■ 文 / 高永琪,马威强,张林森,王 鹏,赵 苗 (海军工程大学兵器工程学院,湖北 武汉)
摘 要:针对水下协同搜索中存在通信延时、单个自主式水下航行器(autonomous
underwater vehicle, AUV)易失效的问题,提出了采用分布式协同结构和滚动优化策略,利用改进型头脑风暴优化(brain storm optimization, BSO)算法优化基于目标存在概率、环境不确定度、协调信息素的目标函数的新方法。MATLAB 仿真验证了该方法的有效性和鲁棒性。仿真结果表明,该方法能实现避碰,并在通信延时情况下仍有能力搜索到所有目标。通过仿真给出了方法关键参数的建议取值范围,并验证了个别 AUV 在搜索过程中失效对总体搜索效果影响不大,方法具有很强的实时性和鲁棒性。
关键字:自主式水下航行器;协同搜索;协调信息素;改进型头脑风暴优化算法
自主式水下航行器是一种能在水下自主航行的智能化装置,具有成本低、隐蔽性强、活动受限小等优点。当前,AUV 的航速、续航力、通信质量、导航和控制能力等都在逐步提高,未来能更多地执行扫雷、攻击、情报搜集、侦察监视等军事任务。单一 AUV 作业往往会因为故障、外部威胁等导致任务失败,而多 AUV 协同作业可以通过配合、补位,降低单一 AUV 失效的影响,从而提高作业效率。当前,协同作业是 AUV 研究的一个热点,如协同定位[1]、协同搜索[2-3]、协同作战[4]等,亦常以 AUV 集群为对象,开展任务规划[5]、编队控制[6]、路径跟踪[7]、集群稳定性[8]等以协同作业为目的的研究。
AUV 还可以与无人水面艇(unmanned surface vehicle,USV)组成异构协同系统发挥更大作用[9-12],如海底资源探测[13-14],为此,有学者研究了 USV 对 AUV 路径的跟踪算法[15-16]以及异构协同系统的通信与导航[17]。日本已陆续在研制与 AUV 协同的 USV,如日本国家海洋研究所研制的半潜式 USV[18]和日本海洋地球科学与技术署的 MAINAMI 型 USV[19]。AUV 异构协同也是 AUV 发展的一个重要方向。
搜索是 AUV 的核心任务之一,成功搜索到目标是执行相关任务的前提,协同搜索是国内外多智能体协同控制领域的一个研究热点。
常见的协同搜索方法有遍历扫描式搜索[20]、分区域覆盖搜索[21-23]、概率图引导搜索[24-27]等。传统遍历式扫描容易因目标运动、传感器失误等原因造成搜索失败,常常要求智能体短时间内迂回,而 AUV 机动性能差,难以满足要求。
分区域覆盖搜索通过合理分配区域,将多机覆盖搜索问题转化为单机覆盖搜索问题,文献[21-23]所述应用 Voronoi 图对搜索区域进行分割,该方法被普遍采用,但这种分割复杂,并且带有不确定性,对智能体的自主性要求也较高。
概率图模型可以有效描述任务环境信息,反映任务环境变化。黄杰等人[28]根据环境的先验信息,在原概率图基础上引入标志位,建立基于双属性矩阵的待搜索环境概率模型,提高环境和目标的信息感知准确度,但该方法使用集中式协同结构,需要优化的决策变量往往是高维的,求解难度大,优化时间长。彭辉等人[29]提出一种分布式模型预测控制的多无人机协同搜索模型,采用基于纳什最优和粒子群优化的算法进行求解,极大地降低求解维度,但无人机之间需要进行多次信息交换才能实现纳什最优,对通信有很高要求,实际中往往无法满足,具有现实局限性。张哲璇等人[30]提出一种重访机制驱动的协同搜索规划方法,重返可疑区域,降低由传感器性能不足造成误判的影响,但该方法未考虑通信约束,也有现实局限性。
本文针对水下存在通信延时和协同过程中单 AUV 易失效的问题,提出一种通信实时性需求低、鲁棒性强的协同搜索算法。通过构造人工势场避免 AUV 碰撞与资源浪费,采用改进后的 BSO 算法确保多 AUV 在协同搜索时能在短时间内做出最优决策。
针对任务区域内存在的 个静止目标,如沉底水雷、海底应答器、海底预置武器等,通过某些手段获取目标先验信息(比如分析区域水文信息、地形信息判断这些静态目标更有可能布放在何处等),但这些信息可能存在一定误差,因此需要指派 个 AUV 进入任务区域,利用携带传感器进行具体搜索以获得目标信息。
对任务区域进行栅格化,每个栅格长宽均为一个单位长度,任务区域由Lx X Ly个栅格组成。假设每个栅格内最多只能有一个目标,AUV 通过传感器可确认所在栅格有无目标。
目前,大部分 AUV 搭载有先进的侦察探测装备,如前视声呐、高分辨率侧扫声呐及先进摄像装备等。其中部分国家采用的干涉型合成孔径声呐和立体搜索声呐,具有很高的分辨率,但是这些传感器仍然可能误判,具有一定探测概率和虚警概率。
假设 AUV 每次移动步长为一个栅格,那么 AUV 在每个决策时刻有八个可能的运动方向,如图 1 所示,偏航角 [0,1,2,3,4,5,6,7]。

但实际上,AUV 具有机动约束,存在最大偏航角增量和最小偏航角增量。本文为表征机动约束,限制 AUV 运动方向为“左航、直航、右航”三种状态,偏航角增量分别用“-1、0、1”表示。k+1 时刻的偏航角通过取模运算获得,计算公式如下所示:
一组偏航角增量可以表征一条搜索路径,如 初 始 偏 航 角 为 0 , 决 策 偏 航 角 增 量 为[1,1,-1,1,0,-1]所表示的搜索路径如图 2 所示。

2.1 目标存在概率图
概率图中栅格( x,y ) 的数值 表征目标在该栅格可能存在的概率。利用高斯分布函数表示其附近区域的初始概率,如下所示:

式中:表示位置(Xp(n),Yp(n))的目标存在概率,即高斯分布的峰值;为高斯分布的方差。当 AUV 航行至栅格 时,目标寻找概率 根据贝叶斯准则更新,具体如下:
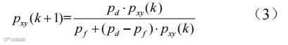
AUV 在第 k 时刻探测到目标,目标寻找概率pxy按照式(3)更新:

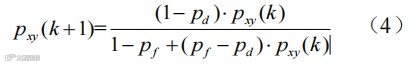
式中:探测概率 表征栅格中有目标且 AUV成功探测到目标的概率,虚警概率p f表征栅格中无目标但 AUV 探测到目标的概率。
AUV 在第 k 时刻未探测到目标,目标寻找概率pxy更新如下所示:

AUV 在搜索过程中,用传感器探测栅格中是否有目标,并及时更新目标存在概率图,当栅格内概率大于阈值P0时,认为该栅格存在目标,并将该栅格的概率置零,以避免吸引AUV 再次前往搜索。
2.2 环境不确定度图
环境不确定度度qxy( k ) [0,1]表AUV 对(x,y)中环境信息的掌握情况,其中qxy(k) =1表示 AUV 对环境信息完全不确定,qxy(k) =0表示 AUV 对环境信息完全确定。初始不确定度根据目标存在概率确定,计算如下:

随着 AUV 对栅格的不断探测,其对栅格环境的掌握愈发清晰,环境不确定度不断变小,具体更新如下:

3.1 目标函数
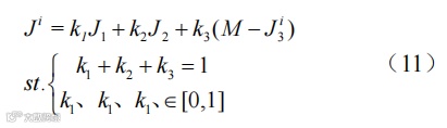
多 AUV 协同搜索的目的是尽量掌握整个任务区域信息,尽可能发现更多目标。因此综合考虑目标存在概率收益、环境掌握程度收益和协同代价制定目标函数。
(1)目标存在概率收益。目标存在概率收益J1是指按照当前目标存在概率图,AUV依照搜索路径航行,所经过栅格的目标存在概率之和,表征 AUV 沿着最有可能发现目标的路径航行。

式中:Ri是指第 i 个 AUV 按照预测的搜索路径航行所经过栅格的集合。
(2)环境掌握程度收益。环境掌握程度收益J2是指按照当前环境不确定图,AUV 按照搜索路径航行,所经过栅格的环境不确定度之和,表征 AUV 沿着环境不确定度最大的路径航行,尽快降低环境不确定度,提高对环境的掌握程度。

目标存在概率收益与环境掌握程度收益度量标准不一,实际计入目标函数时,需要进行归一化处理。
(3)协同代价。协同代价 是指按照当前协调信息素图,第 i 个 AUV 按照搜索路径航行,所经过栅格的协调信息素之和,表征AUV 需要避开可能与其他 AUV 产生冲突的栅格,提高协同搜索效率。

基于上述子目标函数,目标函数计算如下:

3.2 分布式协同搜索过程
本文采用滚动优化策略实时产生最优搜索路径,在滚动时域内预测NP步,但只执行最优决策的第一步;采用分布式结构,将整个AUV 系统的全局优化问题转化为各 AUV 子系统的局部优化问题,减小优化规模、缩短优化时间。
协同搜索问题实际上是一个非线性优化问题,可以通过智能优化算法进行优化。本文采取基于全局最优和差分变异的头脑风暴优化(global-best difference-mutation brain storm optimization, GDBSO)算法[31]优化目标函数,利用其收敛速度快、优化效率高、可靠性较强的优点,快速得到收益最大、代价最小的最优决策,GDBSO 算法主要包括以下几个操作步骤。
(1)聚类操作:种群中的 n 个个体通过k-means 聚类方法分成 m 类,并定义每一类的最优个体为该类的类中心。
(2)取代操作:聚类后,以取代概率pre产生随机个体取代某一个类的类中心,防止算法过早地收敛,并有助于算法跳出局部最优。
1)按照轮盘赌概率选中一个类,选择该类的类中心为待变异个体;2)按照轮盘赌概率选中一个类,选择该类中随机一个个体为待变异个体;3)随机选中两个类,融合两个类的类中心成为待变异个体;4)随机选中两个类,在两个类中各随机选出一个个体,融合成为待变异个体。(4)追随操作:以追随概率 使得选择出来的个体追随全局最优个体。(5)变异操作:以差分概率对待变异个体进行差分变异,否则产生随机新个体作为变异个体分布式多 AUV 协同搜索决策算法步骤如下。
步骤 1根据先验信息初始化搜索图。
步骤 2产生第 i 个 AUV 的初始种群,种群为 n 个个体,每个个体有 个自变量,每自变量的取值范围为-1、0、1。
步骤 3 利用 GDBSO 算法对步骤 2 中的种群进行优化,对每一个选择、追随、变异操作产生的个体进行四舍五入取整,若取整后新个体的自变量不符合条件则重新进行选择、追随、变异操作。
步骤 4 将当前最优决策、当前探测情况发送至其他 AUV,执行最优决策第一步。
步骤 5 判断是否达到最大搜索步长,是则结束,否则转入步骤 6。
步骤 6 接收上一决策时刻其他 AUV 共享的信息,更新搜索图,转入步骤 2。AUV 之间交互的信息包括最优决策与探测情况,最优决策更新环境不确定度和协调信息素,探测情况更新目标存在概率。k 时刻探测当前栅格,接收到其他 AUV 在 k-1 时刻发出的信息,融合后更新自身搜索图,以此作出决策,并发送最优决策与探测情况。AUV 决策的实际依据为上一步的信息,由此允许通信有一定延时。AUV 根据当前时刻各自的搜索图进行优化决策,其中协调信息素来源于上一时刻接受的其他 AUV 的最优决策,使得 AUV 避开可能与其他 AUV 冲突的栅格。
首先,为验证本文提出的协同搜索算法的有效性,将 GDBSO 与 BSO[32]分别应用于决策过程,对比搜索结果。其次,改变预测步长、子目标函数影响系数等参数,分析其对搜索过程的影响。最后,分析搜索过程中某 AUV 失效对整个 AUV 集群搜索效能的影响。
为减少偶然性对仿真结果的影响,各组仿真均独立运行 50 次。计算机仿真平台为 Matlab 2016a,处理器为 Intel(R) Core(TM)i5-6200U CPU@2.30GHz , RAM4GB , 操 作 系 统 为windows10-64 位。

任务区域为 20 km 20 km 大小的海域,均匀划分为 20X20 的栅格。根据先验信息,初始目标存在概率分布如图 3 所示。

4.1 不同算法比较
使用 2 艘 AUV 搜索 50 步,每步决策预测NP =8 步,AUV 的出发航向均为 0。将子目标函数影响系数设置为 =0.4、 =0.4、 =0.2, GDBSO 算法与 BSO 算法的参数设置参考文献[31],其中,种群数量 n=30,最大迭代次数=30。
基于 GDBSO 和 BSO 决策的分布式多AUV 协同搜索路径如图 4 所示。

图中黑色三角形为 AUV 出发位置,黑色菱形为实际目标位置,与先验信息中最有可能的位置存在一定差异,红色区域为禁航区域。
GDBSO 和 BSO 均有能力在 50 步内成功寻得所有目标,并且避开禁航区与避免 AUV同时搜索同一栅格,可见本文提出的分布式协同搜索方法具有可行性。
GDBSO 和 BSO 各独立仿真 50 次,统计结果如表 2 所示。

4.2 参数影响分析
设定预测周期 =8,取不同的子目标函数影响系数进行仿真,各组均独立仿真 50 次,结果如表 3 所示。

结果表明,搜索结果与子目标函数影响系数的取值息息相关。目标存在概率收益权重不断增大,环境掌握程度收益权重 不断减小,寻得目标数量逐渐增大后减小,可见这两个权重处于某种平衡时能使算法有更好的搜索效果。当 =0.4、 =0.4、 =0.2 时,寻得目标数最多为 8.80,说明目标存在概率收益权重等于环境掌握程度收益权重时,目标函数引导 AUV 决策的效果为佳。
设定子目标函数影响系数为K1=0.4、K2=0.4、K3=0.2,取不同预测周期Np ,各组均独立仿真 50 次,结果如图 5 所示。

由图 5(a)可见,预测周期过长或过短都使得搜索效果变差,当预测周期 =8 时,搜索效果最佳。预测周期过短,AUV 没有充分利用搜索图信息,不能作出对未来更有利的决策。预测周期变长,优化规模变大,算法求解难度增大,更容易陷入局部最优,导致搜索效果差强人意。由图 5(b)可见,预测周期越长,每步决策时间越长,但预测周期 =6~10 均小于 1 秒,满足协同搜索实时性要求。综上所述,建议设定预测周期NP =8,既有较好搜索效果,又满足较短决策时间。
4.3 AUV 数量变化
为分析 AUV 数量对搜索效果的影响,分别指派 2~7 艘 AUV 执行协同搜索任务,每组仿真均独立运行50 次,统计寻得目标数量如图6所示。

当 AUV 数量少于 5 艘时,寻得目标数量随 AUV 数量增大而增大,大于 5 艘后,寻得目标数量基本不变。在任务区域与搜索步长不变的条件下,AUV 数量达到一定值后,数量增长对搜索效果基本无帮助。AUV 数量为 6艘时的搜索示意图如图 7 所示,在搜索后期,出现栅格被反复搜索的情况,造成资源浪费。因此要根据实际情况,指派合适数量的 AUV,提高搜索效率,同时避免资源浪费。

由于海洋水下环境复杂,AUV 编队在执行任务过程中容易发生部分 AUV 失效,为此,指派 4 艘AUV组成AUV集群执行协同搜索任务,各 AUV 搜索 50 步,假设在 20 步时有 1 艘 AUV 失效。独立运行仿真 50 次,结果如图8 所示。

由图 6 可知,单 AUV 未失效时 4 艘 AUV寻得目标数量占实际总目标数量的 95.4%,而由图 8 所示,单 AUV 在途中失效时该比例为94.8%,仅比未失效低 0.6%,可见,协同搜索方法鲁棒性较好,AUV 集群并未因个别 AUV失效而导致整体搜索效果大幅度下降。
本文针对水下协同搜索中通信延时、单AUV 作业过程中失效的问题,提出一种具有较强实时性和鲁棒性的分布式协同搜索方法用于对任务海域的静态目标完成协同搜索。该方法利用上一步搜索图信息进行决策,减弱通信实时性需求,通过协调信息素避免 AUV 碰撞与资源浪费,使用 GDBSO 优化目标函数,确保 AUV 短时间内获得最优决策。仿真结果表明单个 AUV 在协同搜索过程中失效对整体搜索效果影响很小,验证了方法的鲁棒性。但本文研究的搜索目标是静态的,实际任务中还有动态目标,协同搜索静态和动态目标是下一步研究方向。
[1] LU J, CHEN X, LUO M X, et al. Cooperative localization for multiple AUVs based on the rough estimation of the NPNP系统工程与电子技术Systems Engineering and Electronicsmeasurements[J]. Applied Soft Computing, 2020, 91(2): 1-15.
[2] LING H F, ZHU T, HE W X, et al. Cooperative search method for multiple AUVs based on target clustering and path optimization[J]. Natural Computing, 2021, 20(1): 1-8.
[3] YAN Z P, HAO Y S, LI J. Multi-UUV collaborative search planning based on predictive control and backtracking[C]//Proc. of the IEEE 38th Chinese Control Conference, 2019: 2266-2271.
[4] DING Y M, LIU C Y, LU Q, et al. Effectiveness evaluation of UUV cooperative combat based on GAPSO-BP neural network[C]//Proc. of the IEEE 31st Chinese Control and Decision Conference, 2019: 4620-4625.
[5] SUN S Q, SONG B W, WANG P, et al. Real-time mission-motion planner for multi-UUVs cooperative work using tri-level programing[J]. IEEE Trans. on Intelligent Transportation Systems, 2020, 2020(99): 1-14.
[6] ZHOU J J, ZHANG Q, WANG H J, et al. Multi-UUV formation coordination control based on virtual navigator[C]//Proc. of theIEEE 39th Chinese Control Conference, 2020: 2090-2095.
[7] HU J W, JIN B, LI H P, et al. A DMPC-based approach to circular cooperative path-following control of unmanned underwater vehicles[C]// Proc. of the IEEE28th International Symposium on Industrial Electronics, 2019: 1207-1212.
[8] LIANG Q W, SUN T Y, OU J L. System reliable probability for multi-AUV cooperative systems under the influence of current[J]. The Journal of Navigation, 2019, 72(6): 1649-1659.
[9] 张伟,王乃新,魏世琳,等.水下无人潜航器集群发展现状及关键技术综述[J]. 哈尔滨工程大学学报,2020,41(2):289-297.ZHANG W, WANG N X, WEI S L, et al.
Overview of unmanned underwater vehicle swarm development status and key technologies[J]. Journal of Harbin Engineering University, 2020, 41(2): 289-297.
[10] XU H X, JIANG C L. Heterogeneous oceanographic exploration system based on USV and AUV: a survey of developments and challenges[J]. Journal of University of Chinese Academy of Sciences, 2021, 38(2): 145-159.
[11] GERMAN C R, JAKUBA M V, KINSEY J C, et al. A long term vision for long-range ship-free deep ocean operations: persistent presence through coordination of autonomous surface vehicles and autonomous underwater vehicles[C]// Proc. of the IEEE Autonomous Underwater Vehicles, 2012.
[12] NAKATANI T, HYAKUDOME T, SAWA T, et al. ASV MAINAMI for AUV monitoring and its sea trial[C]//Proc. of the IEEE Autonomous Underwater Vehicles, 2016:301-306
[13] PROCTOR A, ZARAYSKAYA Y, BAZHENOVA E, et al. Unlocking the power of combined autonomous operations with underwater and surface vehicles: success with a deep-water survey AUV and USV mothership[C]// Proc. of the OCEANSMTS/IEEE Kobe Techno-Ocean,2018.
[14] NORGREN P, LUDVIGSEN M, INGEBRETSEN T, et al. Tracking and remote monitoring of an autonomous underwater vehicle using an unmanned surface vehicle in the Trondheim fjord[C]// Proc. of the IEEE Oceans, 2015.
[15] INABA S, SASANO M, KIM K, et al. Tracking experiment of multiple AUVs by a semi-submersible ASV[C]// Proc. of the IEEE Underwater Technology, 2017.
[16] JI D X, REN S Z, ZHENG R, et al. A tracking control method of ASV following AUV[C]// Proc. of the IEEE Oceans, 2014.
[17] RODIONOV A Y, KULIK S Y, UNRU P P. Some trial results of the hydro acoustical communication system operation for AUV and ASV group control and navigation[C]// Proc. of the IEEE Oceans. Monterey, 2016.
[18] SASANO M, INABA S, OKAMOTO A, et al. Development of a semi-submersible autonomous surface vehicle for control of multiple autonomous underwater vehicles[C]// Proc. of the IEEE Techno-Ocean, 2017:309-312.
[19] NAKATANI T , HYAKUDOME T, SAWAT, et al. Development of an autonomous surface vehicle for monitoring underwater vehicles[C]// Proc. of the IEEE Oceans, 2015.
[20] VALENTE J , BARRIENTOS A, CERROJ D, et al. Multi-robot visual coverage path planning: geometrical metamorphosis of the workspace through raster graphics based approaches[C]// Proc. of the International Conference on Computational Science and Its Applications, 2011:58-73.
[21] GHOSE D, GURUPRASAD K R. Automated multi-agent search using centroidal voronoi configuration[J]. IEEE Transactions on Automation Science and Engineering, 2011, 8(2):420-423.
[22] PEHLIVANOGLU Y V. A new vibrational genetic algorithm enhanced with a voronoi diagram for path planning of autonomous UAV[J]. Aerospace Science and Technology, 2012, 16(1):47-55.
[23] HU J W, XIE L H, LUM K Y, et al. Multiagent information fusion and cooperative control in target search[J]. IEEE Trans. on Control Systems Technology, 2013, 21(4):1223-1235.
[24] SUN A K, LIU H. Cooperative UAV search for moving targets using a modified diffusion uncertainty model[C]// Proc. of the AIAA Guidance, Navigation, and Control Conference, 2009:1-19.
[25] ZHEN Z, XING D, GAO C. Cooperative search-attack mission planning for multi-UAV based on intelligent selforganized algorithm[J]. Aerospace Science & Technology, 2018, 76:402-411.
[26] HU J, XIE L, XU J, et al. Multi-agent cooperative target search[J]. Sensors, 2014,14(6):9408-9428.
[27] KHAN A, YANMAZ E, RINNER B. Information merging in multi-UAV cooperative search[C]// Proc. of the 2014 International Conference on Robotics and Automation. Hongkong, China: IEEE, 2014:3122-3129.
[28] 黄杰,孙伟,高渝. 双属性概率图优化的无人机集群协同目标搜索[J]. 系统工程与电子技术,2020,42(1):118-127.HUANG J, SUN W, GAO Y. Cooperative searching for the multi-UAVs based ondual-attribute probability model optimization [J]. Systems Engineering and Electronics, 2020, 42(1):118-127
[29] 彭辉, 沈林成, 朱华勇. 基于分布式模型预测控制的多UAV协同区域搜索[J]. 航空学报, 2010,31(3):593-601.PENG H, SHEN L C, ZHU H Y. Multiple UAV cooperative area search based on distributed model predictive control[J]. Acta Aeronautica et Astronautica Sinica, 2010, 31(3): 593-601.
[30] 张哲璇,龙腾,徐广通,等. 重访机制驱动的多无人机协同动目标搜索方法[J].航空学报,2020,41(5):220-232.ZHANG Z X, LONG T, XU G T, et al.Revisit mechanism driven multi-UAV cooperative search planning method for moving targets[J]. Acta Aeronautica et Astronautica Sinica, 2020,41(5): 220-232.
[31] 马威强,高永琪,赵苗.基于全局最优和差分变异的头脑风暴优化算法.系统工程与电 子 技术.https://kns.cnki.net/kcms/detail/11.2422.TN.20210531.0826.002.htmlMA W Q, GAO Y Q, ZHAO M. Global-best difference-mutation brain storm optimization algorithm[J]. Systems Engineering and Electronics.https://kns.cnki.net/kcms/detail/11.2422.TN.20210531.0826.002.html
[32] SHI Y H. Brain storm optimization algorithm [C]// Proc. of the 2nd International Conference on Swarm Intelligence. Chongqing, China: Springer, 2011: 303-309.
本文整理自《系统工程与电子技术》期刊2021年9月28日,,转载请备注论文作者,说明文章来源,并备注由“智慧海洋公众交流平台”微信公众号整理。

声明:本公众号相关内容均来自主流媒体及公众号,非商业用途,并不意味着赞同其观点或证实其内容的真实性。版权归原作者所有,如有发现侵犯您的权益,请后台联系编辑,我们会尽快删除相关侵权内容。