近海岸海底环境探测复杂,一直是探测的难点区域。为精准探测近海岸附近的抛石、人工鱼礁、养殖区以及海底浅地层断裂潜伏位置,本文主要介绍了侧扫声呐技术、浅地层剖面技术、单道地震技术的技术原理。
01
侧扫声呐技术原理

侧扫声呐的基本工作原理(图1)为:在声呐底部左右安装声源(高频换能器线阵),定向发射一定频率的声波,声波按照球面波方式传播出去,遇到障碍物会产生反射和散射,其中反射波会按原传播路线返回换能器被接收,记录声波往返的时间,根据声波在目标区海水中的速度,可以求出海底构造到侧扫声呐的距离。将每一发射、接收周期内的声波数据按照一定的排列方式进行组合最终成像,就构成了二维海底地貌图。当然并非所有障碍物都可形成强反射回波,坚硬、平滑的海底界面表面易形成强反射回波;有的海底界面偏软、凹陷甚至凹凸不平,导致散射波发育,反射回波就弱;距离越远回波越弱,被遮挡的海底不产生回波。侧扫声呐工作频率主要在50 kHz~1. 2 MHz,较低的工作频率有较大的探测距离,而较高的工作频率能在有限长度的传感器尺寸下得到高的角度分辨率。
侧扫声呐有3个突出优点:一是海底探测信噪比高,二是可以获得连续精准的海底成像,三是操作简单快捷。在现场测量条件较好情况下,侧扫声呐可以高精度显示海底微地貌形态、分布和基本属性特征,得到连续、高精度、高清晰度的二维海底声波图像,还可以做到区域全覆盖、不漏测、测线重叠区域可处理,这些性能是目前其他海底探测仪器所不能替代的。
02
浅地层剖面技术原理
浅地层剖面技术利用超宽频声波探测海底浅地层结构,探测仪器一般由水下单元、甲板单元和中央控制系统组成。

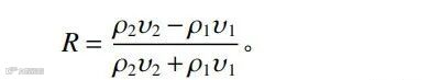
如图2所示,仪器在探测过程中,由水下单元向海底发射低频脉冲声波,穿透海底后,遇到不同的波阻抗界面会产生不同程度的反射波,通过收集分析计算这些不同深度和特性的反射波信息,就可以准确描绘出地层的剖面结构。介质层密度和声波传播速度乘积表示为ρ1υ1、ρ2υ2······ρnυn.,衡量声波在不同界面反射强度的系数R可表达如下: 
由式(1)可以看出,声波反射系数R值的大小取决于ρ2υ2-ρ1υ1,即接收声波的强弱取决于界面两侧介质的物性差异。介质之间的物性差异越大,越容易接收到强反射信号,反映在剖面上的界面层次越清晰(当物性差异特别大时,声波在界面几乎全部发生反射,界面以下无穿透);反之,2种介质物性差异较小时,换能器接收到的该界面反射信号较弱,反映在剖面上的界面层次模糊甚至无法辨析。
浅地层剖面技术水下单元发射相对高频声波时,图像分辨率高,探测深度可达几米;发射相对低频声波时,图像分辨率低,探测深度可达几十米。它具有操作便捷、探测迅速、成图连续等优点,广泛应用于近海海洋地质调查、港口建设、海底管线布设及海上石油平台建设等工程。
03
单道地震技术原理
单道地震技术是用人工方法产生地震波(如电火花震源、气枪震源等),地震波经海水穿透海底,地下地层反射、折射返回海面,使用水听器等装置以一定的观测方式接收这些返回的振动(图3),机械振动转化为电信号后,通过一系列的数字信号转换,得到波形和时间的地震记录,经数据处理后得到地震时间剖面,根据时间剖面与时深转换的最终成果推断海底地下地质构造的特点。单道地震一般选择低频率声波脉冲激发,探测深度根据激发能量可以达几米到几百米,对于海底较深的地质构造、岩矿体、油气资源、海底断裂等有较好的探测效果。
来源 | 本文节选自《莱州湾近岸海底探测应用研究》;原刊于《海岸工程》2023年6月刊
作者 | 宋玉龙 刘同庆 山东省煤田地质局
文章转载自公众号:数智海洋

声明:本公众号相关内容均来自主流媒体及公众号,非商业用途,并不意味着赞同其观点或证实其内容的真实性。版权归原作者所有,如有发现侵犯您的权益,请后台联系编辑,我们会尽快删除相关侵权内容。

