最近速读了《未来简史》,以色列的尤瓦尔·赫拉利写的一本火的一塌糊涂的“科幻类”科普书籍,这本书讲述了一些结论我觉得比较有趣而且也挺现实的。比如:
1.以前的科技只是作为人类的工具,而未来的科技即将改变人类本身;
2.之前的数千年大多数人类一直深受瘟疫、战争、饥饿的困扰,而未来人类追求的将是寿命、健康、幸福;
3.大多数人类将来会无用,机器人和AI将会代替他们(类似北京折叠的预设)
4.其他
联想到硅谷男神马斯克最近曝光创办的Neuralink新公司,致力于将人脑和计算机的连接,将计算机芯片植入人的大脑(当然马斯克打着治病救人的旗号);再联想到2014年一个疯狂的老科学家PhilKennedy,他拿自己做实验,把自己的大脑中植入电极采集信号,来收集自己思考和脑电信号关系的数据,而且也有了一些明显的进展,而且之前的一些大脑植入电极已经能够采集信号控制外部物体;综合起来看就很有趣了:人体的主要器官甚至骨骼都是有使用寿命的,而目前的医疗公司已经能做到更换大部分人体器官例如人造心脏、人造血管、人造皮肤、人工假肢这些能够极大的增强人类的体魄,或者穿钢铁侠那种战衣,然后再能够将AI与大脑结合起来增强人类的智能,那这种聪明又强壮的“人”是挺厉害的。

了解下外骨骼机器人的现状和技术/商业难点。
1. 外骨骼机器人简介
外骨骼的定义来源与动物,即外部的骨骼,用于支撑和保护动物,与之相反的是人类这样“内骨骼”的生物。因此外骨骼机器人一般是指那些能够增强人类能力的可穿戴机电设备,当然也包含那些能够增强(帮助康复)残疾人的可穿戴设备(康复类的由于控制思路比较清晰,先不讨论)。
1960年最早的外骨骼项目来源于美国军方的增强型军用装甲,同期康奈尔大学的研究者也开始研究人体增强的概念。外骨骼很早就开始研发,也造成了这个领域大部分能够探明的问题都基本探明(剩下的都是硬骨头)。
下图描述了外骨骼主要的几种用途:
2. 外骨骼机器人控制方法
既然涉及到增强能力,简单说就是增强“力”,那么就涉及到如何采集到人的意图,从而把意图变成电机/液压的合适的输出力,目前获得人类意图有两种方式:直接获取操作者意图和间接获取操作者意图。
其中直接获取操作者意图的方法有从EMG数据、或人和机器人之间的交互力,间接获取的方法是从外骨骼关节获取数据、估计操作者意图然后放大运动效果。目前能够获取的人体生物信号主要有:Electroencephalogram (EEG脑电信号),Electrocardiogram(ECG心电信号),Electromyogram (EMG肌电信号),Mechanomyogram(MMG皮肤机械信号),Electrooculography (EOG眼电信号),Galvanic skinresponse (GSR皮肤电信号),Magnetoencephalogram (MEG脑磁信号),外骨骼控制常用的就是EMG(肌电信号)和EEG(脑电信号)信号。
目前直接获取操作者意图的传感器还不够成熟,比如EMG的数据噪音、建模和校准的难度都很大,比如说Hybrid Assistive Limb (HAL5)这款外骨骼采用了EMG信号控制机器人,但是需要2个月的时间来标定肌电信号。而且在动态环境中保持传感器的精确度是个很大的挑战,同样在使用交互力来控制外骨骼也有类似的问题。
目前绝大部分外骨骼都是间接获取的操作者意图,其方法主要是通过外骨骼硬件检测信号来估计人类意图,这种方法也有一定问题,目前比较严重的就是无法区分操作者的力和外力,这样的话外界的力也会使得外骨骼机器人判断出错,有可能导致外骨骼机器人不稳定或者失控。
西班牙CSIC(Spanish National Research Council)的Jose L. Pons认为外骨骼机器人比较独特的两个点是人和机器人有物理和认知的双重交互,物理的交互(physical human–robot interaction (pHRI))就是人和机器人之间会有力的交互,并且机器人能够增强人的能力;认知交互(cognitive human–robot interaction (cHRI))是指人了解机器人的能力并且始终感知到自己是在控制机器人。
3. 几款外骨骼机器人技术方案介绍
由于我比较喜欢增强型外骨骼,所以下面先介绍增强型外骨骼,再介绍康复类外骨骼。
3.1 MIT Exoskeleton增强型外骨骼

首先,这是一个美国DARPA军方和MIT的合作项目,设计目的是用于增强士兵的运动忍耐力(按照项目名称翻译的)。可以看出这副外骨骼是用来增强人体负重能力的,目标很清晰。并且极具特点的是它只设计了一个主动驱动的关节:臀部驱动器,其他膝关节和脚踝用的是阻尼器和弹簧,也就是说是一个欠驱动的外骨骼方案,这样大大降低了外骨骼的整体质量和复杂度,而且实现了主要设计目标,不得不佩服他们的思路。而且关键指标性能很好,后面会提到。

上图是一个整体的外观,图片也标注了整个外骨骼用到的传感器。
下面我分别从整机设计、驱动器(机构)设计、控制策略等方面介绍和评价一下这款外骨骼机器人。
整机设计方案:
这款机器人设计目的是把人体的负重传递到地面上,系统设计了足够多的自由度保证穿戴者感觉不到太多的机械约束,同时整机设计最小化了末端的质量。唯一的一个臀部动力机构需要在运动时辅助运动者和外骨骼。
系统的每条腿设计了7个自由度,臀部设计了3个,膝关节设计1个,踝关节2个,脚上1个,主动驱动器只有臀部安装了,膝关节安装了阻尼器,踝关节安装了弹簧。比较有特点的是在臀部设计了一个凸轮机构,能够保证在运动时适应人腿和外骨骼的距离变化,这个变化会影响人腿和外骨骼运动的轴心位置,考虑的就很完善。

在与人连接的部分采用了肩带、腰带、大腿捆绑、鞋子固定的方式,这样的连接能让外骨骼被动的跟踪人的腿部运动,另外这款外骨骼是搭配美军Alice背包使用的,这是一款美军的经典背包(也是我本科心水很久但是没有买的一款背包),我把图片放出来大家就看明白为什么MIT选用这款测试了。

看到了吧,这款背包是自带框架背负系统的,也就是中间看得到的钢管部分。因此只要把钢管部分和外骨骼连接起来,就能把重量直接传递到地面上去。
驱动器设计方面:

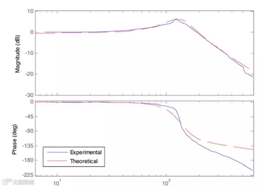
图X是系统中唯一的一个驱动器的设计方案,使用了RE40电机(学术界标配型号,经久不衰)、减速带、弹簧作为动力输出链路,也就是SEA方案,作为系统中唯一一个动力部件,它的性能设计的很不错,如果固定末端的话力输出带宽可以达到35HZ,如果末端使用质量块测试的话带宽可以达到40HZ,他们理论和实际对比的伯德图如下图。

考虑到人腿平时运动的速度应该在5HZ以内,然后他们增加测试了一个1600N幅值5HZ的跟随性能,如下图所示,可以看出末端稍有超调,其他曲线吻合的很好。

由于高性能的外骨骼必须有高性能的驱动器支持,相信大家肯定都看过Boston动力的机器人大狗,它的机械腿的带宽肯定很高,否则无法实现灵巧的抗摔倒动作(踹不倒的那个响应动作动作)。
控制策略:

MIT的研究者有个非常好的习惯就是从原始研究出发,比如他们在制定策略之前就先研究了人走路的实际情况。即人正常速度走路的时候什么时候需要做正功,什么时候做负功,这样就能给出策略,决定系统什么时候提供能量,什么时候吸收(存储)/消耗能量。其步态的结论如下图所示。
那么根据上图他们就设计了臀部控制的状态机如下,来决策什么时候用力。

同样设计了膝关节的状态机如下,来决策什么时候消耗能量(膝关节是个变阻尼控制器)。
其中,状态机的判定是根据关节位置和足底力传感器综合判定的。
小结:经过测试,证明这套系统可以将90%的负载重量传递到地面,作者认为这套控制策略也可以用于残疾人的外骨骼控制(其实我觉得可以作为参考,但是残疾人的种类太多了,未必能适用很大比例)
3.2 Body Extender增强型外骨骼
对,我就是喜欢这种看起来浮夸的东西,其实这东西也是蛮有用的,比如在帮飞机挂载导弹,就不用液压推车了,抱起来就可以直接安装,或者还有别的民用用途比如说搬砖z在工地上高强度工作(国外很多建房工程由于很多是house,所以有很多人力需要干的重载工作)。
这是个意大利军方与意大利PERCRO实验室的合作项目,其主要目的就是跟随操作者的运动,并放大操作者的力。下图是这款外骨骼的外观。
整机共计22个自由度,每个自由度有一个直流有刷电机驱动。在人和机器人固连的5个部位安装了5个六维力传感器(手,脚,躯干)来检测人的运动意图,手部爪子部分安装了2个1维力传感器来检测人手期望的输出力。


这款外骨骼设计思路很中规中矩,思路就是用5个6维力传感器来控制机器人的运动,对人力进行放大。在运动稳定性和安全性方面没有考虑太多,因为仅仅靠固连部位的几个力传感器未必能控制人体不倒下。这款外骨骼控制方面基本上就是正常的机器人力控制和运动控制。
不过这种设计思路目前得到宅男工程师们极大的发扬光大,比如说美国要和日本单挑的那种机器人,诺,就是下图这种:

本人对这两款机器人不予评价。
3.3 XoR康复型外骨骼
这款康复型外骨骼其实也只是一个原型机,自由度布局如下:


他的设计的很有特点,驱动器采用了混合动力-气动肌肉和电机,其中气动肌肉用于补偿重力,电机用于快速控制,下图描述了两者优势互相补充的示意。即电机力矩小但是响应快,气动肌肉力矩大但是响应慢,两者结合就得到了很棒的阶跃响应曲线。气动肌肉买的是FESTO的商业化产品,电机就是学术界标配maxon RE40。

他的单腿设计如下图,分别在膝关节和踝关节安装了气动肌肉。

同时这款机器人采用了多传感器融合的技术,使用了EMG、EEG、NIRS 信号来尝试控制外骨骼,也在系统中安装了IMU(惯性测量单元),足底负载压力传感器。
3.4 ReWalk-More Than Walking
必须介绍著名的以色列外骨骼公司ReWalk,由Amit Goffer博士主导设计。1997年他因车祸导致四肢瘫痪 ,亲身经历激发出产品灵感,2001年主导成立 ReWalk的前身Argo医疗科技公司。ReWalk在2014年拿到FDA批准,是第一个获得FDA批准的外骨骼机器人产品,ReWalk深耕外骨骼领域十几年,他的发展路径很值得借鉴,即在目前技术有局限的情况下如何让一个外骨骼公司能够盈利。他们采取两种产品线的方式:一种是个人产品,一种是康复产品。下图是ReWalk的康复训练中心。

ReWalk公司最近发布的个人产品是NewReWalk™ Personal 6.0,可以让使用者在家和社区使用整天,也可以在户外使用,甚至爬楼梯,并且可是可定制化的产品(结合患者身高等参数)。
而ReWalk™Rehabilitation能够提供康复机器人的功能,由于体积小,能够提供家庭康复和社区康复,同时由于患者先体验过了产品,也能够有助于他们采购个人产品。将外骨骼产品做成全系列的康复产品是个很棒的思路:即用ReWalk™ Rehabilitation先做康复,然后用ReWalk™ Personal作为后续销售给个人的,能够拓展活动范围的外骨骼产品。这种康复训练中心就有了体验店的感觉。引用Dr. Goffer来评价产品:ReWalk能够完全的被使用者操控,无论是站立、行走、坐下,机器人能够清晰的执行指令(即完全的可操控性,Jose L. Pons提出的观点)。ReWalk高管Jeff Dykan从另外一个角度阐述了ReWalk的重要性:从此那些轮椅上的人能够站起来走路,能够平等的看着其他人,能够拥抱别人也被别人拥抱。这就是情怀啊,一个伟大的公司必须有切实有用并且被认可的情怀。

4. 总结
目前外骨骼机器人公司众多,在这个网站可以查询得到大部分外骨骼公司:http://exoskeletonreport.com/,下图是网站的截图,而里面的单词都是链接,点进去就能看到这个网站整理的公司。

相对于临床效果非常清晰的微创手术机器人(达芬奇机器人类),外骨骼机器人还有很大的想象空间,并且有贴近消费级产品的选项。
描述市场引用某报告的数据:康复机器人行业(这里把康复机器人和外骨骼机器人区别划分)规模将由2014年的2.03亿美元增长到2021年11亿美元,预期年均复合增长率为27.3%;而体外骨骼机器人行业规模将由2014年的1650万美元暴增到2021年21亿美元,预期年均复合增长率为99.8%。康复机器人和外骨骼机器人统一作为康复机器人,则广义的康复机器人市场规模则由2014年的2.2亿美元增长到2021年的32亿美元而手术机器人行业规模将由2014年的32亿美元,增长到2021年200亿美元,预期年均复合增长率为29.9%。根据这套数据分析的话,手术机器人的市场在在2014年就超过康复机器人2021年的市场。从总量角度手术机器人完胜康复类机器人。
从技术角度来说,康复类的外骨骼机器人研发门槛较低,同时属于2类医疗器械,注册门槛较低;辅助行走类外骨骼机器人的性能受到技术的限制;而手术机器人技术研发门槛较高,属于3类医疗器械在国内注册门槛和周期都很长,因此对比来说手术机器人适合大公司开发,而外骨骼机器人适合创业公司。
来源:师云雷

关注公众号:
后台回复 医疗机器人:获得领域最新文献
后台回复 外骨骼机器人:获得海量领域最新文献
后台回复 康复机器人:获得康复机器人前沿进展书籍

