陈戈
-教授
-博士研究生导师
-中国海洋大学海洋信息技术教育部工程研究中心主任
-国家杰出青年科学基金获得者
-教育部“长江学者”特聘教授
从百米到千米尺度的中层海洋是地球系统中极为关键而又缺乏认知的部分,许多重要的海洋过程都发生于此。在传统海洋学理论和现场观测相对缺乏的背景下,如何“由表及里”地从太空“遥感”中层海洋是一个极具挑战性的科学问题。人工智能搭建了数据科学与海洋科学的新桥梁(称之为“深蓝AI”),是推动元宇宙时代海洋科学范式变革的有力武器。文章首先阐述了百米海洋的水体运动与千米海洋的垂直层化等基础先验知识,以及卫星遥感、现场观测等技术手段为深蓝AI提供的数据资源;然后从关联统计、物理牵引和数学驱动3个神经网络层面着重论述了为实现中层海洋遥感而构建的深蓝AI普适方法论;最后围绕典型海洋动力过程,阐述了深蓝AI技术在挖掘海洋数据空间共性规律,进而实现“由表及里”的知识发现等方面所具有的独特优势和应用潜力。
海洋遥感技术自问世以来,极大地提升了人类对近表层海洋现象的认知。然而,作为一个深达数千米、局部万米的巨大水体,卫星遥感所观测到的海洋现象不过是冰山一角。如何“由表及里”地全面认知深蓝海洋,是一个从过去到未来都极具挑战性的科学问题。
百米海洋千姿百态,从湍流到环流、从海浪到潮汐、从溶解氧极小值到生物量极大值等,无不蕴藏着丰富的动力与生态过程;千米海洋相对“平静”,显著的层化作用筑起了上下层水体物质与能量交换的屏障,但其温盐、环流结构的微弱变化则“记忆”着年代际尺度上气候变化的印迹。21世纪以前,日趋成熟的海洋学理论和不断积累的现场、遥感数据,奠定了以近表层海洋现象和规律认知为主题的近代海洋科学基础。然而,相较于近表层,百米至千米深度的中层海洋面临着理论体系和三维观测数据相对匮乏的系列困境,成为制约海洋科学进一步发展的主要因素。进入21世纪,以地转海洋学实时观测阵(Array for Real-time Geostrophic Oceanography, Argo)为代表的现场观测及模式再分析技术快速发展,为中层海洋研究提供了前所未有的高质量数据源。与此同时,近年来人工智能技术方兴未艾,以独特的数据驱动与知识发现优势,应用范围快速从工业领域拓展到海洋科学领域,并逐步发展成了一个新的分支——深蓝AI(Deep Blue Artificial Intelligence)。这为弥补现有理论体系不足,实现“由表及里”的中层海洋遥感及其过程认知提供了难得机遇。短短几年,深蓝AI技术与海洋基础理论、海洋大数据等相互协同,已先后在内波反演、层结时空变化及其预测、涡旋识别及轨迹预测、厄尔尼诺与南方涛动(ENSO)预测等科学问题上大展身手,取得令人欣喜的成果。但不可否认的是,目前人工智能支持下的中层海洋遥感技术尚处于起步阶段,仍然面临着物理机理不够清晰、剖面数据不够丰富、深蓝AI方法不够普适等诸多挑战,亟待加强多源海洋数据融合与智能挖掘,在嵌入已有基础理论的基础上,构建具有强知识发现和物理可解释性的深蓝AI普适方法,推动中层海洋科学的重大发现和理论创新。
海洋百米遥感与千米探测
1.1 百米海洋的水体运动与卫星遥感
海洋作为大尺度的地球物理流体系统,受到天体、大气、地球自转和系统自身的动力强迫,上层水体运动涵盖十分宽广的三维时空尺度。一般而言,水体运动的空间尺度越大,其时间周期往往越长,所影响的海洋水层越深(图1)。这些运动广义上可分为湍动、波动和流动。在小尺度(毫米量级)与高频运动谱段,海水中任意质点的速度(大小与方向)均紊乱变动,该现象被统称为湍流。湍流主要发生在海洋表层,在流体多尺度能量级联中具有重要作用,它的维持依赖于外界的能量供给(波浪破碎是其最典型来源),并遵循流体动力学方程(如Navier-Stokes方程)。海洋中的波动现象主要包括海浪、潮汐、内波以及大尺度的Rossby波和Kelvin波。海浪的有效波高与潮汐引起的水位变化通常在10 m以内,极端天气下的浪涛可高达数十米,近海潮流动力也可通达海底。此外,潮汐具有千米量级的水平尺度,与大尺度的Rossby波和Kelvin波(引起的海面高度异常在10 cm量级,垂向尺度可达数千米)存在潜在的耦合关系。海流定义为海水大规模相对稳定的流动,风应力与密度差异是其主要驱动机制。大洋环流的核心深度通常在数百米,深层的补偿潜流深度可达千米,在全球海洋环境构成与全球气候调节中至关重要。
图1 海洋中各种类型运动的时间尺度、空间尺度及深度
卫星海洋遥感作为推动海洋科学发展的关键技术之一,诞生50多年来,凭借全天时、全天候、准实时、大范围、高精度、长时序的综合优势,获取了海洋水色、海洋动力和海洋环境参数,从根本上推动了人们对海洋初级生产力、海平面变化、海气通量、大洋环流等近表层海洋现象及过程的深刻认识,改变了全球海洋观测与科学研究的传统范式。但是,目前的卫星海洋遥感本质上还是海表二维遥感。激光雷达(Light Detection and Ranging, LiDAR)作为一种主动光学遥感手段,具有全天时、距离分辨和穿透深度大(是被动遥感的3倍以上)的综合技术优势,可以实现夜间、极地以及多云条件下的遥感探测,是目前已知唯一有望实现水下三维遥感的探测手段,是当今海洋光学和海洋水色遥感领域的国际前沿,已在海洋生物光学、浅海地形、鱼群探测、极地生态、上层海洋动力过程(内波、混合层、湍流、泡沫等)等方面得到了广泛应用,逐步形成了一个新的跨学科技术领域——海洋激光雷达探测技术。虽然当前星载海洋激光雷达仍处于空白阶段,但成功发射的星载大气激光雷达、陆地激光雷达已在生态海洋学的初步应用中展现出了较好的优势和潜力。相信在不久的将来,随着美国国家航空航天局PACE任务、欧洲航天局MESCAL任务和中国青岛海洋科学与技术试点国家实验室“观澜”号卫星等系列星载海洋激光雷达计划的相继规划与实施,具有多波段(蓝绿波长)、米级分辨率、多体制(高光谱、荧光、偏振等)观测能力的星载海洋激光雷达将成为现实,进一步与被动水色遥感、现场生物地球化学浮标(Biogeochemical Argo, BGC-Argo)等观测手段相结合,有望首次实现全球海洋百米深度内四维时空的生物光学、物理参数立体探测与高精度反演,由此开启水下三维遥感的新时代。图2为百米深度主被动遥感与现场联合观测一体化概念设计图。
图2 百米深度主被动遥感与现场联合观测一体化概念设计图
1.2 千米海洋的垂直层化与现场观测
除了水平方向上的流动和波动外,海洋在垂直方向还存在着典型的层化特征。根据海气相互作用范围和温盐参数垂向梯度变化,海洋水体从上到下可依次被划分为海气界面、混合层、跃层和深层(图3)。其中,海气界面关系着海洋与大气间的动量、热量和气体交换速率,已成为当前气候变化及其预测研究的核心问题;海气界面间动力效应(风、浪、流等)引起的湍流混合和热力效应(蒸发、降温、增密等)引起的对流混合,使海洋上层形成一个温度、盐度和密度场几近均匀的水层——混合层,它对地球系统热平衡、水循环、碳循环,以及气候和大尺度大气环流变化有着直接而重要的影响;在混合层下界,海水温度、盐度和密度梯度急速变化的水层被称为海洋跃层,它又分为具有季节生消特征的季节性跃层和常年稳定、天气系统无法直接影响的主跃层。跃层的存在阻碍着上下层水体间热量、氧气、碳和营养盐的交换,其年际和年代际变化将反馈于气候系统和海洋生态系统;跃层以下则是温度、盐度和密度特性基本稳定的均匀深层水体。从时间尺度看,海气界面的海气相互作用时刻发生,混合层和季节性跃层具有天气和季节尺度,主跃层和深层水体则在年代际以上的气候尺度上缓慢变化;从空间尺度看,混合层在低纬度海域一般不超过百米,在中纬度可深至主跃层;主跃层在低纬度海域约300 m,中纬度达到700~800 m,到了高纬度,混合层和主跃层逐渐上升,至亚极地水体层化消失。总体来说,海气界面和混合层是海洋混合最为活跃的区域,受天气系统的直接影响;跃层和深层海洋的层化结构及温盐分布特征则由热盐环流驱动下的海水下沉调控,具有气候尺度特征。因此,低纬度海域温度、盐度、密度场在垂直方向上的分布,在一定程度上反映了大洋表层沿径向上的空间分布特征。
图3 海洋水体垂直分层
对千米海洋的研究通常借助于现场观测和再分析数据。21世纪之前,现场剖面观测主要依赖于船基、系泊浮标阵列等手段,但存在数据时空覆盖率低、偏差大且观测成本高昂等问题。20世纪90年代,全球气候变化加剧、海洋作用凸显,全球海洋剖面观测数据的系统性缺失使气候变化研究面临着巨大挑战。在此背景下,旨在实时获取全球海洋2000 m深度内温盐数据的Argo计划应运而生,至今已提供了全球95%以上的温盐剖面数据,为中层海洋科学研究带来了深刻变革。21世纪初期,移动观测与传感器技术进一步发展,微型且低功耗的物理、生物、化学传感器被成功研发,BGC-Argo浮标问世,为探究海洋物理、生物地球化学耦合提供了更广泛的数据基础。2012年左右,美国、法国等国家陆续加入深海Argo(Deep-Argo)计划,拟构建测量深度可达6000 m的深海Argo观测网,以推动Argo计划进入全海域、全海深、多学科的海洋观测时代。图4为Argo全球海洋观测网分布图。图5为基于Argo测量的拉布拉多海温度剖面。此外,随着海洋观测技术的快速发展与计算机性能的显著提升,以地球流体动力学理论为支撑、同化多源观测数据的高时空分辨全海深数值模拟产品被研发应用,显著提升了模式预报/后报结果的准确性,涌现了如全球海洋环流模式数据集HYCOM(Hybrid Coordinate Ocean Model)、网格化气候态全球海洋数据集WOA(World Ocean Atlas)等为典型代表的海洋模式与气候态观测数据产品,包括温度、盐度、流场、叶绿素、无机盐等多层参数信息,涉及海洋热力、海洋动力及生物地球化学等领域。这为中层乃至深层海洋科学研究提供了另一基础数据源。
图4 Argo全球海洋观测网分布图
(来源:https://argo.ucsd.edu/)
图5 基于Argo测量的拉布拉多海温度剖面
1.3 深蓝AI与中层海洋遥感
海洋科学作为一门以观测和实验为基础、以数据密集与技术融合为特点、并以水体为纽带的泛在交叉科学,经历了从理论牵引到技术驱动再到数据主导的发展历程,即模型驱动到数据驱动。模型驱动以模型为主导,对问题建模,获得理论解析解,如同西医基于基础诊断对患者用药。数据驱动以数据为主导,使模型拟合数据,寻找近似最优解,如同中医的“望闻问切”。西医将西方哲学作为“数理模型”支撑,抓主要矛盾、快速高效;中国传统哲学指导中医进行“特征工程”,循序渐进、辩证统一。《达摩院2022十大科技趋势》报告中明确将“AI for Science”列为重要趋势,认为“AI能够成为科学家的新生产工具,并催生科研新范式变革”。深蓝AI作为海洋科学与数据科学融合的前沿技术,兼具“模型+数据”驱动功能,以一种“中西医联合”的方式,使二者取长补短、相辅相成(图6)。
图6 深蓝AI的哲学思想与科学构想
卫星海洋遥感是从“外部”角度观测海洋表层、次表层现象的主要手段,无法直接地探测中层海洋的“内部”过程。而以Argo浮标为代表的现场观测手段可以“里应外合”地实现对海洋内部过程的剖面探测,在很大程度上弥补卫星海洋遥感的现有不足。然而,现场观测虽然具有较高的精度,但无法在接近实时的同时实现广泛覆盖。因此,在对全球中层海洋研究中,需要将具有“外”在优势的遥感数据和“内”在特征的现场数据协同在一起,共同发挥二者优势,而深蓝AI技术恰好能起到这样的桥梁作用。
深蓝AI方法论
深蓝AI方法论从数据维度切入,以科学计算为核心、挖掘现象本质、揭示背后规律,作为其关键构成的神经网络发展由浅入深,依次经历了关联统计、物理牵引和数学驱动3个阶段。关联统计神经网络能够提取数据空间的关联统计信息,挖掘数据中蕴含的显性规律,实现基本知识发现;物理牵引神经网络将学科先验知识或理论内嵌到网络模型中,从数据中提炼出潜在的、更有价值的知识规律,提高运算效率,防止“低级谬论”;数学驱动神经网络通过搭建可溯源的数学模型与科学知识二者之间的桥梁,充分发挥深度神经网络在混乱或极其复杂的海量数据中的卓越性能,加速科学发现,赋予结果以可解释性。
2.1 关联统计神经网络
深蓝AI的基础方法或基本功能是对海量数据进行关联统计,实现初步及显性的信息挖掘与知识发现。数据是AI方法的“能源”,针对不同的数据特点,AI方法的构建也存在差异。图像数据和遥感中的栅格化产品是一种可以通过特定设备获得的简单数据类型。随着计算机视觉的发展,神经网络能够充分挖掘图像和栅格化产品中对象的局部特征。因此,初期的海洋AI研究大多基于欧几里得数据构建卷积神经网络,进而实现数据信息的关联统计,如图7所示。随着神经网络的发展,卷积神经网络为人们研究网格数据提供了新的“数理”工具。
输入数据(如海洋环境参数海洋高度异常、海表面温度等)通过卷积核进行卷积计算得到数据的特征图,特征图引入偏置值(b),并进行激活函数(ReLU)线性运算,得到最终结果。
图7 卷积神经网络中卷积计算过程示意图
循环神经网络的发展,使得从长时序数据中提取时序特征和上下文信息成为了可能,其结构如图8所示。如对感知数据而言,海表面温度(Sea Surface Temperature, SST)、海表面高度(Sea Surface Height, SSH)、海洋高度异常(Sea Level Anomaly, SLA)等数据都具有时序特征,通过循环神经网络可提取温度、高度等随时间变化的特征参数,归纳数据整体规律,从而预测未来的变化趋势。关联统计神经网络逐渐成为研究者们识别和预测海洋现象,掌握海洋规律的基本方法论之一。表1中列出了2018年至今海洋科学领域中基于欧几里得数据构建神经网络的部分研究。从表1中递归神经网络(RNNs)和卷积神经网络(CNNs)所列的应用方向和发表时间可以看出,“AI+海洋”还是一片“蓝海”,仍是一种万众创新的环境,有待继续深耕。
图中主要反映循环神经网络的数据流过程。其中,ht-1为第t-1时刻的隐藏层状态,ct-1为第t-1时刻记忆单元状态,xt为第t时刻的输入。
图8 关联统计循环神经网络
表1 部分关联统计神经网络在中层海洋遥感上的应用
由上可知,关联统计神经网络是从数据出发,基于数据类型和任务特点设计神经网络。但在科学研究中,需要将物理理论的先验知识融入神经网络中,引导网络的过程学习,以解决单纯依靠数据驱动的神经网络无法从数据流中提取具有可解释性信息的瓶颈问题。
2.2 物理牵引神经网络
为了能够最大程度地发挥数据驱动的神经网络方法效能,进一步达成“AI for Science”的终极目标,AI领域提出了一种新型神经网络结构,即物理牵引神经网络(Physical Informed Neural Networks, PINNs)。
这类网络架构遵从非线性微分方程描述的任何特定的物理学客观规律,是应用深度学习方法解决科学问题的网络结构。PINNs可以视为一种开创性技术,为偏微分方程(Partial Differential Equation, PDE)提供了新型的数值求解器。按照牵引方式,PINNs可分为观察牵引、归纳牵引和学习牵引(图9)。
依次通过基于数据的观察牵引、神经网络的归纳牵引和偏微分方程与损失函数的学习牵引,并进行反复迭代训练,最终实现物理牵引。
图9 物理牵引神经网络的先验知识嵌入机制
观察牵引是指在数据输入阶段,数据能够体现基础物理学原理。例如,万有引力定律
、黏性Burgers公式
,以及哈密顿系统
。神经网络能够从数据中学习到上述物理原理及其他物理结构、函数、向量场等,从而达到物理牵引的目的。
归纳牵引是指利用物理世界中的普适规则对模型进行一定的约束,使具有某些特定属性的解能够被优先考虑。在神经网络构建中,通常会将这些规则设计成神经算子,使网络的计算过程始终遵循已知的物理规律。例如,卷积神经网络中的平移不变性和空间不变性、图神经网络中的图嵌入计算等。
学习牵引不同于上述2种牵引方式,该方法关注神经网络的反向传播阶段,即设计特定的损失函数计算误差。假设已知某种约束条件,将神经网络的输出转换为解的映射。例如,将哈密顿系统描述公式转化为一种残差的形式,如公式(1)所示。
式中,p为坐标,q为动量。根据残差公式,可设计损失函数,如公式(2)所示。
学习牵引使训练后的神经网络的前馈过程符合微分或偏微分方程所表达的领域基础理论,大幅度提高了神经网络的置信度与预测精度。表2中列举了部分物理牵引神经网络在海洋科学上的应用及其使用的牵引方式。
表2 部分物理牵引神经网络在海洋科学上的应用
虽然有学者基于Navier-Stokes方程的等变性质尝试预测真实海洋流场,但在海洋科学中,物理牵引方式仍局限于使用模式数据进行观察牵引或利用现有网络结构实现归纳牵引。反观基础科学,神经网络与领域知识进行了高度融合,基于学习牵引的PINNs结构提高了模型对物理数据的适用性。
观察牵引、归纳牵引和学习牵引可视为针对神经网络不同阶段的物理牵引方法,能够将领域知识和神经网络进行有机融合。相较于传统数值微分方程,该方法对数据内夹杂的噪声具有良好的鲁棒性。同时,较于经典的神经网络结构,如何通过学习偏置将现代海洋学的准地转理论、Rossby波理论、Ekman漂流理论、涡动理论等理论基础融入物理牵引网络,增强网络的学习能力,并保证学习到正确的规律,是推动科学知识发现的重要保障。总之,神经网络在海洋科学中还未充分发挥其所蕴含的潜力,未来应立足于海洋科学基础理论,构建更加普适的神经网络结构,进一步朝着“AI for Ocean Science”目标不断迈进。
2.3 数学驱动神经网络
神经网络是一种数据驱动方法,网络内部可视为一个“黑盒”,缺乏数学的可解释性,而这正是建立与海洋科学之间桥梁、获取海洋科学信息的根基。现阶段还无法将神经网络这一“黑盒”完全转换成“白盒”,但可以使其部分具有可解释性,即基于数学推论改进神经网络,被称为数学驱动神经网络。神经元输入与输出的线性过程如公式(3)所示。
式中,α为权重,x为输入量,d为网络宽度。在理论上,神经网络的深度和宽度可以达到无限维,并可以数学化为一种无穷宽的函数空间,构成了一种数学意义上的“巴拉克空间”,如公式(4)所示。
数学驱动神经网络在物理牵引神经网络的基础上给予神经网络“数学解释”,其理论、架构和应用研究方面均处于初步探索阶段。数学理论不但能赋予神经网络可解释性,同时也优化了神经网络的计算效率和内存占用。反之,神经网络的特性被充分挖掘,在一定程度上也弥补理论模型对真实数据泛化能力差的不足。在海洋科学中,流体力学是支撑海洋科学的基础理论,将流体力学背后的数学原理引入神经网络,构建全新的“海洋物理”或“海洋数学”神经网络结构,充分发挥深度神经网络在混乱或极其复杂的系统中的卓越性能,加速在海量数据中海洋科学的知识发现,这也是未来发展的前沿方向。
综上,深蓝AI方法论正在为人们架起一座基于统计、物理、数学、生命等先验知识的数据驱动与知识发现间的新桥梁,推动“AI for Ocean Science”目标的不断实现。
从深蓝AI到知识发现
以卫星遥感为主的海洋表层数据较为丰富,而中下层剖面数据相对稀少,如何建立表层现象与中层乃至深层海洋过程(尤其是海洋物理及生态过程)之间的内在联系,已成为当前AI海洋学的重要任务。近几年来,以数据为驱动的深蓝AI方法论在海洋科学领域“由表及里”的初步探索中已取得了令人欣喜的进展,能够支撑海洋大尺度环流、中尺度涡动以及垂直尺度生物量峰值等过程的反演或预测问题,初步为海洋科学的知识发现和“AI for Ocean Science”的范式变革打开了新的视角。
3.1 Ekman漂流的垂向重构
风是海洋环流的主导驱动机制,当定常恒速的风经久地作用于无限广阔的海面时,将产生一种定常的海水运动,被称之为漂流。Ekman从理论上得到了严格的漂流解,即Ekman漂流理论。漂流是铅直湍流产生的摩擦力与科氏力二者平衡的结果,其纬向u与经向v速度分量随深度z变化的方程,如公式(5a)和公式(5b)所示。
图10 Ekman螺旋示意图(a)与全球气候态海面风场分布图(b)
3.2 海洋内波的三维结构
内波是指发生在海洋内部且位于两种不同介质表面的波动,也被称为“海平面下的巨浪”。内波产生须具备海水稳定分层和扰动源2个条件,波长往往从几百米到几十千米,周期从几分钟到几小时,振幅从几米至几十米。海洋内波主要发生在密跃层,在50~800 m深处最为活跃,此外,海洋近底部也可能存在内波。内波的起伏传播及其所产生的“死水效应”影响着当地的海洋生产力和海洋声场,甚至会对潜艇航行、海洋工程等带来重大安全隐患。
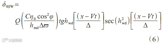
合成孔径雷达(Synthetic Aperture Radar, SAR)具有大范围、全天候、全天时、高分辨的独特优势,已成为监测海洋内波的重要遥感手段之一。基于Korteweg-de Vries(KdV)方程,可推导出内波对SAR影像调制的定量化表述,即海洋内波呈现在SAR图像上的解析表达式,如公式(6)所示。
式中,δ0|IW为SAR影像上内波的后向散射系数;Q可以近似地视为一个常数,由SAR传感器频率、入射角和海洋内波的介电常数决定;C为内波相速度;η0为内波的最大振幅,从几米到几十米不等;φ为波向;hmd为混合层深度;Δ为内波半波宽度;
为海洋表面波的角频率均值;g、hwd、x、V、t分别为重力加速度、海水水深、内波空间位置、内波速度和时间;sec(·)为正割函数。SAR影像上的后向散射系数由所检测到内波的位置、速度、波向、水深等参数进行调制。因此,通过SAR影像可以直接获取内波的空间位置、波长、波向等水平参数信息;结合同步测量的CTD数据和历史数据,可进一步反演内波的瞬态波速、深度、振幅等垂向参数信息,准确刻画内波的时空特征(图11)。
图11 海洋内波
近年来,AI技术被成功应用于海洋内波的反演与预测。有学者针对这一问题设计了一种关联统计神经网络结构,用于挖掘经纬度、水深、混合层深度、上下层密度差、波峰长度、峰间距离和内波初始传播方向之间的相关性,预测内波的传播速度和方向,进而预测内波的位置,克服了内波传播的随机性问题。与传统物理模型(KdV)相比,神经网络预测的内波结果具有更好的准确率和鲁棒性(图12),进一步揭示了海底地形对内波传播的影响;不同于直接从影像数据提取出内波特征,另有学者利用物理海洋设备模拟的内波波形(振幅)数据,通过神经网络将其与遥感卫星影像(MODIS)光谱特性间的信息关联和迁移,在观察牵引下反演了内波振幅。
图12 基于BP(Back Propagation)神经网络的海洋内波预测结果
总之,深蓝AI技术在海洋内波领域的应用仍处于探索阶段,其通过大量遥感数据学习内波的深层特征,而非在内波生成机理上构建专属的PINNs结构。尽管如此,深蓝AI技术应用于海洋内波研究的可行性已被证实,为海洋内波研究提供了新思路。
3.3 海洋涡旋的三维识别与轨迹预测
海洋中尺度涡旋是受(准)地转位涡守恒方程控制的尺度小于Rossby波的海水旋转运动。时间尺度约为几天到几年,水平空间尺度约为几千米到几百千米,垂直尺度约为几十米到上千米。海洋涡旋数量大、分布广、裹挟强、含能高,是研究海洋中物质循环、能量级联、圈层耦合的理想载体。
依据涡度的不同,海洋涡旋可分为气旋涡(Cyclonic Eddy, CE)和反气旋涡(Anticyclonic Eddy, AE)。涡旋内部水体的动力过程外化映射到海表,引起海表面高度发生约1~100 cm的起伏变化,使周围海面拓扑呈现较为稳定的闭合结构,并在AE(CE)中心形成海表面高度的极大(极小)值,是遥感技术应用于海洋涡旋探测的重要依据(图13)。
图13 高度计涡旋探测及识别结果
通过将测高卫星获取的涡旋信号与Argo浮标等现场观测数据相结合,“由表及里”的涡旋垂向结构及内部动力过程被逐步认知。然而,现有卫星高度计的水平观测分辨率和垂向剖面探测能力仍存在不足,实现高分辨率的涡旋三维遥感观测,是海洋科学对新一代海洋卫星技术提出的迫切需求之一。
3.3.1 基于Argo浮标的海洋涡旋独立识别
涡旋识别是推动海洋涡旋理论认知与科学研究进程中的关键一步。当前涡旋探测的主流方法为海面闭合拓扑法,该方法受限于高度计的采样能力,导致了约90%的涡旋“漏网”,尤其对于亚中尺度涡旋、海洋次表层涡旋、模态水涡旋等尺度更小、强度更弱或深藏于海面以下的涡旋“束手无策”。
为了解决这一问题,有学者提出了基于三维结构的海洋涡旋识别思路,将涡旋的海表信号与其垂直结构关联建模,构建基于Argo浮标的海洋涡旋独立识别算法。在此基础上,进一步将高度计识别的涡旋与Argo剖面进行配准,并以该数据集作为真值样本集,构建关联统计神经网络,同时融合观察牵引和归纳牵引,提取涡旋垂直结构的抽象特征,实现涡旋的三维识别。相比于传统的数理统计方法,基于Argo三维观测的AI识别涡旋算法使计算效率提升了10倍以上,涡旋识别的精确度高达98%。
涡旋的垂向识别算法可将约36%的“漏网”涡旋重新捕捉,同时也引发了对于高度计识别涡旋准确性的进一步思考。由高度计与Argo垂直剖面2种独立涡旋识别的对比结果可知(图14),50%以上被高度计遗漏的涡旋分布于卫星采样率较低、地转较弱、非地转较强的赤道区域。相反地,Argo垂向涡旋识别算法在非地转主导的亚中尺度涡旋识别上具有独特优势,与高度计识别涡旋方法具有高度互补性。此外,基于Argo三维观测的AI识别涡旋算法捕捉到的涡旋垂直信号与高度计识别涡旋算法相当、甚至更强。AI技术在创新识别涡旋方式、提升识别涡旋效率的同时,也证明了根据海洋三维剖面进行涡旋识别的可行性与可信性,对于促进识别涡旋方法发展、乃至研究海洋涡旋的运动学及动力学都具有重要的意义。
图14 高度计与Argo涡旋识别对比图
3.3.2 基于物理嵌入的海洋涡旋轨迹预测
涡旋运动受到多种物理机制调制(如位涡守恒,局部流场的斜压不稳定性),且处于复杂的海洋环境(如流场、风场、地形等)中,因此,只有对物理机制有着清晰的认识与理解才能从根本上提升涡旋轨迹预测的精度。为了解决这一难题,提出了基于物理嵌入的涡旋轨迹中期预测算法,将第一斜压模Rossby波理论近似相速度Cp(公式(7)),作为涡旋的理论速度嵌入轨迹预测机器学习模型,实现对涡旋未来10 d运动轨迹的精准预测。
式中,β=2Ωcosθ×R-1为Rossby参数,其中Ω=7.29×10-5rad/s为地球自转角速度,θ为纬度,R=6371.39 km为地球半径。Rd为Rossby变形半径,可基于Chelton等提出的方法计算得到公式(8)。
式中,f=2Ωsinθ为科氏参数,N(z)=(-(g/ρ)×∂ρ(z)/∂z)1/2为浮性频率,ρ为位势密度,g为重力加速度。
对全球范围内200多万条单轨涡旋的中期预测结果表明,物理机制的嵌入使得涡旋轨迹预测的精度提高了约24%,预测误差显著低于现有的其他轨迹预测算法。图15展示了2条典型长寿涡的真实轨迹与预测轨迹,直观地展现了预测轨迹与真实轨迹的较高重合度,体现了基于物理嵌入的AI方法在涡旋轨迹预测方面的显著优势。
图15 基于物理嵌入算法的长寿涡轨迹预测结果
3.4 海洋生物量的垂向峰值反演
次表层海洋中,除层化结构特征外,生物量状态也同等重要。而目前的水色卫星遥感仅能直接获取表层叶绿素浓度[Chla]sur信息,为实现由[Chla]sur反演垂向叶绿素浓度分布,相关学者根据大量现场观测数据,构建了针对不同层化水体及营养级状态下、真光层内积分的叶绿素浓度含量和叶绿素浓度垂直分布模型,分别如公式(9)和公式(10)所示。
式中,
为真光层内积分的叶绿素浓度含量;ς为实际深度z相对于真光层深度Zeu 的归一化值,即ς=z/Zeu;C(ς)为ς深度处叶绿素浓度[Chla(ς)]相对于真光层内平均叶绿素浓度
的归一化值,即
,其中
=Zeu-1·
;公式(9)和公式(10)中的A、B及c0~c4等参数可根据不同层化水体及营养级状态的现场数据拟合得到。由上述模型可知,对于混合水体(Zm/Zeu>1,其中Zm为混合层深度),叶绿素浓度垂直分布相对均匀;而对于层化水体(Zm/Zeu<1),在垂直剖面上一般存在叶绿素次表层最大值(Subsurface Chlorophyll Maximum, SCM)。一方面,SCM在海洋营养循环、能量流动及生物地球化学循环中发挥着至关重要的作用;另一方面,叶绿素浓度垂向分布,尤其是SCM的反演,对海洋初级生产力精确估算具有重要意义。然而,一直以来,受制于三维观测数据的不足,SCM特征仅在区域尺度上被探究。直至近10年,BGC-Argo计划的推动使科学家们首次在全球范围内对SCM进行分析,揭示了SCM的季节动态变化具有明确的区域特性。
随着生物地球化学三维观测数据的积累以及计算机技术的发展,将神经网络算法应用到叶绿素垂直结构反演的相关研究工作日益增多。相关学者基于关联统计神经网络,利用卫星遥感观测的海表参数成功反演了北太平洋SCM的垂直结构,结果如图16所示。将AI技术应用于海洋SCM的反演与预测,可充分利用长时间、高覆盖的卫星数据优势来间接获取全球海洋SCM数据集,有效提高了SCM垂直结构的反演效率和时空覆盖率等,为探究海洋垂直生态结构提供了数据支撑,对促进海洋生态及其交叉学科研究具有重要意义。
图16 北太平洋区域SCM反演结果
未来趋势与发展建议
回顾海洋科学的发展历程,基础理论、观测技术、计算能力的进步相继牵引、交相呼应,推动着这门交叉科学的一次又一次飞跃。20世纪中期以前,海洋科学的发展主要得益于理论先行。基于有限的现场观测数据,先后发展了Ekman漂流理论、Rossby行星波理论、大洋环流西向强化理论、风生大洋环流理论等,奠定了近代物理海洋学的理论基础。20世纪70年代,卫星海洋遥感的出现为科学研究提供了前所未有的高时空覆盖数据源,首次认识到大洋环流的清晰面貌、量化全球平均海平面上升、估算全球海洋初级生产力等,被认为是20世纪后期海洋科学取得重要进展的关键技术之一。随后,计算机技术的快速发展带来了算力的巨大提升,具有较高分辨率的模式系统开始在业务化天气预报和气候变化预测的前沿应用中大放异彩。20世纪末,为共同应对全球变化带来的严峻挑战,海洋学家们不再仅满足于对海洋表层、大时空尺度现象的了解,而是想迫切地获悉中下层海洋正在发生的过程,并填补现有理论体系的部分空白。在此背景下,以Argo浮标计划为代表的现场观测技术革命为打通由表层海洋现象到中层海洋动力及生态过程的关键链路提供了闭合数据,为中层海洋遥感带来了曙光。然而,在进一步融合卫星海洋遥感等多源数据后,如何从海量数据中“由表及里”地揭示中层海洋规律成为当前面临的重大挑战之一。
“AI for Science”催生了科研新范式,AI也成为新科学研究的战略性技术。AI技术的发展既需要计算理论的突破,也需要与交叉学科领域知识的充分融合,并基于超算来实现抽象思维。AI的终极目标是将机器训练成类脑,然后再将类脑逼近于人脑,最后形成人脑和机器的知识联动,从而服务于数字孪生,并迈向基于现实又超越现实的元宇宙时代。聚焦海洋领域,具有泛在交叉属性与大数据特征的海洋学为具有灵活建模与数据挖掘能力的AI技术提供了广阔沃土,AI技术与海洋学的天作之合(深蓝AI方法)为破解当前海洋学发展困境提供了绝佳途径,二者“里应外合”地搭建起了数据科学与知识发现的新桥梁,并初步在“由表及里”的中层海洋遥感应用中展现出了独特优势和巨大潜力。然而,目前人工智能支持下的中层海洋遥感技术仍然面临着海洋数据科学和深蓝AI普适方法论瓶颈的两大主要挑战。虽然中国在AI海洋学应用方面走在了世界前列,但在深蓝AI的基础理论和原创算法领域仍有较大差距,主要体现在“从1到N ”的个例应用多,而“从0到1”的基础创新少。因此,未来发展建议如下。
(1)加强海洋数据科学建设。发展基于新型体制的海洋科学卫星,填补当前部分海洋参数和水下三维遥感空白,提升其在水平空间、垂直剖面、时空分辨和一体化遥感的综合能力;积极参与或主动发起国际海洋观测大科学计划,实施广泛的国际合作;统筹建设国家海洋大数据平台,改变当前普遍存在的数据壁垒和信息孤岛现状,加快新一代信息技术与海洋数据的融合,实现海洋多源数据的动态集成、联合质控和智能挖掘,为AI海洋学应用提供统一、标准、准确的基础数据源。
(2)加强深蓝AI技术创新。着力发展AI基础理论,特别是深度学习理论、推理算法、类脑计算、脑机接口、数字孪生等新兴领域;构建机理约束与数据驱动相结合并具有物理可解释性的海洋学AI模型,探索物理+智能的AI海洋学理论体系和普适方法;突破具有低延迟、沉浸式、高感知度的海洋三维数据动态交互可视化技术,实现深蓝AI的理论和技术创新。
(3)加强学科交叉前沿应用。聚焦中层海洋遥感多圈层耦合与级联的学科交叉前沿,利用深蓝AI“由表及里”的数据挖掘与强知识发现独特优势,揭示海洋系统内多要素间的内在关联与时空规律,实现海洋科学的重大发现与理论突破;打造具有“实时感知—集成融合—智能挖掘—精准预测—沉浸体验”全链路功能的高感知孪生海洋系统,推动前沿海洋科学与新一代信息技术的深度融合与跨越发展,助力“透明海洋”目标实现。
结束语
展望未来,AI将成为海洋科学知识发现的新引擎。随着物理牵引、数学驱动神经网络技术的不断完善,面向海洋科学前沿需求的深蓝AI普适方法论将广泛应用于海洋各细分领域,实现自动或半自动的科学发现与原始创新。自此,“AI for Ocean Science”的科研新范式将逐步揭开中层乃至深层海洋的神秘面纱,引领未来海洋科学迈向新阶段。
END
引用本文
陈戈, 杨杰, 吴立新. 人工智能支持下的中层海洋遥感技术[J]. 前瞻科技, 2022, 1(2): 103-120;
doi: 10.3981/j.issn.2097-0781.2022.02.008

声明:本公众号相关内容均来自主流媒体及公众号,非商业用途,并不意味着赞同其观点或证实其内容的真实性。版权归原作者所有,如有发现侵犯您的权益,请后台联系编辑,我们会尽快删除相关侵权内容。

