本文选自中国工程院院刊《中国工程科学》2024年第2期
作者:张竞丹,吴怡,陈峰,黄兴雨
来源:线形声矢量阵一阶可调向差分波束形成器设计[J].电讯技术,2025,65(09):1487-1495.DOI:10.20079/j.issn.1001-893x.240129001.
摘要
摘要:为解决现有线形一阶差分波束形成器主瓣无法随运动目标方向改变的问题,提出一种线形声矢量阵一阶可调向差分波束形成器设计方法。首先,根据均匀线形阵列接收信号模型,从理论上推导了信号模型和性能评价公式,给出了波束图和指向性定义。然后,将各通道权值与各通道的导向矢量的和基于McLaughlin级数展开,与可调向差分波束形成器表达式对照,得到各通道权值表达式。仿真实验表明,相较于一阶差分麦克风,阵列,该算法指向性更优越目几乎不随频率而变化。水池实验结果表明,相较于传统的声压传感器,该算法处理后的阵列增益为9 d8,更加有利于水下探测。
一、前言
传统的波束形成器主瓣位于端射方向,然而在实际应用中,声源位置经常会发生变化,这使得不可调向的差分波束形成器无法满足声源位置动态变化的探测需求,因此设计可调向的波束形成器至关重要。一阶可调向差分波束形成器能提供比传统基于声压传感器更准确的方向信息,并且在多信号环境下能够抑制噪声和干扰,提高接收信号的信比。
目前可调向差分波束形成器大多基于圆形阵列、方形阵列、同心圆阵列等平面阵展开研究。Wu等人通过单极子和两个正交偶极子的线性组合,构建了一种四元方形阵列的一阶可调向差分波束阵列。相对平面阵而言,线形差分麦克风阵列的应用研究更加广泛。但是目前对一阶线形可调向差分波束形成器算法研究仍然较少,甚至有文献认为一阶线形阵不可完成调向!1,因此对一阶可调向线形差分波束形成器的研究十分关键。Huang等人基于Jacobi-Anger展开,提出了一种任意平面几何形状阵列的可调向波束形成算法。尽管这种方法具有通用性,但有巨大的计算复杂度,且无法实现线形麦克风阵列全向转向。Chen等人完成了基于线形声矢量传感器阵列(Linear Acoustic Vector Sensor Arrays,LAVSs)的差分波束形成器转向问题的理论分析,但其并未对理论结果展开实际的实验验证。
本文在文献的基础上,对一阶可调向线形差分波束形成器进行详细的理论分析,介绍了基于线形声矢量传感器阵列的一阶可调向差分波束形成器设计方法,并展开仿真实验与水池实验验证本文算法的性能。水池实验结果表明,本文所提出的算法可有效抑制噪声。
二、信号模型与性能测量
(一)信号模型
式中:ω=2πf为角频率(f>0);τ0=L/c为相邻阵元之间的时延,c是声波在水中传播速度。假设阵元间距远小于信号半波长,即L≪λ/2,其中λ=c/f,此时,
可以得到ωτ0<π (2)
声矢量传感器(Acoustic Vector Sensor, AVS)是一种能够同时采集声压和振速的传感器。以二维AVS为例,其可以接收声场中的声压和振速信息(即p、x、y3个通道的数据)。
在稳定的均匀各向同性非粘性流体介质中,欧拉公式可以表示为
式中:p(r,t)是t时刻声场r处的声压,r=xi+yj+zk,i、j、k是三维空间中的空间向量,分别代表x、y、z轴方向的单位基向量;v(r,t)是t时刻声场r处的速度;ρ表示流体介质的密度。
对于远场条件下的平面波,声压函数可以写为
[Math Processing Error](4)
式中:uT=[cosθsinφsinθsinφcosφ]是声矢量传感器阵列的导向矢量;θ和φ分别表示入射目标的方位角和俯仰角。矢量垂直线形阵列示意图见图1。
声压梯度函数可以表示为
根据此时的传播介质特性,加之在远场假设条件下,发射声波频率较低,因此可以忽略式(5)中振速的加速度项,将其线性化,可得到
[Math Processing Error](6)
式中:Z=ρc表示波阻抗。因此,对于AVS的二维模型,每个声压通道和振速通道的接收数据模型可表示为
式中:p、Vx、Vy分别表示沿x、y轴的声压和振速。为了进一步简化接收数据模型,将波阻抗Z的值设为1,俯仰角φ设置为理想值90°,则AVS接收数据模型可以表示为
结合公式(1),均匀矢量线形阵列的导向矢量可表示为d(ω,θ)=dp(ω,θ)⨂Φ(θ) (9)
Φ(θ)=[1,cosθ,sinθ]T(10)
式中:⨂表示Kronecker积。
第m个AVS接收信号可以表示为
式中:X(ω)表示接收的信号矢量;Vm(ω)、Ym(ω)分别表示第m个AVS接收到的噪声矢量和数据矢量。
传统波束形成方法是通过对阵列采集到的数据进行加权求和得到最优输出,其输出可以表示为
[Math Processing Error]
式中:v(ω)、Wm(ω)、w(ω)分别表示噪声矢量、各通道权值和权值矢量。
(二)波束图
评价波束形成器的一个重要指标是波束图。传统的波束图可以定义为
[Math Processing Error]
式中:下标p表示与声压传感器相关的参数。此时,B[hP(ω),θ]可以看作是一个滤波器,它可以提取指定方向上的目标,抑制其他方向的噪声。理想情况下,N阶差分波束形成器具有如下波束图:
[Math Processing Error](14)
式中:vN,n是实系数,并且
[Math Processing Error](15)
由式(14)可以看出,对于不同线形阵得到的差分波束形成器,其主瓣均对准端射方向,这限制了差分波束形成器的应用范围,而可调向差分波束形成器可以通过转向角α将波束图的最大响应引导到目标方向。
根据式(14),可调向波束图可重写为
[Math Processing Error](16)
(三)DF的定义
指向性因子(Directivity Factor, DF)是度量接收信号质量的一种重要标准。DF描述了波束图能量的集中程度,能够反映其相对于无指向性波束形成器的增益。不可调向波束形成器的DF定义为
[Math Processing Error](17)
公式(17)中,不可调向波束形成器的最大增益在端射方向获得。对于可调向波束形成器,式(17)可改写为
[Math Processing Error](18)
下文关于DF的计算基于式(18)进行。
三、一阶波束形成器
根据波束形成器定义,将各通道权值与各通道的导向矢量求和可以得到
[Math Processing Error]
式中:Fm(ω)、Gm(ω)和Hm(ω)分别表示第m个AVS的p、x、y通道的权值。
由McLaughlin公式展开式,可知
[Math Processing Error](20a)
根据式(20),可以将公式(19)改写为
[Math Processing Error]
用N来代替公式(20)中的∞,即N阶差分波束形成器具有以下形式:[Math Processing Error]
式(22)在一阶波束形成器(即N=0)的情况下有
[Math Processing Error]
差分指向性可调情况下的波束图为
B1(θ-α)=v1,0+v1,1cos(θ-α)=v1,0+v1,1cos θcos α+v1.1sin θsin α(24)
由可调向指向性定义可以得到
v1,0+v1,1cos θcos α+v1,1sin θsin α≤1 (25)
在波束对准目标方向α时有
v1,0+v1,1cos2α+v1,1sin2α=1 (26)
假设当v1,0=v1,1cos α时,获得最大DF值。由式(25)、(26)可以得到
当α=90°时,tan α将趋于无穷,此时v1,1sin α无解。为使其有解,v1,1sin α的值可由下式确定:
[Math Processing Error](28)
同理,当α=-90°时有
[Math Processing Error](29)
根据式(23)、(24)可以获得各通道权值,有如下对照关系:
至此,求出各通道权值如下:
式中:i=1,2,…,M。
四、算法验证
(一)仿真
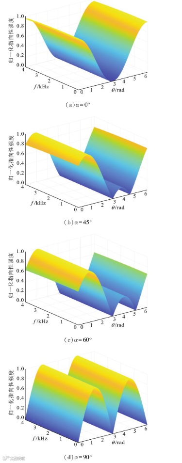
在本节中,仿真实验选择由3个AVS组成的均匀线形阵列(Uniform Linear Array,ULA)来评估所提出的差分波束形成器的性能,并与一阶差分麦克风,阵列(first-order Differential Microphone Aray,FODMAS)进行比较。仿真实验中将阵元间距设置为5 cm,转角分别设置为0°、45°、60°和90°,频率设置为1KHz,模拟一阶波束图,结果如图2所示。从图2可以看出,与FODMAS相比,本文算法的波束图更窄,拥有更加优越的指向性性能。当转向角不同时,一阶波束图的形状发生变化,这意味着此时DF是一个随转向角变化的函数。
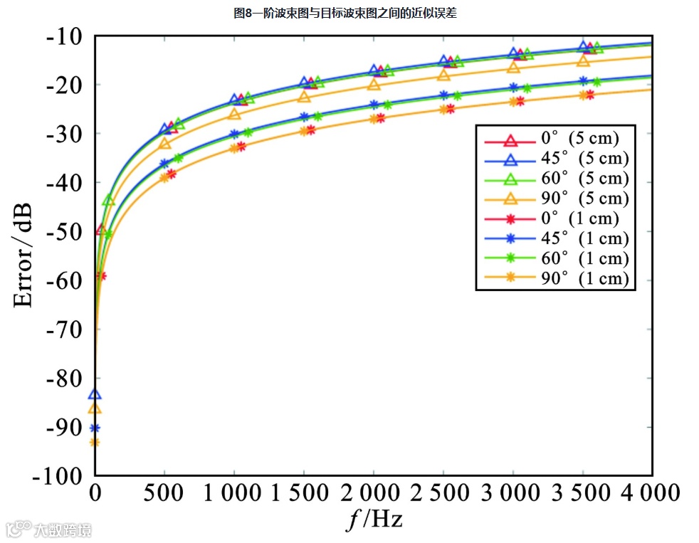
为了衡量本文方法的波束图与目标波束图的误差,利用下式进行计算:
Error(θ)=10lg∫π0|BM,N(θ)-BN(θ)|2dθ(32)
式中:BM.N(0)是目标波束图。通过式(32)进行近似误差仿真,在阵元间距为5cm的情况下,其结果如图3所示。由图3可以看当转向角处于0°、45°、60°和90°时,算法近似误差均处于较低水平。这表明在一阶情况下,该方法构造的波束图具有较高的稳健性。
将式(19)代入式(18)可得
[Math Processing Error]
对上式进行理论仿真,结果如图4所示。由图4可知,在α=60°时,DF达到最小值,这在式(33)中可以得到验证。由此可知,本文算法的正确性进一步得到了验证。
为进一步验证本文算法的稳健性,在不同频率下将本文算法与FODMAS的DF进行对比分析,仿真结果如图5所示。
由图5可知,最大DF值随转向角度的不同而不同,并且0°、45°、60°和90°的增益均可对应于理论值。另外,从图5可以看出,杰文算法的DF几乎不随频率变化,而FODMAS的DF会逐渐增大。这表明本文算法的DF相较于FODMAS的DF更稳健。利用仿真来验证波束图与频率的关系。在不同频率下进行一阶波束图模拟,结果如图6所示。
从图6中可以看出,随着频率的变化,波束图基本没有变化,侧面反映了DF与频率几乎无关。
为了验证阵元间距对算法性能的影响,在阵元间距分别为1cm和5 cm的情况下进行一阶算法的波束图仿真,结果如图7所示。
从图7可以看出,阵列元间距为1cm时的波束图比阵列元间距为5cm时的波束图更窄,拥有更加优越的指向性性能。这说明阵元间距越小,算法指向性越好。
在阵元间距分别为1cm和5 cm的情况下进行一阶算法的近似误差仿真,结果如图8所示。通过图8可以发现,随着阵元间距的减日标波束图与构造的波束图之间的误差急剧降低,这说明阵元间距是影响算法性能的重要因素。
(二)实验
本次实验使用5元十字矢量水听器阵列在四周装有消声劈尖的消声水池进行算法性能测试,水池尺寸为25mx15mx10m。实验所用传感器阵列和实验场景如图9所示。水听器不考虑轴接收振速,即可认为是二维矢量水听器,阵元间距为25cm,实验发射端中心相对于接收端中心的角度为0°与接收端中心直线距离为8.7m,发射端入水深度为3m,接收端入水深度为2m,采样频率为50KHz。
发射频率分别为1.6kHz、2KHz、3.15kHz和4kHz的单频信号。对采集到的实验数据按照本文所提的方法进行处理,将引导角对准目标方向,处理后的结果如图10所示。从图10可以看出,在发射信号频率为1.6kHz、2kHz、3.15kHz和4 kHz的情况下,信号处理前后的噪声功率谱密度相差大约9dB。这是由于矢量水听器相对于声压水听器有4.80dB的空间增益,并且经本文算法处理后在0可实现4.26dB理论指向性增益,因此目标在0“时可获得大约9dB的增益。实验结果表明本文算法可以有效地抑制噪声,进一步验证算法的有效性和可靠性。
五、结束语
本文在文献的基础上,补充了水池实验验证算法性能。仿真和实验结果表明,该算法成功实现了指向性的角度引导,有效抑制了来自其他方向的噪声,而且算法具有较好的稳健性。此外,仿真结果显示,阵元间距减小,算法性能随之提升,因此在实际应用中建议缩小阵元间距。
本文主要在水听器各通道均能正常接收目标信号的条件下展开研究,但是在实际工程应用下,由于水听器安装、硬件电路损坏等因素,可能使水听器个别通道失效,无法采集信号,导致算法性能下降。后续将会针对水听器通道失效的情况开展研究,掌握矢量水听器个别通道失效对于算法的影响,研究解决矢量水听器个别通道失效时的稳健差分指向性算法。
六、参考文献
声明:本公众号相关内容均来自主流媒体及公众号,非商业用途,并不意味着赞同其观点或证实其内容的真实性。版权归原作者所有,如有发现侵犯您的权益,请后台联系编辑,我们会尽快删除相关侵权内容。

