水下声隐身目标探测关键技术与发展趋势
杨益新, 谢磊, 杨龙, 汪勇, 王璐, 刘煜琪
中国舰船研究,2025, 20(5): 3-13
阅 读 原 文
下 载 PDF
|
|
|
|
|
随着水下目标声隐身能力的提升与复杂海洋环境中声传播特性异常现象加剧,水声探测技术面临着严峻挑战。依赖于水下目标自身辐射噪声的被动声呐,虽具备隐蔽性优势,但对“安静型”目标的探测范围急剧下降。主动声呐通过主动发射声波实现水下目标探测,探测范围较大,但受限于混响干扰、探测盲区,且面临自身暴露风险。结合水下航行体声隐身技术的发展趋势,系统阐述主/被动声呐探测关键技术发展现状及存在的问题。结合主动多基地探测与分布式被动接收网络,构建主被动联合探测系统。提出“日常警戒−关键探测”分阶段主被动联合探测策略,重点论述主被动联合探测的协同架构和实现方法。旨在为水下探测系统的多模态协同设计提供理论支撑与技术参考,推动水声探测技术向高效、智能、可持续方向演进。
引
用
本
文
杨益新, 谢磊, 杨龙, 等. 水下声隐身目标探测关键技术与发展趋势[J]. 中国舰船研究, 2025, 20(5): 3–13. DOI: 10.19693/j.issn.1673-3185.04516
YANG Y X, XIE L, YANG L, et al. Research advances and development trends in acoustic target detection[J]. Chinese Journal of Ship Research, 2025, 20(5): 3–13 (in Chinese). DOI: 10.19693/j.issn.1673-3185.04516
引 言
水下航行体探测技术是海洋资源开发、军事防御与科学研究等诸多领域关注的焦点。美国海军在《2000—2035年海军技术》报告中将隐身技术列为首要发展方向[1]。随着水下航行体声隐身技术[2-3]及深海装备的快速发展,水下目标的辐射噪声级和目标强度均显著降低。现代水下航行体设计正朝着超安静和超隐身方向发展,其噪声级已低于1~2级海洋环境噪声[4-5]。另一方面,受人类海洋活动和海底地质运动的影响,海洋环境噪声的复杂性进一步加剧[6],加之复杂海洋环境引起的声传播异常现象频发,水下声隐身目标探测面临着越来越严峻的挑战。
在被动声呐探测中,波束形成是阵列信号处理的基本环节之一,可增加声呐阵列输出端信噪比,同时可以通过波束优化技术抑制干扰。真实海洋中,湍流、内波、锋面和中尺度涡等复杂海洋动力过程,会引起海水温度、密度、声速等参数波动,叠加非均匀海底地形的影响,导致水声信道空时变化复杂,声传播特性也随之改变,包括传播损失异常和声场空时相关性衰减等[7]。波导环境空时变化带来的多途传播起伏及阵元间信号的相关性下降,将导致波束形成输出增益小于理想值,声呐实际工作性能低于设计性能[8]。尤其对于大孔径基阵,如拖曳水平阵和大型岸基阵,当阵元个数达到一定值时,传统算法处理增益将不再随着阵元个数增加而增大,难以达到大孔径基阵设计性能要求[9]。为了解决波导环境中波束形成性能下降问题,学者们提出了多种波束形成处理算法,如匹配场波束形成(matched field beamformer,MFBF)[10-11]、匹配模波束形成(matched mode beamformer,MMBF)[12-13]、子阵波束形成(subarray beamformer,SBF)[14]等方法。MFBF是最早将水声场与水声信号处理相结合的处理方法,一直是国内外学者研究的热点之一[15-17]。在此基础之上发展了MMBF方法。但MFBF和MMBF处理性能均受到海洋环境参数起伏的影响[18-20],且受限于声场模型计算精度和平台计算速度,较难满足实际应用需求。SBF则根据接收信号空间相关长度划分子阵,先对每个子阵进行波束形成处理,然后根据各子阵的波束输出数据进行联合处理,尤其适用于大孔径水平阵。Yang[21]利用SBF算法解决信号空间相关性衰减引起的空间处理增益下降问题,并用来改善水声通信系统性能。SBF较容易实现,且能较好解决信号空间相关性下降对波束形成处理性能的影响,但子阵划分需预先对信号相干长度进行估计,且这种算法以牺牲全阵处理性能为代价,这将使得利用大孔径水平阵探测目标的优势减弱。可见,受到海洋环境参数空时起伏、环境噪声特性复杂变化和声呐平台等因素的影响,传统被动声呐探测方法对“安静型”目标的探测能力受限,而新兴深度学习算法受到网络复杂度高和训练数据集难以获取的限制[22-23],实际探测性能难以满足水下反潜作战需要,导致被动声呐探测技术发展到了瓶颈期。
不同于被动声呐“被动”接收目标信号,主动声呐通过发射声波并接收目标回波完成探测,是实现水下目标远距离探测的有效手段,其探测性能高度依赖于信号设计与回波处理优化算法。在实际海洋波导环境中,声传播多径效应、混响干扰及目标散射特性复杂性对主动探测效能形成显著挑战。信号波形设计方面,在主动声呐发展的初始阶段,受限于当时电子技术水平,系统普遍采用正弦填充的单频连续波(continuous wave,CW)作为标准发射波形。随着数字信号处理技术的突破性发展,脉冲压缩技术的成熟应用推动了大时间带宽积波形在主动声呐系统中的广泛普及。其中,线性调频(linear frequency modulation,LFM)信号成为最具代表性的波形选择[24],但对其进行脉冲压缩处理时,当强目标回波与弱目标回波同时存在,强目标的旁瓣能量可能完全淹没邻近弱目标的有效信号,导致检测性能显著下降。学者们开始探索相位编码信号,如Barker码[25]、Golay码[26]等,这些相位编码信号通过优化码序列的自相关和互相关特性,能够在一定程度上降低旁瓣电平,从而提高弱目标的检测概率。近年来,混合调制信号技术已成为提升主动声呐性能的重要研究方向,如LFM-Costas信号通过频率编码调制技术,在复杂海洋环境中展现出较好的抗干扰能力[27],为改善主动声呐探测性能提供了新的技术途径。除此之外,混响抑制是主动声呐近程探测的核心难题之一。学者们提出了多尺度特征匹配滤波特征提取、混响预白化技术[28]和主成分求逆算法[29]等方法,实现目标与混响的分离。在此基础上,可以在空间处理维度上采用自适应波束形成、空时自适应处理技术进一步抑制混响。
综上所述,单一模式声呐探测的局限性日益显著,被动声呐对低噪声及安静型目标的探测距离急剧缩短,而主动声呐的高能耗与暴露风险限制了其应用。相对来说,目前减振降噪技术在降低水下航行体低频声信号特征方面仍有一定空间,而声学覆盖层对低频目标强度的降低也较为困难,因此主/被动声呐工作频段逐渐向低频和极低频转移,给后端水声目标探测技术带来新的挑战。
本文将简要阐述被动和主动声呐在目标探测方面面临的关键技术问题和性能改进方法,然后利用主/被动声呐优点,构建主被动联合探测工作模式,探讨主被动探测策略架构和实现方法,为改善水下目标远程探测能力提供可能的解决思路。
1 水声目标被动探测技术
1.1 高增益波束形成方法
随着声呐探测频段逐渐向低频转移,被动声呐面临的核心问题是有限孔径阵列在低频段输出增益降低。通过波束优化设计实现波束图控制,可获取较高的波束输出增益。早在1946年Uzkov首先发现了M2定律[30],阵列的最大方向性指数在阵元间距与波长比值无限小时可达20lgM dB(M为阵元个数)。在此基础上,Ma等[31]提出一种特征波束分解与综合模型,能够提供超指向性的精确闭式解,且过程简单易实现。该模型直接从超指向性最优解出发,利用空间均匀噪声场中圆环阵噪声互谱矩阵是循环矩阵的特性,将最优波束图和最大指向性因子分别表示成有限阶子分量的叠加和形式,且该过程不受空间采样限制,所得的结果没有理论误差。使用16个无指向性声压水听器组成圆环阵进行水池试验,圆环阵半径为0.25 m。图1给出了不同ka(波数半径乘积)和超指向性阶数条件下的超指向性方法和常规波束形成方法的波束图。由图1可见,超指向性方法的波束主瓣宽度明显减小,阵列增益显著增加。杨益新等[32]进一步发展了传感器阵列超指向性理论,并应用到实际声呐系统,提升了声呐阵列处理增益。
图1 超指向性波束和常规波束
海洋环境(海水声速剖面、海底地形和海底地质等)和声源参数(声源深度和频率等)的变化会对水声信道产生较大影响,致使其物理性质具有很强的复杂性和不均匀性,也将影响阵列波束输出增益[33]。为了克服复杂水声信道对波束输出增益的影响,谢磊提出了相位匹配波束形成器(matched phase beamformer,MPBF)[34]。MPBF能够对水声信道的相位起伏进行补偿,改善阵元接收信号之间的相关性,获得较高的阵增益。利用在某海域开展的192元水平拖曳阵实验数据,对比分析常规波束形成器(conventional beamformer,CBF)、最小方差无失真响应(minimum variance distortionless response,MVDR)波束形成器和特征波束形成器(eigenvalue beamformer,EBF)等典型波束形成器以及MPBF的阵增益,验证MPBF在复杂波导环境中可获得较高的阵增益(图2)。
图2 某海域水平拖曳阵的信号相关性及阵增益
1.2 被动高分辨测向方法
利用传感器阵列对目标进行检测和方位估计是被动声呐阵处理的核心内容,精准获取声源方位是首要任务。目前水声探测系统方位估计方法可分为波束扫描类方法和稀疏信号处理类方法。波束扫描方法将波束主瓣进行空间扫描实现方位估计,如常规波束形成[35]和自适应波束成形[36]等,这类方法方位分辨率较低。近年来,稀疏信号处理技术因利用声源方位的空间稀疏性而能够大幅提升多目标的高分辨测向能力,受到广泛关注。这类技术主要有最大似然类重构算法和稀疏贝叶斯类算法。最大似然类重构算法,如稀疏迭代协方差估计方法 (sparse iterative covariance based estimation,SPICE)[37]和稀疏近似最小方差算法 (sparse asymptotic minimum variance,SAMV)[38],是从最大似然估计的角度,利用采样协方差与期望信号模型协方差的关系给出信号参数估计准则,得到扫描网格点的信号参数估计。稀疏贝叶斯类算法[39-40]是基于概率模型的稀疏信号重构方法,根据最大似然的思想对稀疏信号后验估计值进行优化求解。利用美国海洋物理实验室(MPL)在圣地亚哥市附近海域进行的SwellEx96实验数据集[41]对CBF,MVDR,SAMV和离网格稀疏贝叶斯学习方法(off-grid sparse Bayesian inference,OGSBI)[42]得到的方位估计结果进行对比,如图3所示,在相同动态范围内,稀疏方法具有更低背景级和角度分辨能力[43]。
图3 SwellEx96实验水平阵方位估计结果对比[43]
1.3 被动分布式探测技术及性能评估
被动分布式探测系统由多个位于不同位置的子阵列组成,通过数据级或者结果级的联合处理获得目标的水平位置估计。数据级处理场景要求多子阵信息互联,可传输各子阵阵元域数据或中间结果(如协方差矩阵),再进行阵元域或中间结果的联合处理,该处理场景对系统通信能力有较高要求。对于弱联通场景,被动分布式探测的核心是低通信需求与本地高效处理融合。可在数据融合中心采用鲁棒算法适应时延与带宽限制,在网络层面优化拓扑与资源分配,提升系统整体工作性能[44-45];在本地节点通常使用间接定位方法实现结果级目标定位,具有计算简单,便于实现的优势,能够很好适用于多基地非同步弱联通条件下的被动定位场景。分布式阵列的探测区域覆盖和定位精度是评价多基地被动探测系统的重要指标。对于间接定位方法,其探测区域覆盖和定位精度严重依赖于各子阵探测距离和测向精度。假设3个子阵组成的分布式被动探测系统,系统按照等边三角形布置3个子阵位置,得到的分布式被动探测覆盖和定位精度如图4所示,其中子阵之间的直线距离记为D(km),探测区域面积记为S(km2)。分布式探测性能评估图为东西(X轴)和南北(Y轴)二维分布彩图,色值表示间接定位误差,图中给出的探测面积覆盖是指定位误差小于1 km的覆盖面积,可以看出定位盲区主要位于子阵连线区域,三角形子阵布局盲区较小。
图4 等边三角形多基地子阵探测性能评估图
目前被动声呐探测频段主要集中在300 Hz以下,并逐渐向极低频和甚低频段逼近,阵列形式主要包括潜标、拖曳阵和大型海底岸基阵。这类阵列孔径较大,能够获得较高的阵列输出增益和方位分辨能力,适用于低频段被动探测。但是受到海洋声波空时相关性衰减、多途传播和工程难度大等因素限制,其探测性能无法满足实际需求。在极低频和甚低频段,采用半波长布阵时,阵元间距将到达数十米,阵列整体孔径达到数公里。未来可采用分布式组网构成超长基线探测阵列,提升阵列输出增益,同时通过多个接收站点协同工作,提升被动声呐的探测范围。
2 水声目标主动探测技术
2.1 主动拖曳式声呐装备发展
“安静型”水下目标辐射噪声已降至海洋环境噪声水平,传统被动声呐对其探测的距离急剧下降,难以满足日益激烈的水下探测形势需要。美俄实践经验表明,主动声呐探测成为可选的方案之一,图5给出了主动声呐发射信号频率、声源级和探测距离的关系示意图[46]。美国海军自20世纪60年代以来先后研制了AN/SQA-10,AN/SQS-35,AN/SQA-13,SQR-20,SQQ-90等多型可变深主动探测声呐,并大量装备大中型水面舰艇(图6)[47]。法国泰勒斯(Thales)公司生产的综合拖曳声呐(CAPTAS)装备的国家最广,包括CAPTAS-4,CAPTAS-2和CAPTAS-1等型号[48],如图7所示,其探测范围最大可达150 km。在主动探测体制中,主动多基地探测能够很好地降低或规避混响带来的困扰,逐渐成为探测水下“安静型”目标的有力手段。但是受到海洋波导环境影响,目前主动探测声呐在使用时仍面临发射声能量不聚焦及多节点布放位置待优化等问题。
图5 主动声呐探测发射信号频率、声源级和探测范围示意图[46]
图6 “萨姆纳”号 (Sumner, DD-692)驱逐舰上安装SQA-10拖体[47]
图7 法国泰勒斯公司 CAPTAS 系列声呐[48]
2.2 波导环境中主动声呐发射调控技术
结合声传播特性的声呐系统发射调控方法研究总体较少,且研究方向比较分散。早在1980年,Clay等[49]就提出一种利用特定阶数模态函数作为发射权系数的方法,实现了浅海环境中特定简正模的独立发射与接收。该技术有效克服了海水介质分层引起的声波多径传播效应,显著提升了声呐的作用距离。在此基础上,衣晓峰等[50]提出一种多模声场聚焦方法,利用环境失配不敏感的前3阶模态进行发射聚焦,结果表明多模声场在环境失配情况下仍能在期望的聚焦位置实现良好的聚焦效果,且得到了比最优权系数聚焦更低的混响平均强度。但是这两种方法都需垂直发射阵列覆盖全水深,在深海环境中无法使用。在深海会聚区远程探测领域,传统发射方法难以充分利用会聚区的聚焦特性,限制了探测距离和效果。结合深海声传播规律,利用发射调控方法与会聚区声场特征之间的关系,可实现声能在会聚区的高效聚焦,有望提升主动声呐深海远程探测能力。通过统计声场会聚区可调控区内所有主导阶数对应的出射声线,提取其出射角和对应的强度幅值Ai,构建能量−角度谱:
图8 垂直阵发射深度150 m某典型深海声速剖面的第1和第5会聚区声强分布情况[51]
2.3 主动多基地声呐探测性能评估
主动多基地探测的声呐效能评估技术可支撑声呐之间效能对比、多基地声呐阵型优化和敏感海区布控方案设计等任务,显著提升“安静型”目标的探测范围。以双基地声呐探测为例,声源发射探测信号,声波到达目标后产生反射回波,对水听器接收到的回波进行处理后,得到目标探测结果。设背景干扰主要是环境噪声,主动双基地声呐方程如下:
式中:SL为主动发射声源级;TL1为声源到目标的声传播损失;TL2为目标到接收阵的声传播损失;TS为目标强度;NL为背景噪声级;AG为声呐处理增益;DT为声呐检测阈。可以得到主动双基地声呐的声呐优质因数:
优质因数给定了声呐在达到一定的探测任务情况下允许的总声传播损失。
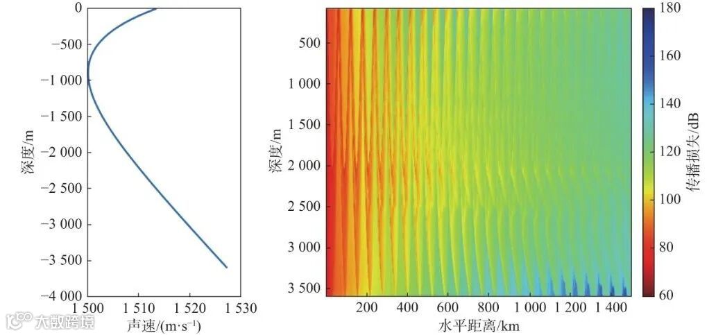
考虑典型深海Munk声速剖面,设置发射声源深度为150 m,频率为400 Hz,水下目标深度200 m,接收深度为1000 m。首先采用Bellhop非相干高斯声线模式计算,图9所示为声速剖面和计算的传播损失。
图9 使用Munk声速剖面及传播损失随距离深度变化图
设置被动探测优质因数为80 dB(假设400 Hz声源谱级125 dB,噪声谱级60 dB,空时增益27 dB,检测阈12 dB),主动探测优质因数为175 dB。假设主动声源级205 dB,目标强度15 dB,噪声谱级60 dB,空时增益27 dB,检测阈12 dB,不考虑混响干扰。图10和图11分别给出了图9所示深海波导环境中被动探测和主动双基地探测的范围分布图。由图可以看出,主动双基地探测范围可达120 km,远大于被动探测性能。
图10 被动单基地声呐探测范围(FOM = 80 dB)
图11 主动双基地探测范围(FOM = 175 dB)
主动声呐一方面向低频、大功率发射阵及大基阵尺寸发展,以提高信噪比与探测距离;另一方面结合无人平台(如无人潜航器、潜标)搭载轻量化声呐系统,兼具低成本与高机动性,以完成水下反潜任务。主动声呐探测技术正从传统信号处理向智能化、分布式探测转型,但仍需突破复杂环境下的目标识别瓶颈。未来低频大功率、人工智能驱动的自主系统及分布式协同网络将成为核心发展方向,应兼顾平台的实用化与成本控制,在反潜任务中还需解决多基地协同和隐蔽性问题。
3 主被动联合探测原理与实现
主被动联合探测通过协同优化两类声呐的优势,成为近年来的研究热点[52]。其核心思想在于:1)探测模式互补,被动探测用于广域监视与目标初筛,主动探测在关键阶段提供精确信息;2)时空协同,通过多基地声呐网络实现声源与接收器的分布式部署,抑制混响并提升定位精度。美国“分布式敏捷反潜系统”(distributed agile submarine hunting,DASH)项目在深海实践表明,主被动联合探测可显著提升目标探测范围,降低虚警率[53]。主被动联合探测通过整合被动声呐的隐蔽性与主动声呐的精确性,构建多层次、自适应化的水下目标探测体系[54],其核心目标在于通过时空协同与数据融合,克服单一模式的性能局限,实现探测效能最大化。本节将从系统架构、工作模式及技术挑战层面,系统阐述主被动协同的技术路径与实现方法。
3.1 主被动联合探测系统构成
主被动联合探测系统可以由多个声学潜标阵列(固定节点)、无人潜航器(移动节点)、水面船拖曳声呐等共同构成,系统工作示意图如图12所示。水面船拖曳的主动声呐与多个潜标节点构成协同网络,由水面船根据潜标被动搜索获得的初步信息,制定主动声呐发射方案,对高度疑似目标进行精确定位、跟踪和识别,同时也可对敏感区域实施封锁。国外试验结果显示,主被动联合探测系统可有效增加目标的探测距离,同时相比于单一被动模式虚警率大幅度下降。
图12 主被动联合探测系统示意图
3.2 主被动联合探测工作模式
主被动联合探测的可行性源于两类声呐的互补性:被动声呐在广域监视与目标初筛中具有低能耗与隐蔽性优势,而主动声呐可为高价值目标提供精确的距离−方位信息。在相同信噪比条件下,主被动联合探测的检测概率较单一模式大幅度提升。此外多基地主动声呐的分布式架构可有效抑制或规避混响干扰,例如采用双基地配置时,接收器与发射器的分离部署可有效降低接收端的混响强度。
主被动联合探测需根据任务阶段动态调整工作模式,实现资源分配与探测效能的平衡。主被动联合探测系统工作流程如图13所示。可将主被动探测系统工作模式分成两个阶段:
图13 主被动联合探测系统工作流程图
1) 日常警戒阶段。该阶段系统以被动探测为主导,利用被动声呐接收网络,持续监听目标辐射噪声。当被动系统检测到可疑信号,如特定线谱特征或瞬态噪声时,触发主动声呐的有限工作模式。如通过潜标阵列初筛目标后,由巡逻舰拖曳的主动声呐发射短脉冲进行局部精确定位和识别,避免声呐长时间暴露,能够有效降低主动发射能耗,并维持对高威胁目标的快速响应能力。
2) 关键探测阶段。在确认目标存在或进入高威胁区域后,系统切换至关键探测阶段,进入主被动同步工作状态。典型配置包括:主动多基地探测网络,由1艘水面船拖曳主动声呐作为声源,多个被动接收节点分布式部署,声源发射低频信号,接收节点通过直达波与目标散射波的时延差实现定位和跟踪,并根据散射回波多维特征规律完成目标识别。
3.3 主被动联合探测系统技术挑战
主被动声呐联合探测技术的核心在于多模式协同与信息融合,未来将聚焦智能化、无人化及深海复杂环境的应用,面临的主要技术挑战包括:
1) 时间同步与空间配准。主被动节点的时钟同步误差会导致时延估计错误,影响定位精度。可采用铷原子钟与实时授时结合,实现全网微秒级同步;基于水声信标的动态校准技术,实时修正节点位置偏移。
2) 复杂环境下的自适应决策。海洋声学环境的时变性要求系统动态调整主被动权重。如在浅海高噪声区域,算法可降低被动数据置信度,优先采用主动多基地探测;而在深海低噪声环境,则以被动监听为主。
3) 系统集成与成本控制。主被动联合探测需兼容异构传感器与多类信号处理链,导致硬件复杂度与成本上升。可采用模块化设计,如开放式架构声呐处理机,降低成本。
4 结 语
随着声隐身降噪技术的发展,水下航行体辐射噪声级逐渐下降,尤其是现代“安静型”目标的噪声水平低于海洋背景噪声,给水下隐身目标探测技术带来诸多挑战。传统的被动探测范围急剧下降,远不能满足实际需要。大孔径低频被动探测阵列虽然能够在一定程度上提升信号处理增益,但是受限于海洋声波空时相干长度衰减、背景噪声级高和平台机动性差等因素,探测能力还有待提升。目前被动声呐探测技术正从传统信号处理向智能化、分布式协同化方向发展,核心挑战仍在于应对低噪声目标和复杂海洋环境的影响。
低频主动声呐应用低频声波衰减慢、传播距离远且能穿透传统消声瓦等优势,配合水平接收阵列、分布式浮/潜标等接收目标回波信号,可大幅度提升声呐探测能力,目前是探测“安静型”目标的有效手段之一。但其探测能力受到海洋声传播多途效应、海底/海面混响的影响,亟待解决低频主动发射环境适应性、布放和发射参数优化、近距离混响抑制和目标特征识别等问题。
主被动联合探测技术通过多模式协同可显著提升水下目标探测的综合效能,但其工程化应用仍面临多重技术瓶颈,同时需适应智能化、网络化与可持续化的发展趋势。通过算法革新、架构升级与环境适应性设计,新一代水下目标探测系统有望在探测距离、目标识别精度、隐蔽可持续跟踪等方面实现平衡,为未来海军装备发展提供一体化解决方案。
往期精彩回顾
【重磅】《中国舰船研究》2023年和2024年度发表论文被引Top20榜单出炉
【喜报】《中国舰船研究》再度入选航海领域高质量科技期刊T1级
【喜报】《中国舰船研究》多名编委进入全球前0.05%顶尖学者榜单
往期论文推荐
1.【新刊】舰船声隐身理论、方法与热点技术研究”专题:2025-5期
4.【新刊】AI 赋能,护航未来:“船舶智能运维与故障诊断”专题 | 2025-2期
7.【专题推荐】船舶与海洋工程智能设计理论及方法:解锁未来海洋的“智慧密码”
11.优秀论文推荐|武汉理工大学:风浪环境下破损舰船动稳性安全评估方法分析
13.优秀论文推荐|长沙理工大学:一种小型化宽频带高隔离紧凑型MIMO天线设计
14.优秀论文推荐|大连海事大学:考虑执行器动态特性的船舶动力定位鲁棒事件触发控制
15.优秀论文推荐|华中科技大学:先验知识驱动的船舶舱段结构大规模分解优化方法
16.优秀论文推荐|上海交通大学:定位艏型自航绞吸挖泥船船尾型线比较及水动力性能分析
中国舰船研究
Chinese Journal of Ship Research
联系我们:
编辑部微信号:zgjcyjbjb
网站:www.ship-research.com
邮箱:cjsr@ship-research.com
电话:027-65235554/027-65232570
|
SCOPUS收录期刊 JST 收录期刊 DOAJ收录期刊 CSCD来源期刊 中文核心期刊 RCCSE中国核心学术期刊 中国精品科技期刊 中国科协高质量科技期刊 T1级 湖北省最具影响力学术期刊 湖北十大名刊 |
微信公众号二维码
微信视频号二维码 |
欢迎分享到朋友圈✬ 评论功能现已开启, 接受一切形式的吐槽和赞美
核心期刊《中国舰船研究》学术论文免费检索、阅读

