搜索
首页
大数快讯
大数活动
服务超市
文章专题
出海平台
流量密码
出海蓝图
产业赛道
物流仓储
跨境支付
选品策略
实操手册
报告
跨企查
百科
导航
知识体系
工具箱
更多
找货源
跨境招聘
DeepSeek
首页
>
未通过一致性评价、66个文号暂停采购,12月1日执行!
>
0
0
未通过一致性评价、66个文号暂停采购,12月1日执行!
药商68网
2022-11-10
0
导读:2022年11月08日,江苏省公共资源中心发布了未通过一致性评价的仿制药暂停采购通知,共计涉及66个文号、1
2022年11月08日,江苏省公共资源中心发布了未通过一致性评价的仿制药暂停采购通知,共计涉及66个文号、12月1日开始执行。
公告原文
各相关医疗机构、药品生产企业:
根据《国务院办公厅关于开展仿制药
质量
和疗效一致性评价的意见》(国办发[2016)8号)《江苏省医疗保障局关于深入推进药品阳光采购的实施意见》(苏医保发(2021]64号)、《关于公布暂停采购部分未通过仿制药质量和疗效一致性评价药品的函》(苏价采中心药函[2022]5号)的要求,同品种药品通过一致性评价的生产企业
达到3家以上的
,不再选用未通过一致性评价的仿制药,
自2022年12月1日起执行;
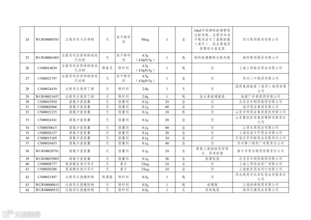
已按相关程序对部分未通过仿制药质量和疗效一致性品种进行了公示,现予以发布,共计涉及66个品种,包括:
丙氨酰谷氨酰胺注射液、呋塞米注射液 、注射用阿昔洛韦、注射用哌拉西林钠他唑巴坦钠、注射用头孢西丁钠、诺氟沙星胶囊、注射用头孢噻肟钠、
乳酸环丙沙星氯化钠注射液、呋塞米注射液等;
关于未通过仿制药一致性评价药品最终命运,近日原国家药监局局长、现任中国国际经济交流中心常务理事长的
毕井泉
,在第五届虹桥国际经济论坛中表示,要
明确未通过一致性评价药品文号的退出政策,研究按药品文号收取年度监管费,迫使多年不生产的僵尸文号退出市场,减轻监管压力
。具体详见:
毕井泉:发展高质量仿制药;未通过一致性评价文号退出市场
暂停采购部分未通过一致性评价药品公布表
【声明】内容源于网络
0
0
药商68网
是一家主要从事国内、国际制药行业展会展览、大型会议以及B2B在线贸易采购平台的协办机构。是国内领先的医药新媒体平台,致力于医药精品资讯分享,准确、及时、有用。
内容
1147
粉丝
0
关注
在线咨询
药商68网
是一家主要从事国内、国际制药行业展会展览、大型会议以及B2B在线贸易采购平台的协办机构。是国内领先的医药新媒体平台,致力于医药精品资讯分享,准确、及时、有用。
总阅读
3
粉丝
0
内容
1.1k
在线咨询
关注