一、传热知识
1、基本概念

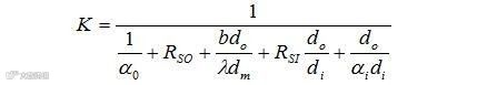
2、总传热系数与基本传热方程



3、一些常用材料、工质换热性能参数

表1:制冷装置中常用材料的导热系数λ

表2:常用的制冷和空调装置中对流传热系数α

表3:常用制冷装置污垢热阻值
二、蒸发器
1、蒸发器应用注意点
1)生产中应控制蒸发器在泡状沸腾下操作
2)控制润滑油进入蒸发器
3)蒸发器结构应有利于气液分离
2、空气冷却式蒸发器
1)自然对流式冷却空气的蒸发器:

2)冷库盘管式墙排管蒸发器

3)强迫对流式冷却空气的蒸发器

3、水冷式蒸发器
1)卧式管壳式蒸发器


优点是:
(1)结构紧凑,占地面积小;
(2)传热性能好;
(3)制造和安装较方便;
(4)用盐水作载冷剂,不易腐蚀和避免盐水浓度被空气中水分稀释;
2)满液式蒸发器


3)干式壳管式蒸发

4)列管式换热器

5)板式蒸发器

板式换热器具有如下特点:
1)体积小,结构紧凑,比同样传热面积的壳管式换热器体积小60%;
2)总传热系数高,约为2000~3000W/(㎡·K);
3)流速小,流动阻力损失小;
4)能适应流体间的小温差传热,可降低冷凝温度,提高制冷压缩机性能;
5)制冷剂充注量少;
6)质量轻,热损失小。
6)沉浸式蒸发器


三、冷凝器
冷凝器是一个使制冷剂向外放热的换热器。压缩机的排气(或经油分离器后)进入冷凝器后,将热量传递给周围介质——水或空气,制冷剂蒸气冷却凝结为液体。冷凝器按其冷却介质和冷却方式,可以分为空气冷却式、水冷却式和蒸发冷却式三种类型。

1、影响冷凝传热的主要因素
1)制冷剂凝结方式
2)蒸汽中不凝气的含量
3)蒸汽中含油
2、空气冷却式冷凝器

3、水冷式冷凝器
1)套管式冷凝器


2)淋水式冷凝器

3)壳管式冷凝器



蒸发盘管:主要用于冷库

套片式蛇行管

绕片式排管
4、板式冷凝器

5、蒸发冷却式冷凝器
优点是:
(1)用水量少;
(2)结构紧凑,可安装在屋顶上,节省占地面积。
蒸发式冷却冷凝器的耗水量少,特别适合用于缺水和气候干燥的地区特别适用于缺水地区,通常安装在制冷机房的屋顶上。
缺点是:
冷却水不断循环使用,水垢层增长较快,需要使用经过软化处理的水。


四、传热过程的强化




来源:船舶讲武堂





