荣彬,通讯作者为哈工大(深圳)的郭林教授,合作者为哈工大(深圳)的夏吾炯教授和杨超教授。该研究工作也得到了国家自然科学基金、广东省自然科学基金、深圳市基础研究等基金的大力支持。
原文(扫描或长按二维码,识别后直达原文页面):
Photoredox-Catalyzed Cyclopropanation via Ligated Boryl Radical-Mediated Nonstabilized Carbene Formation
Rong-Bin Liang, Chao Yang, Wujiong Xia, Lin Guo*
J. Am. Chem. Soc. 2025, DOI: 10.1021/jacs.5c12677
作者介绍
郭林,本科和硕士分别毕业于南开大学和哈尔滨工业大学,博士毕业于德国亚琛工业大学(师从Magnus Rueping教授),在英国皇家科学院院士Varinder Aggarwal教授课题组从事博士后研究;现为哈尔滨工业大学(深圳)教授、博士生导师。主要从事新型有机光化学反应,电催化新型碳碳键和碳杂键的成键反应研究等。以第一/通讯作者在Nat. Chem., J. Am. Chem. Soc., Angew. Chem. Int. Ed., Nat. Commun.等国际期刊发表SCI论文90余篇。主持国家自然科学基金青年基金和面上项目、广东省自然科学基金面上、深圳市基础研究面上项目等多项研究课题。课题组长期招聘博士生和博士后,请感兴趣的同学直接与本人邮箱联系:guolin@hit.edu.cn。
个人主页:
https://faculty.hitsz.edu.cn/guolin
https://www.x-mol.com/university/faculty/302186

