在现代化学的研究中,有机硅试剂的合成应用落后于格氏试剂和有机硼试剂。这主要是由于C–Si键相较于C–B键和C–Mg键具有更高的稳定性。虽然这种稳定性使有机硅试剂更易于储存与操作,但也限制了它们在某些转化反应中的反应活性(图1a)。传统C–Si键官能化多依赖双电子过程(如Hiyama偶联、Sakurai烯丙基化等),通常仅限于活化的C–Si键,且常需路易斯酸/碱促进(图1b)。近年来,光催化为C–Si键的转化提供了单电子途径,通过光激发催化剂氧化硅烷产生烷基自由基,进而实现官能团化。然而,已知方法大多仍局限于已活化的C(sp3)–Si键(如苄位、烯丙位或杂原子邻位)或者具有较低氧化电位的高价硅酸盐(图1c),对于中性、未活化的四取代硅烷,其C(sp3)–Si键的均裂与自由基官能化仍缺乏通用策略。
最近,武汉大学沈晓课题组受自由基Brook重排(烷氧自由基活化分子内C–Si键)(图1d)及吖啶盐被光激发氧化水产生羟基自由基(•OH)的启发(图1e),创新性地提出利用H2O在光催化条件下产生的•OH进攻未活化的C(sp3)–Si键,首次实现了该类强键的均裂驱动烷基化反应(图1f)。该转化的关键是通过吖啶盐光催化剂氧化H2O生成 •OH,进而直接进攻硅烷,释放出烷基自由基,随后与缺电子烯烃发生自由基加成,还原质子化,最终得到烷基化产物。这一工作发表在近期的Angew. Chem. Int. Ed.上。
图1. 研究背景与合成策略
在最优条件下,作者系统研究了烷基硅烷与缺电子烯烃的反应范围(图2)。在优化条件下,多种未活化烷基硅烷均能高效参与自由基C(sp3)–Si键烷基化反应。研究证实,该方法可成功生成包括伯、仲、叔烷基在内的多种自由基。值得一提的是,使用商品化苯基三甲基硅烷可成功产生甲基自由基,以51%产率获得产物3c。该反应体系对带有末端烯烃、炔基与三甲基硅基等多种官能团展现优异兼容性。在缺电子烯烃的拓展方面,丙二腈衍生的烯烃、富马酸二甲酯、α,β-不饱和酮、α,β-不饱和酯以及烯丙基砜底物都可以很好的兼容。
图2. 链状硅烷的底物拓展
鉴于硅基团在化学、材料和药物科学中的重要性,作者深入探索了硅杂环化合物在C(sp3)–Si键自由基官能化反应中的适用性,该策略能够在产物中有效保留硅基团(图3)。通过条件优化,确立了以吖啶盐PC-2为催化剂、H2O参与并添加nBu4NPF6(其可能通过改善硅杂环、水与乙腈的互溶性而促进反应)的MeCN/蓝光反应体系,使1,1-二苯基硅杂环丁烷与烯烃以78%产率生成化合物6a。此优化策略展现出优异的普适性:多种1,1-二芳基硅杂环丁烷,无论芳环带吸电子、中性或给电子取代基,以及五至七元硅杂环均能高效发生开环烷基化,产率良好;同时,反应兼容包括丙二腈衍生物、各类缺电子烯烃以及从简单醇到长链、环状醇在内的底物,成功构建了结构多样的γ-官能化硅醇与硅醚产物,证实了该开环双官能化方法具有广泛的底物适应性。
图3. 环状硅烷的底物拓展
研究进一步展示了该反应的合成实用性(图4)。克级规模反应顺利实现,产率保持良好。所得硅醚类产物可进一步实现甲基化、氟化、自偶联、烯丙基化以及氧化脱氰酯化等多种官能化衍生物,显示出良好的下游转化潜力。
图4. 克级反应和衍生应用
作者通过系统的机理实验探究了可能的反应途径。首先,自由基钟实验证实了自由基中间体的存在(图5a)。随后,利用荧光探针与EPR技术直接检测到•OH的生成,支持了H2O在光催化条件下被氧化产生•OH(图5b-c)。对惰性Et4Si的成功活化进一步证明了该策略对活化强C(sp3)–Si键的有效性(图5d)。循环伏安法测试表明硅烷1a和1q的氧化电位极高,排除了其被催化剂直接氧化的主要路径(图5e)。紫外-可见吸收光谱试验说明1a、2a、H2O 之间没有形成明显的EDA络合物。荧光淬灭实验则表明,H2O对催化剂的淬灭能力最强(图5e-f)。这些实验结果说明反应更可能通过羟基自由基进攻引发,而非硅烷与H2O预先形成复合物或经历硅正离子自由基路径。
图5. 机理研究
关键的动力学同位素效应实验显示:使用D2O时KIE值较小(kH/kD =1.3),表明•OH生成或质子化并非决速步;而使用氘代硅烷1c-D时观察到显著的KIE值(kH/kD = 6.2),支持了C(sp3)–Si键的断裂可能是反应的决速步骤(图6a-b)。理论计算进一步支持该键断裂在热力学上可行(图6c)。
图6. 动力学同位素效应和理论计算
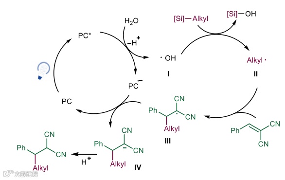
根据以上证据,作者提出了可能的机理(图7):在光照下,激发态的光催化剂氧化H2O产生•OH,其进攻硅烷导致C(sp3)–Si键均裂生成烷基自由基,随后被烯烃捕获、还原并质子化得到产物。
图7. 可能的机理
小结
在该工作中,沈晓教授团队开发了一种通过光催化从水或醇中产生羟基或烷氧基自由基来活化强C(sp3)—Si键的新策略,实现了四取代有机硅化合物的高效自由基官能化。该反应体系展现出广泛的底物适应性,可兼容多种非活化烷基硅烷与缺电子烯烃,并对多种官能团具有良好耐受性。该方法不仅为C—Si键的断裂与转化提供了新途径,也为构建具有重要价值的有机硅分子提供了新思路。博士研究生力波和博士何兴一为本文的共同第一作者。该研究得到了国家重点研发计划、国家自然科学基金、中央高校基本科研业务费、先正达博士奖学金、武汉大学科研公共服务条件平台和武汉大学超算中心的支持。
原文(扫描或长按二维码,识别后直达原文页面):

Hydroxyl Radicals Unlock Strong C(sp3)─Si Bonds: Photocatalytic Alkylation and Silacycle Engineering
Bo Li, Xingyi He, Yizhi Zhang, Kang Li, Yingmo Zhang, Shanshan Liu, Yu-Cheng Gu, Xiao Shen
Angew. Chem. Int. Ed., 2025, DOI: 10.1002/anie.202523587
沈晓课题组招聘信息
沈晓课题组正在快速发展中,热招博士后、特聘副研究员,欢迎有志青年加入课题组,请感兴趣的同学请直接联系沈晓老师 (xiaoshen@whu.edu.cn)
课题组网页:
https://xiaoshen.whu.edu.cn/

