作者 | 苗志超
编辑 | 符莉曼
壹
配电负荷核算
确定设备功率
1.单台用电设备的设备功率
(1)连续工作制电动机的设备功率等于额定功率。
(2)短时或周期工作制电动机(如起重机电机)的设备功率是指将额定功率换算为统一负载持续率下的有功功率。
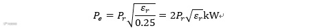
当采用需要系数法计算负荷时,应统一换算到负载持续率ε为25%下的有功功率,按照下面公式计算:
当采用利用系数法计算负荷时,应统一换算到负载持续率ε为100%下的有功功率,按照下面公式计算:
例:起重电机参数如下图所示:
例如:
①上图所示为3台电焊机的参数,型号为ARC 200T 的电焊机额定输入容量为8.7kVA,额定负载持续率为40%,功率因数为0.76。经计算,本台电焊机的功率折算为:
(4)电炉变压器的设备功率是指额定功率因数时的有功功率,将额定容量换算到负载持续率ε为100%时的有功功率。
(5)整流变压器的设备功率是指额定直流功率
(6)白炽灯和卤钨灯的设备功率为灯泡额定功率。气体放电灯的设备功率为灯管额定功率加镇流器的功率损耗。
2.用电设备组的设备功率
用电设备组的设备功率是指不包括备用设备在内的所有单个用电设备的设备功率之和。
例:
①CXV蒸发式冷凝器:风机功率为40 kW,水泵功率为1.1 kW。则该设备组的计算功率为:41.1 kW。
②电厂给煤机:皮带电机功率30 kW,清扫电机11 kW。则该设备组的计算功率为44 kW。
3.变电所或建筑物的总设备功率应取所供电的各用电设备组设备功率之和,但应剔除不同时使用的负荷,例如:
(1)消防设备容量一般可不计入总设备容量
(2)季节性用电设备(如制冷设备和采暖设备)应择其最大者计入总设备容量。
需要系数法计算配电负荷
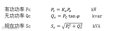
(1)用电设备组的计算负荷:
(2)配电干线或车间变电所的计算负荷:
(3)与需要系数Kx有关的因素:
参考《实用电气工程设计手册》(上海市电气工程设计研究会)中对需要系数的论述,并结合实际项目计算经验,需要系数表述如下:
需用系数可以按照《工业与民用配电设计手册(第3版)》第一章第三节的各行业相关设备进行查表选取。对于没有需要系数的设备,应依据设备实际运行情况进行估取。
(4)计算实例:某冷库项目配电负荷核算
项目配电负荷核算表
贰
企业用电量核算
企业年电能消耗量的计算是根据年平均用电负荷和实际工作小时数进行计算。其中平均用电负荷需要根据用电设备的性质、工作状态,需要系数,额定功率,负载率来确定。实际工作时间需要依据企业的生产状况来确定,当然,不同种类的用电系统的运行时间差别巨大。能够准确计算年用电量的前提是了解企业生产运行方式,了解用电系统类型,熟悉用电设备运行状况。因此,计算电量首先要划分用电系统。
企业用电系统划分
1.主要生产系统用电量:是指企业主要生产工艺用电,可以按照生产线划分,按照生产工序划分。这种分类计算电量的方式方便计算能效指标中的工序能耗、能效指标、单位产品耗电量……
例如:
《大庆炼化航煤改造项目》主要生产系统分为:航煤装置用电量,低凝柴油装置用电量。
《东北特钢钢渣加工利用项目》主要生产系统分为:磁性钢渣生产线用电量,非磁性钢渣生产线用电量。
2.辅助生产系统用电量:辅助生产系统主要指给排水系统,循环水系统,采暖及空调系统,通风系统,压缩空气、氮气系统,其它公用系统。
3.附属生产系统用电量:附属生产系统主要指照明系统,插座系统。
4.厂区损耗电量:变压器损耗,用电线路损耗。
对不同行业的项目要根据项目的具体情况进行划分,具体情况具体分析,特殊情况特殊对待。
电量计算各参数选取方法
1.设备功率:
一般取单台设备或设备组的额定功率进行计算。
2.运行台数:
依据设计院初步设计方案及企业实际运行情况,确定设备备用原则,确定设备实际运行台数。
3.需要系数:
参考《实用电气工程设计手册》(上海市电气工程设计研究会)中对需要系数的论述,并结合实际项目计算经验,需要系数表述如下:
需用系数可以按照《工业与民用配电设计手册(第3版)》第一章第三节的各行业相关设备进行查表选取。对于没有需要系数的设备,应依据设备实际运行情况进行估取。
4.负荷系数:设备设计状态下,年平均运行负荷与设备最大运行负荷之比。
叁
《工业与民用配电设计手册(第3版)》(北京:中国电力出版社,2005年)规定。年实际工作小时数,一班制可取1860h,二班制可取3720h,三班制可取5580h。
1.主要生产装置年运行小时数:
对于石化、电厂等全年连续运行的企业,一般实际运行时间可取8400,但是工厂每年会有检修计划,检修时间设备处于停运状态,要减去检修停运的时间。
2.给排水设备年工作小时数
供水调节站给水设备年工作小时数按项目年新水用量和运行设备小时总流量确定;排水系统的潜水泵等设施由于间断运行,可以不计算电量。
3.循环水系统年工作小时数:
循环水系统设备运行时间与主装置运行时间一致。
4.采暖及空气调节设备年工作小时数
冬季供暖期间的运行时间按照实际供暖时间核算,大连市按采暖期151天,即3624 h确定。大连地区,在夏季制冷期间,办公楼按120天,每天工作12 h确定。
5.通风系统年工作小时数:
通风系统分为自然通风、机械通风、事故排风。工业企业机械排风系统一般连续运行,如配电间、工业厂房、泵房等区域与装置生产时间一致。对于民用建筑,地下车库、中央空调机房等区域机械通风一般连续运行。
6.照明系统年工作小时数:
年运行时间按照各功能区运营天数及工作班制确定。
7.插座系统年工作小时数:
年运行天数取各类生产及辅助建筑物所在功能区的运营天数,日运行小时根据工作班制确定。
肆
主要生产系统电力用量核算
根据《工业与民用配电设计手册(第3版)》(北京:中国电力出版社,2005年),主要生产用电设备年电力用量根据其单机容量,采用年平均负荷乘以年运行时间核算,具体计算公式如下:
辅助生产系统电力用量核算
本项目辅助生产用电设备主要包括项目配套辅助生产系统,如给排水、采暖、空调等系统所涵盖的设备,设备年电力用量采用与项目主要生产用电设备年用电相同的方法,根据其单机容量,采用年平均负荷乘以年运行时间核算。
照明系统电力用量核算
年电力用量采用单位建筑面积(或占地面积)负荷密度法核算。
(1)生产及辅助生产建构筑物照明电力用量核算
各生产及辅助建构筑物根据其使用功能,按照《建筑照明设计标准》(GB 50034–2013)表6.1.7“工业建筑照明功率密度值”和《公共建筑节能65%设计标准》(DB21/T 1899–2011)的相关规定选取负荷密度值;年运行时间按照各功能区运营天数及工作班制确定。
(2)室外作业区及道路照明电力用量核算
根据《室外作业场地照明设计标准》(GB 50582–2010)对相关功能区域室外场地照明标准值的要求进行选取。参考《城市道路照明设计标准》(CJJ 45–2006)进行选取。
插座电力用量核算
本项目生产及辅助建筑物插座用电主要为各类建筑物所容纳的人员和设备的日常用电,采用负荷密度法核算,负荷密度参考《固定资产投资项目节能评估文件编制要点及示例(电气)》(11CD008–4)附录5给出的数据选取,年运行天数取各类生产及辅助建筑物所在功能区的运营天数,日运行小时根据工作班制确定。
变压器及线路损耗电量核算
(1)变压器年损耗电量核算
(2)线路年损耗电量核算
本项目线路年损耗电量为10kV和0.4kV配电线路的损耗电量,根据《评价企业合理用电技术导则》(GB/T 3485–1998)“企业根据受电端至用电设备的变压级数,其总线损率分别应不超过以下指标:一级3.5%;二级5.5%;三级7.0%”的相关规定。
END
csrcare| 合规网
往期精选

