RESEARCH NEWS AND INFORMATION
最新科研资讯
科研进展导读
在量子计算机的发展中,关联噪声是量子芯片集成化面临的一个核心挑战。由于噪声无法完全消除,为了让量子计算机的计算结果更可靠,科研人员一直在寻求在噪声环境下实现更高保真度的量子门的方法。量子研究院的邓修豪课题组与物理系陈远珍课题组在这一背景下,提出并验证了一种新的量子门设计方法,可以在进行相应的量子操作的同时修正集成量子芯片中的关联噪声的影响,包括频率噪声、控制场拉比频率噪声、一般性准静态噪声、多比特间空间关联噪声、低频噪声等,从而降低量子门出错的概率。这样的量子门通常被称为 robust(鲁棒的,稳健的)。该工作近期以“Robust Quantum Gates against Correlated Noise in Integrated Quantum Chips”(集成量子芯片中的抗关联噪声的鲁棒量子门)发表在 Physical Review Letters 上[1]。
理论框架
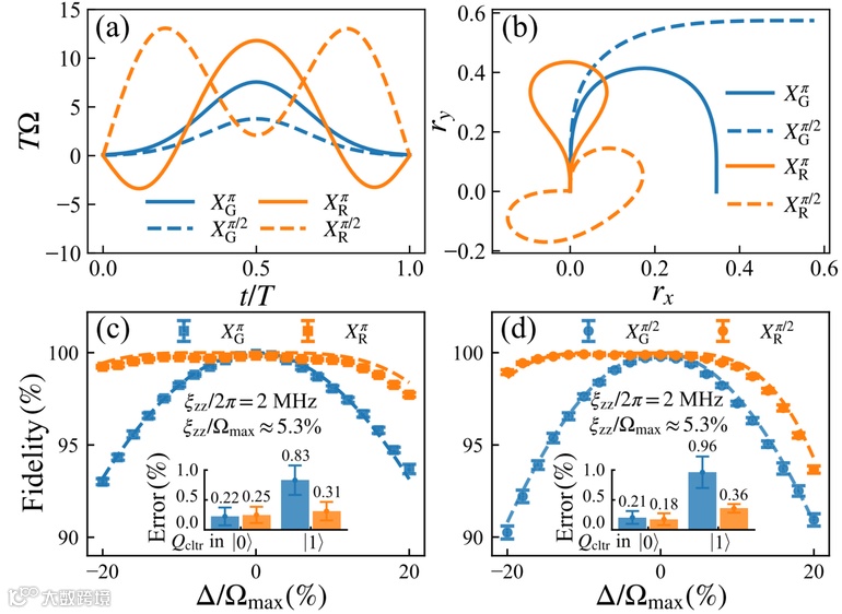
研究团队将噪声对量子系统演化的影响与几何空间中的运动点建立起数学上的对应关系,从而将量子错误生成的动力学对应到了可视化的几何空间曲线(如图1所示),进而基于这个几何框架研究者建立了一种稳健的(鲁棒的)量子门的系统性构建方法[2]。这种方法通过设计特定的鲁棒控制脉冲(Robust Control Pulses, RCP)来抑制噪声对量子门的影响。这种几何对应关系为设计能对抗噪声的量子控制提供了直观且系统的工具。
图1 (a) 量子比特的真实噪声环境的示意图。(b) 上面的面板:高斯脉冲(蓝色)和RCP(橙色)的控制信号包络,Ω(t)的示意图。下面的面板:在通用噪声存在下,我们的几何框架中导出的两个脉冲的错误曲线。红色矢量r^j(T)指示出对噪声的有限的敏感性,对应于受损的鲁棒性。相反,在RCP情况下(橙色)产生一个闭合的错误曲线,得到对第一阶的鲁棒门。(c)在静态频率失谐噪声存在下,使用高斯脉冲(蓝色)和RCP(橙色)的X_π 门的演化路径(|0\rangle为初态)
图2 实验所用的超导量子芯片
实验验证
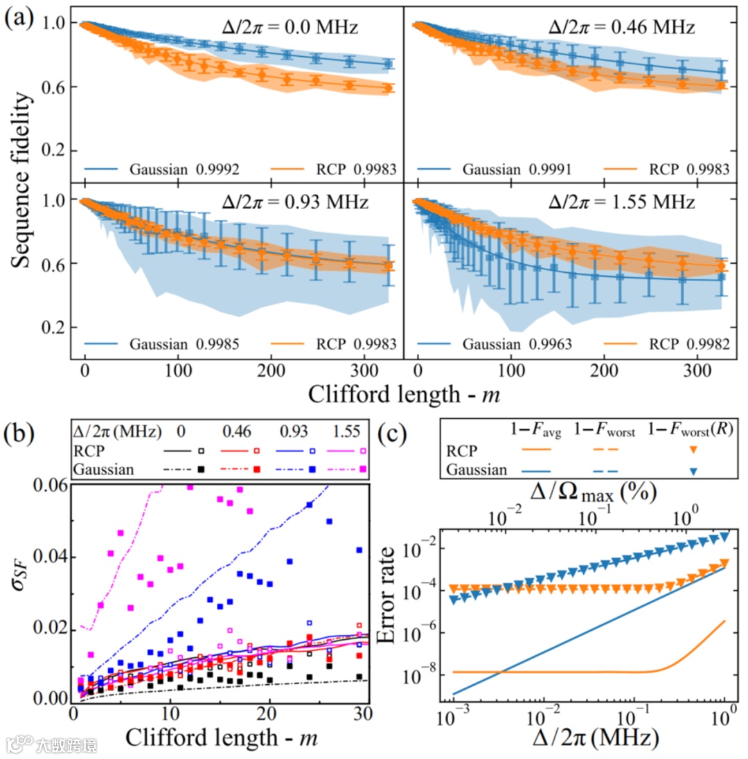
该实验的主要目标是展示在超导量子集成芯片(如图1)中如何用RCP做量子比特门以有效修正各类噪声造成的量子错误。研究团队通过引入失谐和辅助系统诱导准静态频率噪声,通过调节耦合强度引入比特间的空间关联噪声,通过调节控制外场引入控制波形的噪声。实验使用了量子过程层析成像(QPT)来研究鲁棒量子门对平均门保真度的提升(如图2,3所示),使用随机基准测试(RB)来研究关联噪声在不同控制波形下量子错误的累积效果,尤其是噪声对保真度涨落和最差保真度的影响。实验结果显示,设计的鲁棒量子门在这样的噪声环境下具有明显的优越表现,抑制了长线路中相干错误的累积,显著提高了整体线路性能和最差保真度(如图4所示)。附录除了理论的推导和实验的细节,还提供了能对抗各类噪声的鲁棒性两比特门的构造以及低频噪声的分析[3]。
图3:对频率噪声(Δ)和空间关联噪声(ξzz)的鲁棒性(robustness)
图4: 对控制失真ϵ和频率失调Δ的鲁棒性
图5 通过RB实验验证RCP对时间关联错误的抑制
这项工作对未来量子计算的发展具有重要意义。不仅验证了鲁棒量子门可以显著减少由于低频噪声、系统漂移、控制不完善等引起的相干错误,极大地改善了线路深度增加时的性能,而且为量子电路的设计和优化提供了新的工具。
论文信息
本研究由中国科学院院士、深圳量子研究院院长、南科大讲席教授俞大鹏领导的团队完成,南方科技大学为论文第一单位。南科大物理系博士生易康源和硕士生海咏菊(现科罗拉多大学Boulder校区博士生)为共同第一作者,分别完成实验和理论的具体工作;物理系陈远珍教授、量子研究院邓修豪副研究员、严通行助理研究员为论文的共同通讯作者。其中,量子研究院邓修豪副研究员负责理论部分,与物理系陈远珍教授合作设计实验方案,陈远珍教授统筹负责实验部分,量子研究院严通行助理研究员负责测量部分,共同完成本项研究工作的还包括课题组内相关团队成员。
本研究得到了广东省重点领域研发计划、国家自然科学基金、广东省重点实验室和深圳市科创局的大力支持。
参考连接:
[1] https://journals.aps.org/prl/abstract/10.1103/PhysRevLett.132.250604
[2] https://arxiv.org/abs/2210.14521
[3] https://journals.aps.org/prl/supplemental/10.1103/PhysRevLett.132.250604
[4] https://qudynamics.notion.site/ec75a31811334a1993f9ac40f9dec433?pvs=4
论文链接点击左下方查看原文跳转。

