
布洛芬最近讨论的比较多,有网友脑洞大开,如果能自己合成这些药物就好了。近日,布洛芬的合成路线盼归不过网友直呼,太难了,好像从前的化学都白学了!
我们来几个合成路线,三分钟能看懂的都是高手!
先上一张貌似最简单的。

再来一份

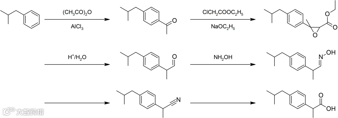
再来!

上图简化版

(来源:化学经纬,化学酷,漫游药化等,如有侵权请联系删除)

药商68网
布洛芬最近讨论的比较多,有网友脑洞大开,如果能自己合成这些药物就好了。近日,布洛芬的合成路线盼归不过网友直呼,太难了,好像从前的化学都白学了!
我们来几个合成路线,三分钟能看懂的都是高手!
先上一张貌似最简单的。

再来一份

再来!

上图简化版

(来源:化学经纬,化学酷,漫游药化等,如有侵权请联系删除)
