
2022年09月16日,江苏公共资源交易中心发布了一则药品挂网采购公告,共计涉及88品种,自10月01日起执行。
涉及品种:
阿替洛尔片、氨糖美辛肠溶片、胞磷胆碱钠注射液、吡拉西坦注射液、复方丹参片、麻杏甘石合剂、美索巴莫注射液、天麻素注射液、托拉塞米注射液、银黄颗粒、阿加曲班注射液、非布司他片、利伐沙班片、舒更葡糖钠注射液、盐酸纳洛酮注射液等;
通知原文

各相关医疗机构、药品生产企业:
根据《江苏省医疗保障局关于深入推进药品阳光采购的实施意见》(苏医保发[2021] 64号)、《关于公布药品阳光挂网品种的函》(苏价采中心药函[2022] 10号)的要求,已按规定程序对阳光采购挂网药品进行了公示,现予以公布;
共计涉及88个品种,自2022年10月01日开始执行。
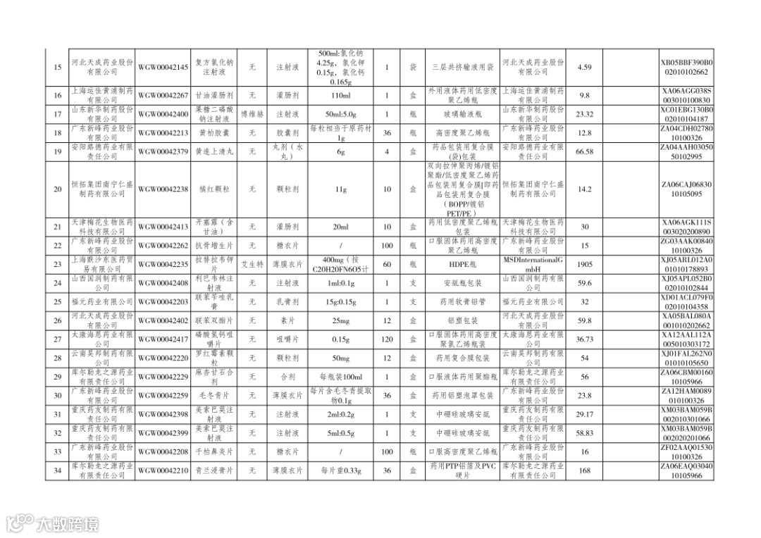
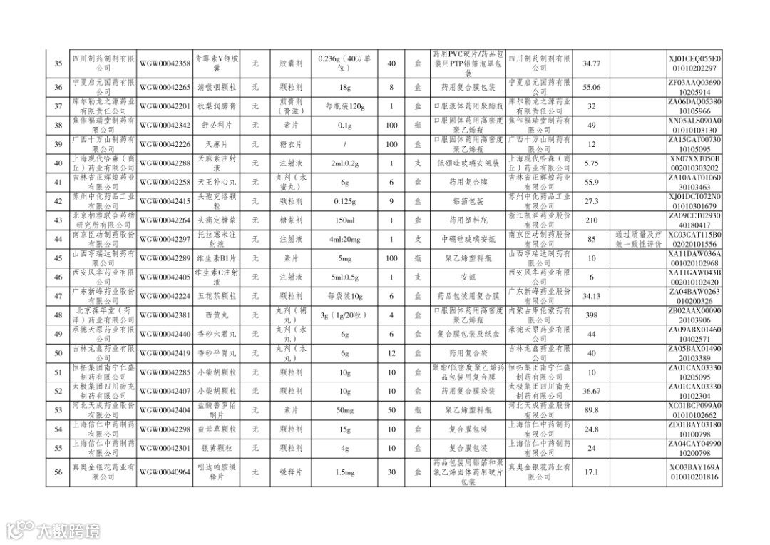
新增品种挂网公布表







