【作者简介】文章作者为桑永杰,工作单位为哈尔滨工程大学,本篇文章节选自论文《Helmholtz水声换能器弹性壁液腔谐振频率研究》,发表于《物理学报》,2016年,第65卷、第2期。 |
【摘要】针对传统Helmholtz水声换能器设计中刚性壁假设的局限性,将Helmholtz腔体的弹性计入到液腔谐振频率计算中,实现低频弹性Helmholtz水声换能器液腔谐振频率精确设计.基于细长圆柱壳腔体的低频集中参数模型,导出了腔体弹性引入的附加声阻抗表达式,得到了弹性壁条件下Helmholtz水声换能器等效电路图,给出了考虑了末端修正的弹性壁Helmholtz共振腔液腔谐振频率计算公式.利用ANSYS软件建立了算例模型,仿真分析了不同材质、半径、长度时的Helmholtz共振腔液腔谐振频率.结果对比表明弹性理论值与仿真值符合得很好,相比起传统的刚性壁理论计算结果,本文的弹性壁理论得出的液腔谐振频率值有所降低,与真实情况更加接近.本文的结论可以为精确设计低频弹性Helmholtz水声换能器提供理论支持. 【关键词】弹性Helmholtz共振腔,水声换能器,液腔谐振频率,声阻抗 |
近年来,基于声学手段的海洋环境监测技术和海底油气资源探测技术迅速发展,促使国内外学者针对上述技术领域中的核心设备—低频大功率水声换能器开展了大量研究.在各种类型的水声换能器中,Helmholtz水声换能器以其优异的低频发射性能、高电声转换效率、无限制工作深度等特点成为上述技术领域中首选的水声换能器[1−4].水声技术领域使用的Helmholtz共振腔,与空气声学中细短颈加大腔体的结构不同,一般采用敞口式细长圆柱壳形式.这种共振腔的特点是结构简单、液腔谐振机械品质因数低因而宽带发射性能优异.目前国外出现的大多数Helmholtz水声换能器如Butler等设计的Multicort Transducer[5],Morozov等设计的Sweeper Source[6]以及Ultra Electronics公司研制Resonant pipe projector等[7]均采用了这种共振腔形式.
传统上,设计Helmholtz水声换能器时通常借助空气声学中的Helmholtz共振腔理论,做共振腔体为刚性壁等假设.实际上,在水中由于Helmholtz腔体的声阻抗与水的声阻抗差别并不大,刚性壁假设在Helmholtz水声换能器经常使用低频段(1kHz以下)很难满足,腔体自身的弹性对液腔谐振频率影响非常强烈.因此开展细长圆柱壳共振腔体弹性性能对液腔谐振频率影响规律的研究,对于精确设计Helmholtz水声换能器具有重要意义.目前在水声换能器研究领域对Helmholtz腔体弹性问题的研究不多,大多数工程设计人员在设计低频Helmholtz水声换能器时借助有限元软件进行结构优化设计,绕开了理论计算中因腔体弹性造成的液腔谐振频率设计不准确的问题.有限元法虽在工程设计中具有设计效率和设计精度高的优点,但无助于认识腔体结构对液腔谐振频率影响的本质.
针对Helmholtz腔体的弹性对其声学性能的影响问题,Norris等[8]开展了球型弹性Helmholtz共振器水中声散射问题研究,揭示了腔体弹性对其声刘涛等[10]研究了内壁受简谐线力激励的水中弹性圆柱壳的振动和声辐射问题;汤渭霖等[11]研究了水中无限长弹性圆柱壳体的声散射和声辐射机理,认为水中弹性结构的声散射和声辐射问题的核心是对声—振耦合或流体负荷的处理;在研究管路消声问题时,王泽锋[12−14]、周城光等[15]利用电-声类比的方法,基于经典Helmholtz共振腔的低频集中参量模型,将腔体各部分的弹性分别归结为各自的等效声阻抗附加到Helmholtz共振腔的声阻抗中.本文借鉴该方法,推导了一端敞口一端为刚性障板的细长圆柱壳弹性腔体附加声阻抗表达式,得出了弹性Helmholtz水声换能器完整等效电路图,给出了考虑腔体弹性时的液腔谐振频率表达式,研究了腔体壁厚、长度等结构参数及材质对液腔谐振频率的影响规律.
图1所示的是目前Helmholtz水声换能器的两种主要结构形式:末端激励结构和中间激励结构.末端激励通常使用的是Toncilz、电动式等辐射面近似为平面活塞的换能器进行激励,此时活塞辐射面处可近似地认为声阻抗无限大;中间激励常采用的是压电圆环换能器进行激励,此时可近似认为中心面处声阻抗无限大,分析时将该结构看作以中心面为界左右两个末端激励的形式[16].由于Helmholtz共振腔的液腔谐振频率只与腔体的结构形状、尺寸和材质有关,与激励方式无关,因此发射状态下的共振腔谐振频率与吸声状态下的共振腔谐振频率相同,为方便计算本文以吸声模型开展液腔谐振频率研究.
图1 两种主要的Helmholtz水声换能器结构形式
Fig.1. The two structure type of Helmholtz transducer:
(a) Driving at end; (b) driving in middle.
假设细长圆柱壳腔体半径为a,长度为l,其中l>a.刚性壁条件下液腔的声顺为Ca,声质量为Ma.圆柱壳腔体两端和内外表面均自由,在一端声阻抗无限大,近似为刚性障板,另一端敞口作为液腔振动的辐射面.该模型简化图如图2所示.
图2 刚性壁细长圆柱壳腔体简化图
Fig.2. The slender cylindrical shell diagram with rigid wall condition.
腔内任一点的声阻抗可表示为
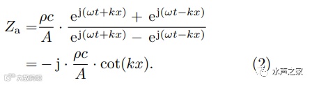
式中P为腔体内任一点的声压,U为腔体内任一点的体积速度,Pi为入射声波Pi=Pi0·ej(ωt-kx),Pr为反射声波Pr=Pr0·ej(ωt+kx),Pi0和Pr0分别为在障板处入射声压幅值和反射声压幅值.不考虑能量损失,入射声波和反射声波只有相位上的变化,故Pi0=Pr0.k=ω/c为波数,ω为角频率,ρ和c分别为水的密度和腔体内水中的声速,A为腔体一端的敞口面积.因此(1)式还可写为
Helmholtz共振腔的的谐振条件为(2)式虚部为零,也即Cot(kl)=0,因此可解得l=λ/4,即对于一端敞口末端激励的细长Helmholtz共振腔(如图1(a))可视为四分之一波长管,而对于两端敞口中间激励的细长Helmholtz共振腔(如图1(b))可视为半波长管.
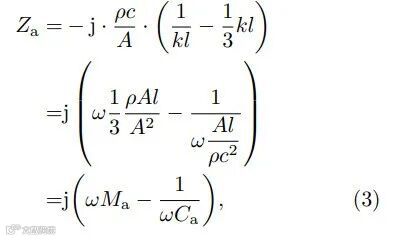
将(2)式中的Cot(kx)按泰勒级数展开,取其前两项Cot(kx)=1/kx-(1/3)kx即可满足求解精度,则(2)式可进一步写为
(3)式中Ma=1/3(m/A2),Ca=V/(ρc2)分别为液腔的声质量和声容,m为腔内水的质量,V为液腔的体积.由(3)式可以看出,对于一端封闭一端敞开的刚性细长圆柱壳共振腔,1/3的腔内水质量提供了声质量,整体的水体积提供了声容,这样这种Helmholtz共振腔的液腔振动可类比为一个自身具有一定质量的弹簧振动.
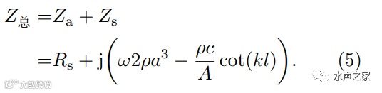
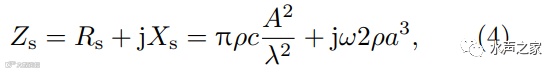
液腔振动通过一端的敞口作为辐射面向外辐射声波,会引入辐射阻抗到振动系统中,辐射阻决定着系统的声辐射效率,辐射抗则对液腔谐振频率产生影响.将端口处的声辐射近似为低频时的平面活塞辐射,则辐射阻抗可表示为
(4)式中虚部为共振质量,可将该部分质量视为由腔体延伸出来的一段圆柱形水的质量,其长度l′可由πa2l′ρ=2ρa3求得,l′=0.637a.因此,Helmholtz共振腔总的声阻抗可表示为
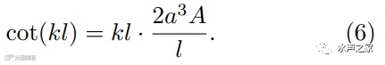
由(5)式,系统的声质量修正为Ma=2ρa3+1/3(m/A2).系统的谐振条件为(5)式虚部为零,即
(6)式可通过对以kl为自变量的等式左右两个函数做图求解,得出刚性壁条件下细长圆柱壳Helmholtz共振腔的液腔谐振频率.两个函数在图中的交点有无穷个,分别对应着液腔谐振的一二阶…n阶谐振频率.本文主要研究一阶谐振频率随腔体弹性的变化规律.
设两端自由的圆柱壳形Helmholtz腔体的内半径为r1,外半径为r2,平均半径为a,壁厚为t,长为l,材质的杨氏模量为E.研究中采用柱坐标系,设声压P作用在腔壁表面的法向方向即r方向,则腔体内部的位移分量只有ur和uz,应力分量只有Tθ,在腔体上取一微元,如图3所示,微元沿r方向上的厚度为t,沿z方向的高度为dz,平均弧长为adθ,作用在微元上的应力只有两个侧面上的Tθ,该应力沿r方向上的投影为Tθsin(dθ/2),由于dθ为微量,可以近似认为sin(dθ/2)≈dθ/2,两个侧面上的Tθ沿r方向的合应力为Tθdθ,微元的密度为ρ,微元体积为atdzdθ,微元沿r方向的加速度为∂2ur/∂t2.
图3 (a) 腔体上取的微元;(b)微元上受力
Fig.3. (a) Infinitesimal element on the cavity wall;
(b) force on the infinitesimal element.
根据牛顿运动定律可写出微元在柱坐标系下沿径向振动的波动方程
由应力和应变的关系Tθ=SθE及位移和应变的关系Sθ≈ur/a,代入(8)式可得
系统做简谐振动时上式可写为

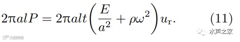
对(10)式求解出P并乘以圆柱壳表面积2πal,可得
其中,F为腔体受到的力,简谐振动时振速与位移的关系为u˙r=jωur.
进一步地,(12)式可写为机械阻抗的形式(暂不考虑系统的机械阻)
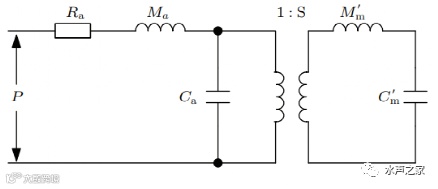
(13)式中虚部中第一项为质量抗,第二项为弹性抗.圆柱壳形Helmholtz腔体的等效振动质量和等效力 顺可分别表示为M′m=2πaρlt和C′m=a/(2πltE).由此,可得到弹性Helmholtz共振腔体的完整等效电路图,如图4所示,相比起经典理论的等效电路图,增加了变量器及腔体弹性引入的机械端(变量器右端).图中Ra,Ma,Ca分别为弹性壁条件下Helmholtz共振腔的声阻、声质量和声容,M′m和C′m分别为弹性腔体的等效振动质量和等效力顺,S为腔体的表面积.
图4 弹性Helmholtz共振腔等效电路图
Fig.4. Equivalent circut of elastic Helmholtz reso-nant cavity
通过机声类比可得弹性圆柱壳形Helmholtz腔 体等效声质量和等效声顺分别为Ma=M′m/S2和Ca=C′mS2,将图4中的右端(机械端)反映到左端(声端),弹性Helmholtz共振腔的完整等效电路图还可表示为图5所示的形式.
图5 弹性Helmholtz共振腔等效电路图的另一种形式
Fig.5. Another equivalent circuit of elastic Helmholtz resonant cavity.
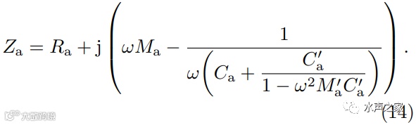
依据图5所示的等效电路图,可写出弹性圆柱壳形Helmholtz共振腔总的声阻抗表达式
液腔谐振条件为(14)式中的虚部为零,可得到弹性圆柱壳形Helmholtz共振腔的液腔谐振频率表达式
相比于刚性壁条件下的液腔谐振频率公式ω0=1/√(MaCa),(15)式中分母增加了大于1的项,也即考虑腔体的弹性后液腔谐振频率比起刚性壁条件下的值有所降低.具体地,液腔谐振频率和腔体的杨氏模量E、密度ρ、平均半径a、壁厚t及长度l等参数有关.
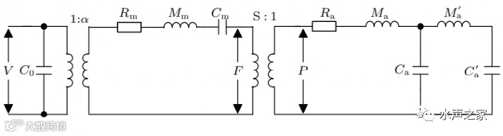
考虑Helmholtz共振腔经压电激励源激励后,Helmholtz水声换能器的等效电路图可表示图6所示形式.
图中V为激励源加载的电压,C0为压电晶堆的静态电容,Rm,Mm,Cm分别为压电激励源的机械振动阻、振动质量和等效力顺,α为机电转换系数.

图6 弹性Helmholtz换能器等效电路图
Fig.6. Equivalent circuit of elastic Helmholtz transducer.
为验证本文弹性理论在求解弹性Helmholtz换能器液腔谐振频率时的准确性,基于有限元软件ANSYS建立了一组细长圆柱壳Helmholtz共振器算例模型,进行谐响应分析求解液腔谐振频率.利用ANSYS软件建模没有刚性壁假设的限制,赋予腔体杨氏模量、泊松比、密度等参数后,能够比较真实地反映Helmholtz腔体的力学特性,因此用来验证本文弹性理论的求解精度是可行的.
建模时Helmholtz腔体为细长圆柱壳状,一端敞口,在另一端采用一只Tonpilz压电换能器作为激励源,如图7所示.Tonpilz换能器的辐射面半径与腔体的内半径基本相当,以保证细长腔体内传播平面波.此外,将Tonpilz换能器自身的结构谐振频率设计得远大于液腔谐振频率基频,以免干扰求解结果.考虑到影响腔体弹性的主要因素为腔体的壁厚、半径及材质,因此以下主要从这几个方面开展研究.
图7 Helmholtz换能器的有限元模型
(a)整体图;(b)局部图
Fig.7. The finite element model of Helmholtz trans-ducer:
(a) The whole picture of finite element model;
(b) the part picture of finite element model.
对于圆柱壳形Helmholtz腔体,腔体的厚度对其弹性有决定性的影响,腔体越厚径向刚度越大.传统上为了使用经典理论设计Helmholtz水声换能器的共振腔,往往使用厚壁金属管作为腔体,这就大大增加了换能器的重量.实际上若使用薄壁金属管作腔体不仅能减少换能器的重量,还能通过腔体自身声散射改善换能器的工作带宽,因此薄壁弹性腔体在Helmholtz水声换能器中非常具有应用价值.
图8中所示为腔体材质为硬铝LY12,腔体半径为0.05m,腔体长度为0.4m时液腔谐振频率随腔壁厚度的变化曲线.由图8可以看出,刚性壁条件时由于腔体为绝对刚性,液腔谐振频率不随厚度变化;本文的弹性理论值与有限元仿真值基本一致,在腔体较薄时,弹性理论值远低于刚性壁理论值,说明腔体的厚度对液腔谐振频率影响十分强烈.随着腔体的厚度逐渐增大,即径向刚度不断增大,液腔谐振频率升高,逐渐接近于刚性壁条件下的液腔谐振频率,当壁厚达到一定值时二者几乎相等,此时该厚度可近似看作在此工作频率附近的刚性壁条件阈值.
图8 (网刊彩色)液腔谐振频率随腔体厚度变化曲线
Fig.8. (coloro nline) Fluid cavity resonant frequency changes with the thickness of the wall.
腔体材质对自身弹性的影响主要体现在杨氏模量这一参量上.表1所列为腔体材质分别为硬铝、钛合金及不锈钢时液腔谐振频率有限元仿真值、弹性理论值及刚性理论值三者对比,其中腔体半径为0.05m,长度为0.4m,腔壁厚度为3mm.
表1不同材质腔体的液腔谐振频率比较
Table 1. Fluid cavity resonant frequency comparison with different materials.

由表1中的数据对比可知,弹性理论值与仿真值符合得很好,均远低于刚性理论值.由(13)式,当材质的杨氏模量E较大时,也即腔体的等效声容较小时液腔谐振频率更加接近于刚性壁条件下的计算值,这也是传统理论设计中常采用不锈钢等高杨氏模量材质作为腔体的原因,由表1中密度对比可知,若采用低杨氏模量的轻质金属硬铝,则有望大大降低Helmholtz水声换能器的重量.
4.3 腔体长度液腔谐振频率的影响
图9所示为液腔材质为硬铝LY12,腔体半径为0.05m,腔壁厚度为3mm时,液腔谐振频率随腔体长度变化曲线.
图9 (网刊彩色)液腔谐振频率随腔体长度变化曲线
Fig.9. (Color online) Fluid cavity resonant frequency changes with the length of the cavity.
由图9可以看出,考虑腔体弹性后液腔谐振频率明显比刚性壁理论值要低,弹性理论计算结果与有限元仿真结果符合得很好,随着腔体长度增加,液腔谐振频率逐渐降低,也说明无论经典理论还是本文的弹性理论中,液腔的长度都是影响液腔谐振频率的重要参量.此外,由(13)式可以看出,腔体的长度l还影响腔体的等效声容,长度越大等效声容越小即腔体刚度越大,因此图9中在腔体较短时弹性理论值和刚性壁理论值相差较大,而腔体较长时二者相差较小.
本文利用Helmholtz共振腔的低频集中参数模型,讨论了一端敞口另一端为刚性边界的细长圆柱壳Helmholtz腔体的液腔谐振频率精确计算问题,得出的主要结论如下.
1)对于腔体为细长圆柱壳形Helmholtz水声换能器,将腔体的弹性归结为附加声阻抗添加到刚性壁条件时液腔的声阻抗中,用来精确计算弹性Helmholtz共振腔的液腔谐振频率是可行的,考虑腔体弹性后得出的液腔谐振频率低于刚性壁理论值.
2)腔体的壁厚、长度及材质对液腔谐振频率影响强烈.腔壁越薄、长度越短、材质杨氏模量越小腔体的弹性越明显,弹性理论值与刚性壁理论值相差越大.
3)本文得出的弹性壁时的Helmholtz共振腔液腔谐振频率计算公式,可为精确设计轻质薄壁腔体的低频Helmholtz水声换能器提供理论支持,能使Helmholtz水声换能器的重量大大降低.另外,腔体在Helmholtz水声换能器中的成本比例很小,对于已有的Helmholtz水声换能器,通过弹性壁理论计算,更换不同壁厚的腔体可获得不同工作频率的Helmholtz水声换能器,可降低换能器使用成本.
本文所讨论的结果适用于弹性细长圆柱壳Helmholtz共振腔情况,也即假设腔体内传播的为平面行波,有些Helmholtz水声换能器(如Janus-Helmholtz水声换能器、溢流圆环换能器等)的腔体形状为短粗结构,腔体内的声波形式较复杂,获得精确的液腔谐振频率计算公式仍需做进一步的研究.另外,腔体具有弹性后,腔内的一部分声能量通过腔体散射出去,将会对Helmholtz水声换能器的工作带宽、指向性等产生影响,具体的影响规律还需进行深入研究.
【参考文献】 [1] Marsset T,Marsset B,Ker S,Thomas Y,Le Gall Y 2010 Deep Sea Res.Part I 57 628 [2] Mosca F,Matte G,Shimura T 2013 J.Acoust.Soc.Am.133 EL61 [3] Morozov A K,Webb D C 2003 Ocean Eng.28 174 [4] Ker S,Marsset B,Garziglia S,Le Gonidec Y,Gibert D,Voisset M,Adamy J 2010 Geophys.J.Int.182 1524 [5-16] 略. |
文章转载自公众号:水声之家

声明:本公众号相关内容均来自主流媒体及公众号,非商业用途,并不意味着赞同其观点或证实其内容的真实性。版权归原作者所有,如有发现侵犯您的权益,请后台联系编辑,我们会尽快删除相关侵权内容。