来源:节选自《水声学》水声工程学院声学教研室
海洋中存在大量的散射体,比如海洋生物、泥沙粒子、气泡、水团等。当声波投射到散射体上会产生散射,散射声波在接收点处叠加形成混响。混响的特点有:
紧跟在发射信号之后
随时间衰减
1. 混响的分类
体积混响:海水中流砂粒子、海洋生物,海水本身的不均匀性等,对声波散射所形成的混响。
海面混响:海面的不平整性和波浪形成的气泡层对声波散射所形成的混响。
海底混响:海底及其附近散射体形成的混响。
海面混响和海底混响统称为界面混响(散射体分布是二维的)。
2. 散射强度
定义:参考距离1米处被单位面积或体积所散射的声强度与入射平面波强度比值的分贝数。

散射强度也是在远场测量后再归算到单位距离处的。应用如下:
散射强度是表征混响的一个基本比值,可利用它计算各类混响的等效平面波混响级或进行混响预报;
体积混响的反向散射强度值为-70dB~-100dB,远小于海面和海底值。
3. 等效平面波混响级
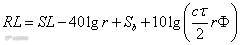
若接收器接收来自声轴方向入射的强度为I 的平面波输出端电压为V,如将接收器放置在混响声场,声轴对着目标,接收器输出端电压也为V,则混响场的等效平面波混响级RL 为:

混响是随时间指数衰减的,因此,它对接收信号干扰的大小与信号到达时间有关。
4. 计算等效平面波混响级的基本假定
直线传播,计及球面衰减和海水吸收:

散射体分布是随机均匀的,且每个散射体贡献相同;
散射体数量极多,单位体积元和面元有大量散射体:Ssv =常数;
不考虑多次反射,只考虑一次散射;
脉冲时间足够短,忽略体积元和面元尺度范围内的传播效应。
1. 对混响有贡献的区域
海洋中存在大量散射体,它们距离声源和接收器的远近不一样,入射声波照射到散射体的时刻有先后。某时刻的混响是该时刻所有到达接收器的散射波的总和。
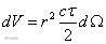
考虑收发合置情况,声源、接收器位于O点,发射脉冲宽度为τ,根据球面扩展假设,该脉冲在海水中形成一个厚度为cτ 的扰动球壳层,发射脉冲结束后的t/2时刻,该扰动球的内外半径为:


球壳内的散射体在t/2时刻的散射波,不能在同一时刻传到接收器。球壳内层半径为r1 的A点脉冲后沿激发的散射波在t/2时刻开始传向接收点;而半径为r0 的B 点。
脉冲前沿在t/2-τ/2时刻开始向接收点发出散射波,到达A 点的时刻恰好也是t/2 ,它们可在t 时刻同时到达接收点。
位于r0 和r1 之间的散射体都和B 点类似,都会对t 时刻的混响有贡献。上述推导也适用于海面和海底混响,只是圆环替代球壳。
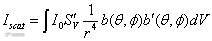
2. 体积混响理论

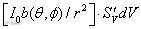
假设散射体为均匀分布,发射器的指向性为b(θ,φ)。单位距离处的轴向声强为I0,则在空间 (θ,φ) 方向上的声强为

考虑 (θ,φ) 方向上r 处有一体积为dv 的体积散射体,根据基本假设,dv 处的入射声强度为

根据散射强度的定义:

令:

则可得在返回声源方向距离dv 单位距离处的散射声强度为

在入射声波作用下,由dv 产生的返回声源处的散射声强度为

设接收器指向性为b'(θ,φ)(收发合置则有b’=b),则对接收器输出端有贡献的声强绝对值为

总的散射声强为:

根据假设,每个散射体元有相同的贡献,总散射声强绝对值为:

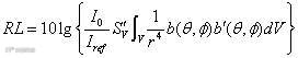
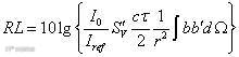
根据混响级的定义式和上式,体积混响等效平面波混响级为:

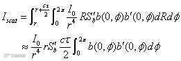
积分计算:对体积混响有贡献的体积是厚度为cτ/2的球壳层,则有


dΩ 是体积元对接收点所张的立体角,将上式代入体积混响等效平面波混响级积分公式得:

注意:上式中积分
一般不易求得,若将其视为发射-接收的组合束宽,则用一理想的等效指向性来替代。

设有立体角Ψ,具有如下指向性:在立体角Ψ 内,相对响应为1;在立体角Ψ 外,响应为零,即

用理想指向性替代实际合成指向性,则等效平面波混响级为

或写成

r 是散射体到接收器之间的距离,它与传播时间t 之间的关系为:

体积混响等效平面波混响级的理论公式:

混响声强与入射声强度、发射信号的脉冲宽度、发射-接收换能器的组合指向性束宽等量成正比;
混响强度与混响时间的平方成反比,与散射体元的散射强度也有关。
3. 深水体积混响源及其特征
回声强度强的层称为深水散射层 (DSL),它是体积混响的主要来源。
混响源分为:
生物性的:磷虾科动物、乌贼和挠足类动物。
非生物性的:尘粒和砂粒、温度不均匀水团、海洋湍流、舰船尾流。
特点是:
有一定厚度;
深度不固定,具有昼夜迁移规律,深度变化可达几百米;
具有低频选频特性。
混响产生的原因:
散射体是生物性的,为存在于海洋中的海洋生物;
低频选频特性是由含气鱼鳔所造成;
非生物性的散射体对散射贡献是微不足道的。
深水散射层声学特性如下:
深度大约在180~900m,典型深度为400m,而其厚度则为90m;
在1.6~12kHz范围内,层中值具有频率选择性,在不同深度上,层有不同共振频率,反映了层的多层结构;
存在于全地球的海洋中,是全地球海洋声学和生物学上的有规律的特征;
散射层在日落时上升,日出时下降,白天和夜晚深度保持不变。
4. 舰船尾流
舰船尾流是航行中的舰船的螺旋桨所产生的一条含气泡湍流,其宽度变化在开始时与船宽一样,以后逐渐增宽;其深度变化在开始时,厚度约为2倍船吃水深度,而后逐渐发生变化。保持时间长且能给延伸很远,视为大目标,其回声具有混响的一些特征。
尾流强度,是用来描述尾流声散射作用的参量,定义为单位长度尾流的散射强度,与Sv 相类似的一个量;它与舰船类型、航行速度和深度,以及频率等量有关。

尾流片段
1. 海面表层内的空气泡
海面的不平整性及波浪产生的小气泡对声波的散射形成海面混响,其特性与水中气泡的声学特性密切相关。
2. 小气泡对声波的吸收作用
小气泡不属于吸声材料,小气泡群的吸收和散射作用使得声波通过这种气泡群后会产生很大衰减。
衰减的原因如下:
气泡散射,气泡的存在使介质出现不连续性;
气泡再辐射,在入射声波作用下,气泡作受迫振动,向周围介质辐射声能;
气泡热传导,气泡的压缩、膨胀产生热传导;
流体粘滞作用,水介质与气泡的磨擦产生热能。
3. 小气泡的共振频率
小气泡类似于谐振腔,在声波的作用下,其振动机理类比电路如下:

等效弹性系

共振质量

辐射声阻

总压力

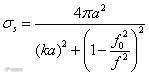
其中,a 为气泡半径;S0 为气泡的表面积;V0 为小气泡的体积;P0 为作用气泡的压力;γ 是气体等压比热和等容比热的比值,标准状态下γ=1.41。由上图可知,小气泡作受迫振动时的等效机械阻抗:

气泡的共振频率:

结论:
半径在 (0.1~0.01)cm数量级范围内的气泡的共振频率为 (3.3~33)kHz,而声纳的工作频率恰好在此范围,所以该半径范围的气泡对声纳工作影响最大。
海水中压力P0 与海水深度d 有关,则深度d 处的空气泡的共振频率为

单位:kHz,a 的单位为cm;d 的单位为m。
4. 单个气泡的散射截面、吸收截面和消声截面
根据机电类比,小气泡的散射功率Ws 就是消耗在电阻上的功率:

式中

这是入射声的强度。
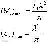
定义散射截面

则单个气泡的散射截面:

以上表明:声波频率与散射功率、散射截面有关。
当f=f0 时,气泡处于共振状态,散射功率、散射截面达到最大,分别为:

单个气泡的的消声截面=散射截面+吸收截面(因为气泡的消声作用是由散射作用和吸收作用构成)。
5. 衰减系数
衰减系数是平面声波在含气泡水中传播时的声强度衰减。

式中,I2 和I1 分别为声波传播方向上相距单位距离的两点声强。
设每个气泡的消声截面为σem²,每m³水介质中含有n 个共振气泡,则衰减系数为:

注意:上式忽略气泡间的多次散射,仅适用于气泡浓度不大的情况。
6. 含气泡水介质中的声速
含气泡水中的声速与气泡含量、声波频率有关。当声波频率低于气泡共振频率,气泡的存在使声速明显减小;相反,当声波频率远高于共振频率,气泡对声速不产生明显影响。若声波频率就在共振频率附近,则随着频率的变化,声速发生剧烈改变。

7. 海面混响的理论处理
设收发合置换能器位于O 点,离海面散射层的距离为h;收发换能器指向性分别为b(θ,φ)、b'(θ,φ)、声源在散射层上的投影点O' 到圆环内侧距离为R ,声源到圆环内侧的斜距为r。

海面对混响有贡献的区域是厚度为H,宽为cτ/2 的球台状圆环,如图所示。对于海面混响,也可以像体积混响一样来推导等效平面波混响级表达式,不同的是积分体积改变了,散射强度采用界面散射强度Ss。
类似体积混响的理论处理,对混响有贡献的散射声强:

只有工作在近海面的声纳才可能受到海面混响的严重干扰,因此可假设
R》h, r》h, cosα≈0,r》H
在上述假设条件下,收发换能器垂直指向性不起作用,只有水平指向性才起作用,这样散射面近似在平面内,所以有θ=0。


则散射声强为:

同体积混响一样,用一个理想指向性替代发-收组合指向性束宽:

最终,散射声强为:

特点:
散射声强度正比于发射声强、发射声信号脉冲宽度、发-收换能器组合指向性束角;
与距离的三次方成反比,即随时间的三次方衰减。
海面混响的等效平面波混响级表达式:

海面混响等效平面波混响级:
若散射层内Sv 是均匀的,则Sv+10lgH 恰好就是界面散射强度Ss;则海面混响的等效平面波混响级表达式:

若散射层内Sv 是不均匀的,则

8. 海面散射强度
计算海面混响的RL,必须知道Ss,因此对海面混响的研究实际是对Ss 的研究。
海上测量结果表明:海面散射强度与掠射角、工作频率和海面上风速有关,见下图 (60kHz)。

海面散射强度与掠射角、风速的关系分成三个区域:
(1) 与掠射角关系
掠射角小于30°,散射强度几乎不随掠射角而变,但随风速增加而增加。
原因:气泡散射,气泡密度变大。
掠射角在30°~70°范围,散射强度值随风速的增长逐渐变慢。
原因:海表面的反向散射是主要原因。
掠射角在70°~90°范围,尤其是在接近正投射情况下,散射强度值反而随风速增加而减小。
原因:镜反射减小,海面破碎程度严重。
(2) 与频率关系
小掠射角角度时,散射强度为3dB/倍频程关系。垂直入射时,此关系不明显。
经验公式:Chapman 和Harris 等人得到了计算海面反向散射强度的经验公式(风速:0~30节,频率:0.4kHz~6.4kHz)

9. 关于海面散射的理论
Echart 理论:将海面看作随机不平整表面,混响为海面上次级辐射声源的贡献和:

光栅理论——Marsh 等人提出的理论:

不涉及风速、声波频率,不符合海面散射的实际物理过程。
用粗糙度、波长和角度描述

注意:由于海面散射的复杂性及易变性,以上介绍的理论都只在一定的范围内才能解释海上实际测量结果。
1. 海底混响的理论处理
海底散射的几何关系如下图所示。收发合置换能器距离海底高度为H,它们的指向性分别为b(θ,φ)、b'(θ,φ)。根据实际情况,H《r,所以α≈π/2,这使得反向散射过程与换能器垂直指向性基本无关,故指向性可近似为b(0,φ)、b'(0,φ)。

类似于体积混响理论处理的推导过程,海底混响的有效散射声强为:

为海底反向散射强度;面元
。
用一个理想指向性图Φ 替代发收组合的指向性束宽:

由

得海底散射声强:

特点:
海底散射声强度正比于发射声强、发射声信号脉冲宽度、收-发组合指向性束宽;
与距离的三次方成反比,即随时间三次方衰减。
海底混响的等效平面波混响级表达式:

2. 海底散射强度
海底散射强度主要受底质、掠射角和频率影响。其与声波频率的关系如下:
比较平滑的海底(泥浆底或砂底):在很宽频率范围内,随频率以3dB/倍频程增大;
岩石、砂和岩石及淤泥、贝壳海底:与频率基本无关。
海底粗糙程度影响散射过程,粗糙度大于波长,海底反向散射与频率无关;粗糙度小于波长时,散射强度随频率增大。根据海底散射强度随频率变化,将海底粗糙度分为三类。
有不大起伏的深海海底平原。粗糙度大体与波长相比拟,散射强度随频率而增长;
多有水下山脉,海底不平。散射强度无明显频率关系,可用Lambert定律描述;
介于以上两类海区。散射强度亦介于两类海区散射强度随角度和频率的变化关系之间。
与海底底质和角度的关系如下:

在沿海各个站位上测量得到的海底反向散射强度

低频海底反向散射强度与掠射角的关系
海底散射强度大于海水的体积散射和海面散射强度,对于工作在近海底的主动声纳来讲,海底混响可能成为主要干扰背景。
3. 关于海底反向散射的理论解释
产生散射的主要原因是,海底的起伏不平整性及表层的粗糙度;
海底对声波的散射作用的本质是,将投射到海底的声能量在空间中进行了重新分配;
强粗糙面上的散射问题可用兰伯特 (Lambert) 定律描述。
1. 分布函数及平均起伏率
混响是一个非平稳随机过程,随时间而衰减—平稳化处理—补偿放大器补平平均强度—只改变平均值、没有改变混响过程的相对起伏大小。
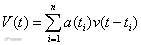
混响瞬时值:

式中,a(ti )是散射波的随机幅度;v(t-ti )是单个散射信号的形状。
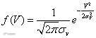
当发射信号的频谱不太宽时,假设每个散射波的相位在0~2π 内随机取值,此时混响瞬时值满足正态分布规律,概率密度为

混响振幅的分布规律:

可以证明,凡是幅度几乎相同,而相位是0~2π 均匀分布的振动迭加后得到的信号,其振幅服从瑞利分布。
混响振幅的概率密度函数为

起伏率:

结论:对于瑞利分布而言,起伏率为52%。
2. 混响的相关特性
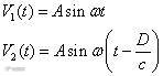
两个水听器接收到的散射波声压为


当散射体到水听器的距离r 远大于水听器间距l 时,

将V1、V2 相乘,取时间平均得:

相关系数:

积分得到单个散射源的散射声场相关系数:

混响的相关系数:

如果水听器的水平指向性开角为Θ,且θ≤Θ、sinθ≈θ

相关系数随l 的衰减变化

特点:
相关系数随水听器间距l 作振荡衰减;
相关系数与频率有关。
频率分布:
正弦填充脉冲声纳的混响在频率上与发射频率不完全相合,在频率两侧都有频移;
发射脉冲有一定的频宽,发射脉冲宽度为τ 时,其频宽近似为1/τ。
声明:本公众号相关内容均来自主流媒体及公众号,非商业用途,并不意味着赞同其观点或证实其内容的真实性。版权归原作者所有,如有发现侵犯您的权益,请后台联系编辑,我们会尽快删除相关侵权内容。

