
科情智库
杨 丽,王燕妮
摘要:在国家推进供应链创新与应用政策下,针对目前物流市场低成本竞争、物流企业间的利益冲突等问题,从服务能力创新视角,运用博弈论,在分析物流服务集成商与供应商共同开展的能力创新基础上,研究了能力创新对物流服务供应链合作的影响。结果表明,双方通过能力创新可以有效缓解物流市场低价恶性竞争,物流集成商的定价将会影响服务商定价和能力创新的投入程度。
关键词:能力创新;物流服务供应链;供应商;集成商;合作协调
随着经济全球化对供应链发展的重视,特别是2017年10月13日国家发布的《关于积极推进供应链创新与应用的指导意见》(以下简称《意见》)明确将“推进流通与生产深度融合,提升供应链服务水平”列为重要任务,物流服务供应链在物流界得到充分重视和发展。与产品供应链相比,物流服务供应链是以客户需求为导向,核心物流集成商对运输、仓储等物流供应商进行物流能力整合,从而实现整条链上的资源优化配置的功能网链型结构模型,其本质是一条能力链,物流企业服务能力水平决定物流服务供应链运行安全和效率。
物流服务供应链发展中存在一些利益冲突,例如,物流供应商为了自身利益最大化,沿用落后的设备和技术,不能有效满足客户需求,导致供需不匹配;物流集成商缺乏先进管理和信息化水平,不能有效整合物流供应商资源,造成供需矛盾。这些情况的根本原因是服务能力水平低。低水平的服务能力不仅会导致物流企业低成本恶性竞争,降低物流运营效率,还会进一步加剧物流企业之间的利益冲突。因此,《意见》强调“推进供应链创新与应用,有利于推动集成创新和协同发展;有利于促进降本增效和供需匹配”,以服务能力创新为切入点来研究物流企业合作,在为解决利益冲突问题提供新思路和视角的基础上,能提高服务供应链的创新水平。
许多学者对物流服务供应链中的服务能力的概念、分类、评价、协调进行了研究。Zhao等认为,物流能力是获得竞争优势的一种资源。马士华等认为物流能力是指物流系统在从接受客户委托到实现客户需求中体现出的服务效果。Lu等认为物流能力按照重要性可分为对顾客的响应能力、创新能力、成本控制能力和运营能力。刘伟华等将物流能力分为物流要素能力和物流运作能力。梁雅丽等在由要素和运作构成物流能力的基础上提出了集成能力。刘鹏从5个维度构建能力指标,采用模糊综合法进行评价。薛晓芳等研究了物流能力对顾客价值的影响。吴春尚等应用因子分析模型对广东省21个地级市农产品物流能力进行评价,并提出相应建议。崔爱平等通过期权契约研究集成商与分包商物流能力的订购与投资决策。王晓立等研究了物流能力供应和需求不确定情况下的物流服务供应链协调。刘伟华等通过物流能力分配研究物流服务供应链的收益、成本、满意度。何婵等从激励分包商提高物流服务能力方面研究物流服务供应链协调。王志宏等研究了服务供应商的不同物流能力投资对物流服务供应链的影响。
然而上述文献侧重物流服务能力内涵、服务能力对物流服务供应链的影响,而通过能力创新提升物流服务水平、解决物流企业利益冲突问题的并不多。现有的物流能力不仅不能满足物流市场需求,还使物流企业之间合作松散、违约频繁、低价竞争。本文在对物流能力物流需求物流服务能力分析基础上,运用博弈论研究物流服务供应链中物流服务集成商和供应商通过能力创新来提升物流水平的方法。
物流服务能力不存在库存,不可能通过库存服务来加强物流集成商与物流供应商之间的合作,因此物流能力在物流服务供应链中起着关键作用,如图1所示。

在文献基础上,物流服务能力可以划分为3大类。
(1)物流要素能力。
物流集成商和物流供应商在仓库、运输工具、装卸工具、配送中心等物流硬件资源上的投资能力。要素能力是物流服务的硬件基础,也是服务供应商能力的集中体现。
(2)物流运营能力。
物流集成商和物流供应商对物流硬件资源进行组织和管理的能力。运营能力是物流服务的软件基础。
(3)物流集成能力。
物流集成商在实现物流服务供需匹配过程中的协调能力,包括服务的计划、服务的采购、服务的支持和服务的传递等。集成能力决定物流服务供应链竞争力的强弱,是物流集成商能力的集中体现。
论文研究由物流供应商与物流集成商构成的物流服务供应链,其中物流集成商起主导作用。为了解决物流市场的低成本竞争、物流企业间的利益冲突等问题,物流集成商联合物流供应商共同开展创新活动。假设物流供应商主要通过物流要素能力进行创新,物流集成商侧重集成能力创新。
模型符号假设如下。
i :物流集成商
s :物流供应商
a :物流能力创新投入程度,a>0
q :物流服务市场需求
C(a) :能力创新的成本函数
pi :物流集成商能力创新对服务产品的定价
ps :物流供应商能力创新对服务产品的定价
πi :物流集成商的收益
πs :物流供应商的收益
物流集成商与物流供应商决策过程是个两阶段的Stackelberg博弈。
第一阶段:物流集成商首先选择对集成能力创新的投入程度ai ,结合其创新成本Ci (a),制定该阶段服务产品的价格pi ,使其利润πi 最大化,ai 、pi 为物流集成商的决策变量。
第二阶段:物流供应商根据集成商的行动,选择对要素能力创新的投入程度as ,根据其创新成本Cs (a),制定该阶段服务产品的价格ps ,以最大化自己的利润πs ,as 、ps 为物流供应商的决策变量;该服务产品的最终市场价格为p=pi +ps 。
物流集成商为了激励物流供应商进行要素能力创新,会与优秀的物流供应商进行合作。物流集成商在对客户需求的理解基础上,通过自身的能力创新和物流供应商的能力创新,提高服务质量,满足客户需求。根据文献,能力创新的成本函数为

C 是η 的递增函数凸函数,
即C'>0 ,C''>0 ;η>0(η 为能力投入成本系数)。
假设物流服务市场的需求q(p, a)=n-bp+ra,n , b, r>0 ,
r 表示能力创新对需求的影响程度,
其中n-bp>0,
即不考虑能力创新时,市场需求为正。
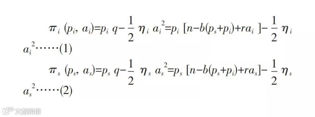
集成商与供应商双方的利润函数πi 和πs 分别为:

逆向归纳法求解Stackelberg博弈:
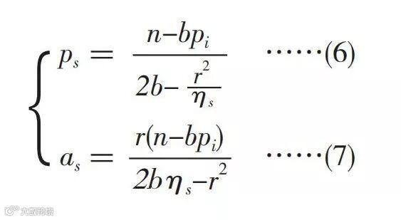
对(2)式关于ps , as 求一阶导,

由(3)式可以得到物流集成商的最优定价和最优能力创新投入程度:

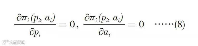
将(5)式代入(4)式,

将(6)式代入(1)式,对pi , ai 求一阶导,

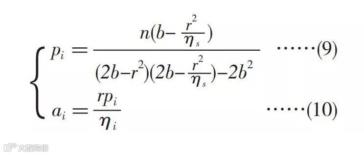
由(8)式可以得到物流供应商的最优定价和最优能力创新投入程度:

由(5)式、(10)式可以得出,随着ai , as 增加,pi , ps 也增加,说明集成商和供应商通过提供能力创新的服务,可以有效解决物流市场低价恶性竞争的问题。
由(6)式、(7)式可以得出,物流集成商的定价将会影响服务商定价和能力创新的投入程度。物流集成商的定价太高将会导致服务商定价和能力创新的投入程度降低。因此,物流集成商的最优定价至关重要,由(9)式可以得出物流集成商的最优定价。

结论:集成商和供应商通过提供能力创新的服务,可以有效解决物流市场低价恶性竞争的问题。物流集成商的定价将会影响服务商定价和能力创新的投入程度。
在国家强调供应链战略和积极推进供应链创新与应用的大背景下,针对目前物流市场低成本竞争、物流企业间的利益冲突等问题,本文从服务能力创新视角,运用博弈论,在分析物流服务集成商与供应商共同开展的能力创新基础上,研究了能力创新对物流服务供应链合作的影响。结果表明,集成商和供应商通过能力创新可以有效缓解物流市场低价恶性竞争,物流集成商的定价将会影响服务商定价和能力创新的投入程度。
本文涉及的物流服务供应链成员的类型比较单一,后续研究可以将单个供应商扩展到提供不同类型物流服务的多个供应商,使研究更具有指导现实的价值。另外,供应商和集成商在进行能力创新时是有一定限度的,即a 是有一个域值范围的,这可以作为今后的一个研究重点。
推荐阅读 >
识别下方二维码,关注「科情智库」
持续关注产业动态及科技领域报告

