0、引言
随着水声通信设备与无人水下平台的发展,潜艇、水面舰船、UUV( Underwater Unmanned Vehicle )或AUV(Autonomous Underwater Vehicle)成为了组网结点。2017年,美军发布《恢复美国制海权》报告,要求美海军未来装备超大型与智能型 UUV,将其作为一种多任务、多功能,并能携带多种有效载荷的水下作战平台口,明确表明了在未来水下作战中 UUV 集群成为了热点研究和发展方向。
UUV集群协同工作能执行水下隐蔽侦察、水下目标探测定位、水下勘探作业等多种特殊任务,且能有效降低成本、扩大探测能力、提高作业效率,备受各国重视口。UUV 集群技术中涉及了任务分配、路径规划、编队控制和协同导航定位、通信、组网及群体智能等多项关键技术。其中,集群的编队控制与水声隐蔽通信是UUV 集群任务完成及集群安全的基础,是当前 UUV 集群技术能否实用的关键技术之一。然而,当前集群 UUV的水声通信通常隐蔽性关注不足,即水通时,水声信号传播大多还是以广播性、信道开放性特点为多;此种现实情况下,窃听者可以较方便地进行侦查和监听,以窃取通信内容或对通信进行干扰,由此对通信系统的安全性造成严重影响;另外容易造成集群内各节点水声通信的互扰。鉴于 UUV 集群技术的军事敏感性,必须发展适用于集群作业下的水声隐蔽通信技术。
1、UUV 集群的水声通信分析模型

2、截获因子分析

式(1)中的通信距离可以通过建立声呐方程来确定,将式(1)取对数,得到

利用声呐方程衡量声呐的最大作用距离,引入通信与截获机接收机优质因数:

式中:FOMt为通信接收机优质因素;SLt为 UUV 发射声源级;NLt为自噪声与环境噪声级;DIt为 UUV 接收指向性;DTt为通信接收机检测阈。同理写出截获接收机的优质因数FOMi为:

式中:SLi为截获接收机接收到信号的发射声源级;NLi为自噪声与环境噪声级;DIi为截获接收机接收指向性;DTi为截获接收机检测阈。传输损失可以表示为:



3、技术途径
4、系统方案设计及性能分析

2)低截获水声通信。采用宽带扩频波形设计技术:水声通信信号采用时宽积较大的扩频信号或多频组合信号发射及处理技术,如:直接序列扩频(DSSS)跳变频率扩频(FHSS)结合频移键控调制(MFSK)技术等。本文选择 DS-FH-MFSK 混合扩频系统,这种混合扩频能大大提升扩频系统的性能,并且有良好的隐蔽性、抗干扰性。

3)发射功率控制。采用变步长发射功率控制方法实现信号发射能量的控制。本方案以接收信噪比为反馈信息的变步长功率控制系统四,在一次通信后跟随UUV 接收机根据接收信噪比与目标信噪比的差值反馈功率控制命令,让接收信噪比始终维持在大于目标信噪比 0~5 dB 的范围内,超过或低于该范围则根据差值采取相对应的调节步长,满足通信质量的情况下以较低水的功率发射信号,提高低截获性能。

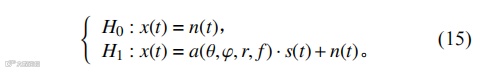
式中:s(1)为发射信号;x(t)为接收信号;n(t)为环境噪声;a(0,φ,r,f)为到达信号系数;0为波束水平角,φ为波束俯仰角,r为UUV 之间的相对距离:f为通信频率。为方便分析,本文假设非合作方可能处在正对主瓣、主瓣-3 dB 或主瓣-9 dB 等不同位置,如图4所示。

合作方通信接收机处于领航 UUV 舷侧阵定向波束覆盖的范围内(反之亦同),且已知发射信号,可通过匹配相关捕获信号。匹配滤波器的统计量为接收信号与通信信号的离散相关,如果满足下式,则判为H1。

非合作方的截获接收机可能处于主波束覆盖的范围外或波束边缘以及旁瓣区域,由于没有通信信号的先验知识,假定非合作方采用的是能量检测器以对信号非相干检测。根据通信模型,截获接收机最佳接收机为平方律能量检测器,结构如图 5 所示。

5、仿真分析




6、结语
ZHONG Hong-wei, LI Guo-liang, SONG Lin-hua, et al. A re-view of the development of large unmanned underwater vehi-cles abroad. Joumal of Underwater Unmanned Systems,2018,26(4):273-282.
[2]陈玮,吴泽伟,吴晓锋.UUV协同探测的现状与发展前景 [J]舰船电子工程,2009.29(2):6-8.
CHEN Wei, WU Ze-wei, WU Xiao-feng. The status and devel-opment prospects of UV collaborative detection[]. Ship Elec.tronic Engineering, 2009, 29(2):6-8.
[3] 周宏坤,葛锡云,邱中梁,等.UUV 集群协同探测与数据融合技术研究[J].舰船科学技术,2017,39(23):70-75.
ZHOU Hong-kun GE Xi-yun, QlU Zhong-liang, et al. Re-search on UUV cluster collaborative detection and data fusiontechnology!].Ship Science and Technology, 2017,39(23)70-75.
[4]任建存,吕俊伟.基于一致性的多 UUV 协同目标跟踪算法J.舰船电子工程,2017,37(5):28-31+44
REN Jian-cun, LU Jun-wei. A consistency based multi UUVcollaborative target tracking algorithm[J]. Ship Electronics En-gineering, 2017,37(5):28-31+44
[5]严浙平,王璐. UUV 水下定位方法的研究现状与进展 [J.哈[5]产尔滨工程大学学报,2017,38(7):989-1000
YAN Zhe-ping, WANG Lu. Research status and progress ofUUV underwater positioning methods]. Journal of HarbinEngineering University,2017,38(7):989-1000.[ 6] SCHLEHER D C. LPI radar: fact or fction[J. IEEE A&E SyS.tem Magazine, 2006,21(5):3-6
[7]柳文明,韩树平,李厚全,等.基于截获因子的直序扩频水声通信隐蔽性能分析[.南京大学学报(自然科学),2017.53(4):654-660.
LIU Wen-ming, HAN Shu-ping, LI Hou-quan, et al. Analysisof covert perfommance of direct sequence spread spectrum un.derwater acoustic communication based on interceptionfactorll]. Joumal of Nanjing University (Natural Science)2017, 53(4): 654-660.
[8]朱埜.主动声呐检测信息原理 上册: 主动声呐信号和系统分析基础(第一版)[M].北京: 科学出版社,2014.
[9]SAGHAEI H, ABBAS A LN. Variable step closed-loop pow-er control in cellular wireless CDMA systems under multipathfading[C///EEE Pacific Rim Conference on CommunicationsComputers and Signal Processing , 2007.[10]SENGIPTA S K. Fundamentals of statistical signal process.ing:estimation theory[1]. Control Engineering Practice, 199437(4): 452-466.
[11] PRESCOTT G E, GUTMAN L, CONNOLLY D, et al. Amethodology for employing modulation quality factors in theanalysis of LPl wavefomms[C]//MILCOM 91-Conferencerecord.1991.
作品来源
本文整理自《舰船科学技术》期刊 2024年5月 第46卷 第10期,转载请备注论文作者,说明文章来源,并备注由“智慧海洋公众交流平台”微信公众号整理。

声明:本公众号相关内容均来自主流媒体及公众号,非商业用途,并不意味着赞同其观点或证实其内容的真实性。版权归原作者所有,如有发现侵犯您的权益,请后台联系编辑,我们会尽快删除相关侵权内容。

