导读:
近日,南京大学在J. Am. Chem. Soc.期刊报道了一类新颖的钴/铜双金属接力催化体系,通过协同氧化和光氧化还原策略,将钴催化的HAT过程与铜催化的偶联过程有机结合,实现了烯烃与多种亲核试剂的自由基型氢官能化反应。亲核试剂类型包括胺类、醇类、磷酸酯、末端炔烃、TMSN3、TMSCN、NH4SCN。通过自由基捕获实验、EPR、Stern-Volmer荧光淬灭实验以及密度泛函理论(DFT)计算等机理研究,证实反应经历了钴催化HAT生成烷基自由基,随后被铜-亲核试剂复合物捕获,构成一种协同的双金属自由基接力机制。此外,通过引入手性配体,成功实现了芳基烯烃与胺的不对称氢胺化反应,高效构建了结构多样的手性胺砌块,对映选择性最高可达92% ee。南京大学博士研究生钟桃和付玉龙为论文的共同第一作者,李伟鹏助理教授、骆培成教授和谢劲教授为共同通讯作者。
烯烃是有机合成中重要的大宗原料,其高效官能团化一直备受关注。第一行过渡金属(Mn、Fe、Co)因其强大的氢原子转移(HAT)催化能力,能够在温和条件下实现烯烃的自由基型氢官能团化反应。近年来,光或电驱动的钴催化HAT过程已被广泛应用于该类反应中,其机理主要可分为两类:(1)烷基钴(IV)中间体与亲核试剂发生类SN2取代;(2)官能团转移试剂参与的自由基取代过程(Figure 1a)。例如,东北师范大学张前课题组在钴氢催化烯烃的氢官能化领域做出了开创性工作,多种亲核试剂已成功用于构建C-C和C-X(X = N, O, S)键(Angew. Chem. Int. Ed. 2021, 60, 25949; Angew. Chem. Int. Ed. 2022, 61, e202201967; Angew. Chem., Int. Ed. 2023, 62, e202213913; etc.)。然而,发展新的反应模式以拓展亲核试剂的范围,对推动合成化学的进步具有重要意义。
双金属接力作为一种强大的催化策略,在化学合成领域备受关注,其通过金属间的协同效应,能够实现单一金属催化难以完成的转化。南京大学谢劲课题组长期致力于双/多核金属催化的转化研究。2023年,该课题组利用锰/钴双金属接力催化体系,成功实现了烯烃的脱氢二氟烷基化反应,为烯丙位二氟烷基化提供了新途径(Angew. Chem. Int. Ed. 2023, 62, e202310762)。近年来,铜催化的自由基偶联反应已成为构建多样化有机分子的高效策略,例如国内上海有机化学研究所刘国生课题组和南方科技大学刘心元课题组在铜催化不对称自由基反应领域做出了系列开创性工作。2020年,林松课题组通过电催化策略,发展了钴/铜共催化烯烃的对映选择性氢氰化反应(Figure 1b)。基于以上工作,作者设想通过协同氧化或光氧化还原策略将钴催化的HAT过程与铜催化的偶联相结合,以突破单一钴催化对亲核试剂范围的限制,拓展其应用边界(Figure 1c)。
首先,作者以烯烃1a和苯胺2a为模板底物进行反应条件筛选,确定最优条件为:采用Co-1和Cu(MeCN)4PF6作为共催化剂,PhMe2SiH作为氢源,叔丁基过氧苯甲酸酯(TBPB)作为共氧化剂,异丙醇作为溶剂,在室温下反应,最终以85%的分离收率得到目标产物。控制实验进一步表明,催化剂、氧化剂和硅烷都是至关重要的,不同钴、铜催化剂对反应效率具有显著影响(Table 1)。
得到最优条件后,作者对芳香胺底物的范围进行了系统研究(Scheme 1)。一系列在苯环不同位置带有给电子和吸电子基团的芳香胺,均能顺利参与反应,以中等至优异的收率(61%-94%)得到产物。多种官能团,包括苄基、卤素、三氟甲基、酯基、氰基、酮基、硼酸酯和受保护的氨基等,在反应中均表现出良好的兼容性(3-30)。此外,多取代芳香胺以及含苯并呋喃、苯并噻唑、吲哚、噻吩和吡啶等结构的杂芳香胺类底物,也能以中等至良好的收率顺利转化为目标产物(31-47)。
苯乙烯衍生物在改体系中表现出良好的适用性,以71%至92%的收率得到相应产物(48-53)。除了苯乙烯,内烯和乙烯基噻吩也成功实现了转化(54、55)。值得注意的是,非活化末端烯烃在标准条件下产率下降明显(如57, 30%)。为此,作者以4-苯基-1-丁烯作为底物进一步优化反应条件,发现通过添加配体并提升反应浓度等措施,可将其收率提升至70%,从而成功将底物范围拓展至多种非活化烯烃(57-62)。
接下来,作者系统研究了亲核试剂的适用范围(Scheme 2)。通过对配体、溶剂和氧化剂等关键参数进行适当调控,一系列结构多样的亲核试剂均适用于该双金属接力催化体系,其中包括醇类(63-70)、TMSN3(71-78)、磷酸酯(79)、NH4SCN(80-83)以及TMSCN(84, 85)。
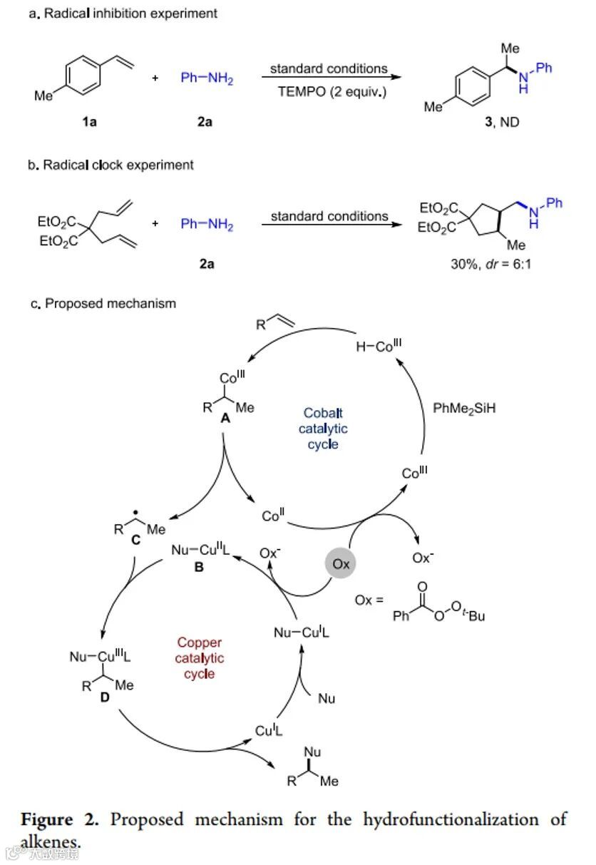
在完成底物拓展研究后,作者进一步开展了机理实验。自由基捕获实验与自由基钟实验结果表明,反应经由自由基途径进行(Figure 2a, 2b)。结合实验数据与相关文献报道,作者提出了可能的反应机理:首先,Co(II)前体在氧化剂和硅烷存在下原位生成高活性的Co(III)-H物种;同时,亲核试剂与Cu(I)反应生成Cu(I)-Nu复合物。随后,从Co(III)-H到烯烃的氢原子转移再生Co(II),同时产生瞬态烷基自由基,该自由基随后可以被Cu(II)-Nu复合物捕获,生成三价铜Cu(III)烷基中间体,最后经还原消除生成目标偶联产物,并释放出Cu(I)物种,完成催化循环。整个双金属协同过程的关键在于,化学计量的共氧化剂同时参与钴与铜两个催化循环的再生,从而实现高效的催化接力(Figure 2c)。
炔烃作为有机合成中重要的合成砌块,其与烯烃的直接氢-炔基化反应是构建炔基化产物的高效策略。然而,现有方法大多依赖炔烃底物的预活化,在一定程度上限制了反应的步骤经济性与合成效率。为此,作者基于激发态炔基铜物种所具有的强还原性,创新性地设计了由Cu(I)与Co(II)协同作用的光氧化还原催化循环,旨在实现烯烃与未活化炔烃的直接氢-炔基化,从而避免预活化步骤与外源氧化剂的使用。经过一系列筛选,作者发现三齿氮配体可以有效地促进这种转化,得到最优反应条件:Co-1和Cu(MeCN)4PF6作为共催化剂,L1为铜催化剂的配体,三乙胺作为碱,乙腈为溶剂,在蓝灯照射下室温下进行,以85%的分离收率得到目标产物。控制实验表明,催化剂、配体、光照和三乙胺均为反应的必要条件(Table 2)。
接下来,作者进行了一系列机理实验。首先,自由基捕获实验表明,加入TEMPO可完全抑制反应,证实反应可能涉及自由基过程。其次,控制实验表明Cu(I)-苯乙炔在反应过程中作为催化关键中间体(Figure 3a)。基于上述实验,作者提出如下可能的机理:Cu(I)和苯乙炔在碱的作用下生成Cu(I)-苯乙炔充当光敏剂,在光激发下可以产生激发态物种,具有高还原电位。该络合物与Co(II)之间的单电子转移,生成Cu(II)络合物和Co(I);所得Co(I)经质子氧化生成Co(III)-H,其介导氢原子转移至烯烃底物,再生Co(II)同时形成烷基自由基。烷基自由基可以被Cu(II)络合物捕获,得到Cu(III)炔基中间体,然后发生还原消除生成目标产物,并释放出Cu(I)物种,完成双金属协同的催化循环(Figure 3b)。
为了进一步验证这一机理,作者进行了EPR实验和荧光淬灭实验。首先,在标准反应体系中加入自由基捕获剂N-叔丁基-α-苯基硝酮(PBN)后,对反应混合物进行EPR测试,观测到一组清晰的三线信号,通过与PBN捕获的烷基自由基模拟谱图对比,确认该信号来源于PBN-烷基自由基加合物(Figure 3c)。其次,作者通过荧光淬灭实验研究了激发态铜物种与钴催化剂之间的相互作用:在420 nm激发波长下,检测到Cu(I)-苯乙炔/L1复合物溶液于510 nm处具有明显荧光发射;随着逐步加入Co-1作为淬灭剂,体系荧光强度呈现显著降低。该结果进一步证实激发态铜物种与Co(II)之间发生了有效的单电子转移过程(Figure 3d)。
作者进一步采用密度泛函理论(DFT)计算,从能量角度验证了双金属间单电子转移(SET)过程的可行性。计算结果显示,体系中存在两条可能的光诱导SET路径,且三乙胺(Et3N)在其中起到关键作用。第一条路径始于质子化激发态INT1*,需克服12.7 kcal/mol的高能垒,在动力学上较为不利;相比之下,INT1*经去质子化形成的中间体INT2所对应的激发态INT2*具有更低的吉布斯自由能,其与Co-1发生SET过程的活化能垒仅为2.7 kcal/mol,且在热力学上为放能过程,最终生成中间体INT4。这一结果从理论上明确证实,去质子化步骤是实现低能垒SET过程的关键,是催化循环的有效引发环节。此外,计算还表明后续C(sp3)–C(sp)键还原消除步骤的能垒极低,仅为1.2 kcal/mol,进一步支持了该反应路径的合理性(Figure 3e)。
随后作者对烯烃氢炔基化反应的底物进行了考察(Scheme 3)。结果表明,富电子和缺电子的烯烃和炔烃在标准条件下均能顺利转化,以良好至优异的收率得到相应炔基化产物(86-92)。值得注意的是,缺电子的肉桂酸衍生物和肉桂腈底物同样可以兼容,以64%-91%的收率得到目标产物(93-96)。此外,该催化体系还可进一步拓展至共轭二烯类底物,成功实现了烯丙位炔基化反应,高效构建了一系列结构多样的炔基化产物(97-101)。
基于上述研究结果,作者进一步探索了该双金属催化策略的不对称合成应用(Scheme 4)。通过系统的配体筛选,作者发现适用手性双噁唑啉配体L2可以实现芳基乙烯与胺的对映选择性氢胺化。随后对底物的适用范围的研究表明,不同取代的芳香胺(102-116)和烯烃(125-128)在改体系中均表现良好,能够以较高的对映选择性获得手性胺产物。杂芳胺类底物也展现出优异的兼容性(117-124)。此外,作者还将这一双金属催化策略扩展至其他亲核试剂,实现了对映选择性的膦酰化(129)、氰基化(130)及炔基化(131)等转化,进一步证实了该催化体系的通用性与合成价值。
结论
南京大学谢劲/骆培成/李伟鹏团队开发了一种钴/铜双金属协同催化策略,通过协同氧化或光氧化还原过程,成功实现了烯烃的多样性自由基氢官能团化反应。该体系兼容多种亲核试剂,包括胺类、醇类、磷酸酯、末端炔烃、TMSN3、TMSCN和NH4SCN。其反应条件温和、底物适用范围广、官能团兼容性好,并成功拓展至高对映选择性的不对称合成,为快速构建复杂功能分子,尤其是有药物相关性的手性胺类化合物,提供了强有力的新策略。通过自由基捕获实验、EPR、Stern-Volmer淬灭实验和DFT理论计算等机理研究,证实反应经历了钴/铜双金属自由基接力催化循环。该研究不仅彰显了双金属协同催化在应对复杂合成挑战中的巨大潜力,也为发展新型多金属催化体系提供了重要借鉴。
这一成果近期发表在Journal of the American Chemical Society 期刊,南京大学李伟鹏助理教授、骆培成教授和谢劲教授为共同通讯作者,博士研究生钟桃和付玉龙为论文的共同第一作者。
原文(扫描或长按二维码,识别后直达原文页面):

Bimetallic Relay Catalysis for Radical Hydrofunctionalization of Alkenes with Diverse Nucleophiles
Tao Zhong#, Yulong Fu#, Jun Huang, Hongliang Chen, Yaohang Cheng, Chengjian Zhu, Weipeng Li*, Peicheng Luo*, Jin Xie*
J. Am. Chem. Soc. 2025, 147, 43915–43926, DOI: 10.1021/jacs.5c15985

