文 / 李 松,刘照辉( 中国船舶集团公司第七一六研究所,江苏 连云港 222061)
摘 要:在水声数据收集网络内,利用移动的水下自主巡航器( AUV) 作为采集工具,对布置在水下的节点进行数据采集是一种节约水下传感器传输能量和延长网络生命周期的有效方式。在此背景下,文中根据不同的数据采集目标,提出了 AUV 轨迹规划算法。为了减少整个数据采集过程的总能量,文中依据最短路径理论搜索每一个水下传感器进行数据采集的 AUV 悬停点位置,基于这些被确定的悬停点位置,得到优化的 AUV 航行轨迹。仿真结果显示,对比基准算法,本文所提出的轨迹算法性能有明显的改善,满足能量优化需求。
关键字:水下传感器网络; AUV; 轨迹规划; 能耗优化
水下传感器网络通过水声通信媒介,将传感器节点感知的水下相关信息信息传送至数据处理中心[1-4],其广泛应用于水下资源勘探、海洋地理数据收集、导航和控制、灾难预防、军事安全等领域[5-7]。相比于地面状况来说,水下传感器节点自带电池能量有限,更换电源难度较大,且水声通信环境复杂劣,带宽有限、多径效应严重,水声信号易受非平稳噪声等因素的影响[8-9],将水下节点长时间部署后,有效的能量供给对于整个水下传感器网络至关重要[10-11]。因此,在正常工作的前提下节省有限的能源对于节点网络有重要意义。
近些年来,AUV 具有广泛的用途,既可用于海洋科学调查、海上石油开发、水下勘察和水下目标探查等民用领域,也可用于侦察监视、情报收集、探测水雷、战术海洋测量和跟踪监视目标等军事领域[13-14]。如图 1 所示,利用自身的移动与通信能力,AUV 可以高效地从传感器采集数据并同时减少每个节点因通信而产生的能量消耗[15]。根据设计的休眠活跃机制,AUV 按照提前规划的轨迹在水下依次对每个节点进行数据采集,并将采集到的数据统一发送回海面的舰船或基站浮标。这个过程中,两个关键的议题需要被着重考虑: 一方面是降低整个过程中通信与 AUV 产生的能量,这一点影响着网络的生命周期与数据采集的性价比; 另一方面则在于要确保 AUV 的轨迹可以使得每个节点的信息传输都尽可能的处于较低的中断概率状态。

假设一个水下传感器网络中有 N 个节点,每个节点位置固定且坐标已知,携带的信息量为 I,AUV作为数据采集器在网络中不断移动对节点进行数据采集。设节点有活跃与休眠两种状态,在不进行数据传输时,节点处于休眠状态节省能量,而当与AUV 通信时,节点保持活跃状态传输数据。假设水下传感器节点处于某一平面,在完成对周边情况监测后保持休眠状态,AUV 由起点出发对每个节点进行数据采集,根据每个节点的位置坐标寻找合适的路径进行运动,每次针对一个节点进行数据采集,当AUV 靠近目标传感器节点时,向其发送指令,传感器节点接收到指令后由休眠状态转变为活跃状态,继而向 AUV 发送数据,AUV 则在此处接收数据信息,节点传输完毕后恢复为休眠状态,AUV 向下一个节点运动直到所有节点采集完毕并到达终点,同时将信息统一传送回水面。本文选取其中任意一个节点进行分析,设 AUV 的坐标为 U( x,y) ,传感器网络中某一传感器节点的坐标为( x0,y0 ) ,因此两者之间的几何距离 d 可以表示为

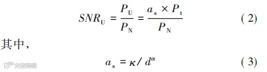
AUV 与传感器节点之间的通信信道模型使用莱斯信道[15],假设通信过程声音频率处于最优的频率范围,其复信道系数为 H ~ CN( m,2 σ2) ,概率分布符合拥有相同方差但不同均值的循环对称复高斯分布,且在发送端未知但是在接收端已知。设传感器节点信息发送功率为Pt,信息传输过程的噪声干扰为PN,传输过程路径衰落因子为as,因此 AUV 接收节点数据的信噪比可以表示为

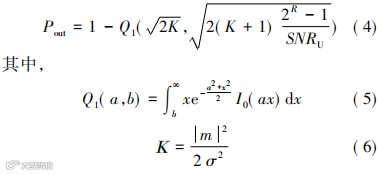
式中: κ 为天线因子,由收发天线设计而决定,为一提前预知的稳定值; a 为衰落指数,其数值与所处环境有关,取 α = 2。在经过了上面的分析,可以得到水下传感器节点与 AUV 之间的通信过程的中断概率Pout为

式中: R 为传 输 过 程 信 息 传 输 速 率; Q ( a,b ) 为Marcum Q 函数; K 为莱斯因子,与复信道系数有关;Ps为信息发送功率。
为了保证数据采集过程信息质量,设定可接受中断概率Preout,作为接收指标。同时,接收数据时AUV 悬停位置稳定,结合传感器节点的位置可以得到此时通信过程的传输距离 d,因此节点的信息传输速率可以通过调整功率发送大小来进行调节。
对传感器与无人巡航设备等水下设备来说,水下环境使得能源更换与补充较为困难,另一方面较小的体积又决定了本身能源携带有限,无法保证长期有效工作,因此本文以降低数据采集过程中的能量消耗为目标,进行 AUV 的数据采集轨迹规划。
2. 1 问题分析
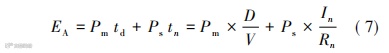
轨迹规划的目标是降低数据采集过程的中能量消耗,能耗由 AUV 与传感网络中的传感器节点共同组成。对 AUV 来说,能量消耗主要包括两个部分:一是 AUV 在按照运动产生的消耗; 另一个是在接收传感器节点数据时为保持悬停状态而产生的能量消耗。设水下传感器网络中有 N 个传感器节点,AUV以稳定的功率Pm在水下进行运动,运动速度为 V,悬停时功率为Ps,则数据采集过程中 AUV 消耗的能量EA可以表示为

式中: td为 AUV 在水下运动的时间; D 为 AUV 由起点运动到悬停点的距离; tn为 AUV 在第 n 个节点处悬停的时间,由第 n 个节点所携带信息量 In与此时信息传输速率Rn共同决定。另一方面,由于节点是稳定不动的,其能量消耗主要由信息传输产生,设传感器节点的信息传输功率稳定为Pt,于是第 n 个节点消耗的能量En可表示为

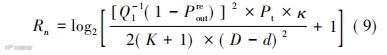
假设每个节点携带信息量相同且已知,结合上面的公式,可以看出数据采集过程消耗能量由 AUV运动距离 D 以及信息传输速率 Rn决定。结合设定的可接受中断概率Preout与稳定的信息传输功率,通过公式( 4) ,信息传输速率 Rn可表示为

AUV 悬停点位置的选择决定了悬停时间的长短。于是,解决以降低能耗为目的的 AUV 数据采集轨迹规划问题的关键思路为最短路径搜索与 AUV悬停点的选择。设 AUV 运动的起点与终点已知,结合水下传感器节点位置坐标,作为路径搜索顶点,根据传感器节点数量利用合适的最短路径搜索算法进行路径搜索解决。AUV 悬停位置的选择通过最小化EA与En之和得到,即: min( EA +En ) ,可通过代入式( 7) 求导解决,从而得到悬停点的位置坐标。因此,综合上面的分析,可以得到如下 AUV 路径规划算法:
1) 确定 AUV 的起点与终点,利用最短路径搜索算法将各个顶点进行排序,获得水下传感器节点顺序,作为数据采集顺序。
2) AUV 从起点出发,根据节点排序寻找数据采集目标点,根据节点坐标,计算得到悬停点位置继而运动到悬停点。到达后悬停收集数据,直至收集完毕。
3) 将悬停点作为初始点,重复第二步,直到所有节点采集完成,到达终点。
通过上述的算法步骤,可以得到优化的巡航轨迹,实现最小化能耗为目的的数据采集轨迹规划,模型如图 2 所示。
2. 2 仿真分析
基于上面分析,得到了最小化能耗的 AUV 数据采集轨迹规划方案,下面进一步的对所给方案进行仿真,展示 AUV 的轨迹路线与相应轨迹的性能分析。
仿真的场景设置为一个100 m×100 m的平面矩形水域,水下传感器节点随机分布且位置已知,携带相同的信息量。AUV 进行数据采集的起点与终点确定,匀速运动,同时运动时瞬时消耗功率稳定仅与距离有关。假设通信相关的天线因子与信道系数固定且已知,可接受中断概率设为10-2。据此,仿真选取四个水下传感器节点,同时结合上述的路径规划方案,得到 AUV 的采集轨迹,如图 3 所示:
从图中可以看出,借助优化方案,在利用最短路径搜索理论完成节点采集顺序的排序后,AUV 从起点出发,根据搜索路径进行的排序,按照顺序对每一个节点都有一个特定的优化悬停点,并依次进行数据采集,采集完所有节点之后,AUV 到达终点。为了证明方案的合理性,以节点为悬停点,将利用最短路径搜索的传统数据采集轨迹方案和由起点 q0径直行驶到终点 qF的水平运动数据采集轨迹方案在相同条件下的能耗进行对比,结果如图 4 所示。图中,传统轨迹代表利用最短路径搜索,以节点为悬停点的路径轨迹;水平轨迹为 AUV 由起点直接运动到终点的路径轨迹。可以看出,所提出的优化方案在数据采集过程中消耗的总能量最少,节点最短路径方案其次,水平轨迹效果较差。验证了方案的合理性。

在其他条件相同的情况下,仿真分析不同方案在数据采集过程中信息量 I 与可接受中断概率Preout变化对能量消耗的影响,结果如图 5 所示。可以看出,随着节点所携带的信息量不断增大,各方案轨迹的能耗都有着不同程度的增加,水平轨迹增加最为迅速,优化方案轨迹与一般轨迹增长较慢,而且优化轨迹方案的能耗始终低于水平运动与传统轨迹方案,证明了方案的合理性。同时值得注意的是,当水下节点携带的信息量不断提升时,优化轨迹耗费能量与传统轨迹耗费能量的差值逐渐缩小,即两者的数据采集轨迹逐渐的靠近。这种情况的产生意味着随着信息量的逐渐增大,信息传输所消耗的能量在数据采集过程中消耗总能量的比重增大,使得 AUV 悬停点的选择,在优化过程中越来越靠近节点。可以预见的是,当信息量超过一定界限后,优化轨迹近似为基于节点为悬停点的最短路径搜索,但始终有着更低的能量消耗,验证了方案的可靠性与合理性,提升了水下节点数据采集的工作效率。

对于可接受中断概率调整的情况,如图 6 所示,分别取中断概率为 0. 01、0. 05、0. 005 以及 0. 001,然后观察随着需要采集数据节点数量的增加能量消耗的变化。可以看出,随着中断概率的变化,能量消耗呈现了有规律的变化。中断概率降低,能耗会有相应程度的降低,但对比与信息量的变化来说,影响程度较小,没有大规模的起伏变化。
通过上述的仿真展示与分析,验证了方案的可靠与优越性,使得数据采集周期中 AUV 与水下传感器节点的能量消耗得到了有效的降低,提高了数据采集效率。
在节点位置与数量确定的条件下,对比平均中断概率随信息量变化的情况,如图 7 所示,可以看出,随着信息收集量的快速增加,通信中断概率逐步递增,使用优化的轨迹方案中断概率有效降低,体现了方案的优越性。

本文通过引入水下无人巡航器 AUV,利用其功能特性在水声传感网络中进行水下信息中继传输,改善通信质量,并以其为基础,设定优化的能耗目标,规划 AUV 的巡航轨迹,对水下传感器节点网络进行数据采集,减少采集过程中的能量消耗,在降低采集成本的同时提升了水下传感器网络的生命周期。
[1] NARANJO P G,SHOJAFAR M,MOSTAFAEI H,et al.PSEP: Aprolong stable election routing algorithm forenergy-limited heterogeneous for supported wireless sensor
networks[J].Journal of Supercomputing,2017,73 ( 2) :1-23.
[2] WANG T S,ZHANG G X,YANG X C,et al.Genetic algo-rithm for energy-efficient clustering and routing in wirelesssensor networks[J]. Journal of Systems and Software,
2018,146: 196-214.
[3] CHEN M Z,ZHU D Q.Data collection from underwater a-coustic sensor networks based on optimization algorithms[J].Computing,2020,102( 1) : 83-104.
[4] KUMARI S,MISHRA P K,ANAND V.Fault resilient rou-ting based on moth flame optimization scheme for under-water wireless sensor networks[J]. Wireless Networks,2020,
[5] WANG L L,XIAO F,HUANG C. Adaptive topologycontrol with link quality prediction for underwater sensornetworks[J]. AdHoc &Sensor Wireless Networks,2018,43( 3-4) : 179-212.
[6] SONG X L,GONG Y Z,JIN D H,et al.Nodes deployment optimization algorithm based on improved evidence theory of underwater wireless sensor networks[J].Photonic Net-work Communications,2019,
[7] WANG H,CHANG T C,FAN Y X,et al. Underwater sensor network deployment algorithm using density-based spatial clustering of applications with noise[J]. Sensors and Materials,2019,31( 3) : 845-858.
[8] XIAO L,SHENG G Y,WAN X Y,et al. Learning-based PHY-layer authentication for underwater sensor networks[J].IEEE Communications Letters,
[9] 张本宏,邱睿,黄琳琳.一种用于工业无线传感器网络的动态调度方法[J]. 合肥工业大学学报,2016,39( 3) : 333-337.
[10] 黄守志,赵学增,BILEN S G 等.基于网格划分的无线传感器网络节点冗余分析[J]. 东北石油大学学报,2013,37( 3) : 112-116.
[11] 王兵,王思奇,董巍,等.保持拓扑连通的有限时间有界聚集控制[J].东北石油大学学报,2016,40( 2) : 99-104.
[12] 崔莉,鞠海玲,苗勇,等.无线传感器网络研究进展[J].计算机研究与发展,
2005,42( 1) : 163-174.
[13] KIM D W.Tracking of REMUS autonomous underwater ve-hicles with actuator aturations[J].Automatica,2015,58:15-21.
[14] 陈巍,魏延辉,曾建辉,等.AUV 纵倾角动态面滑模自适应控制[J].火力与指挥控制,
2016,41( 6) : 73-76
[15] 余明刚,张旭,陈宗恒.自治水下机器人技术综述[J].机电工程技术,
2017,46( 8) : 155-157.
本文整理自《中国电子科学研究院学报》期刊 2022年1月 第1期,转载请备注论文作者,说明文章来源,并备注由“智慧海洋公众交流平台”微信公众号整理。
李 松( 1979—) ,高级工程师,主要研究方向为水下信息系统建模,软件领域工程;
刘照辉( 1993—) ,工程师,主要研究方向为水下信息系
统软件,AUV 轨迹规划。

声明:本公众号相关内容均来自主流媒体及公众号,非商业用途,并不意味着赞同其观点或证实其内容的真实性。版权归原作者所有,如有发现侵犯您的权益,请后台联系编辑,我们会尽快删除相关侵权内容。